chevron_left
chevron_right
Todo
Apuntes
Ejercicios
Exámenes
Otros
Prácticas
chevron_left
chevron_right

apuntes

-

CUESTIONES TEÓRICAS RESUELTAS

Cuestiones teóricas resueltas y CORREGIDAS. Importantes para exámenes

Cuestiones-teoricas-tema-4.jpeg
Cuestiones-teoricas-tema-3.jpeg
Cuestiones-teoricas-tema-1.jpeg
Cuestiones-teoricas-temas-5-6-7.pdf

ejercicios

-

EJERCICIOS RESUELTOS AMPLIACIÓN DE FÍSICA

Ejercicios resueltos de la asignatura Ampliación de Física del Grado en Ingeniería de Materiales CORREGIDOS y acertados. Nota en la asignatura: 8.5 (te recomiendo que vayas a la sección de cuestiones teóricas y memorices las respuestas allí dadas, de no h

Tema-8-EJERCICIOS.pdf
Tema-7-EJERCICIOS.pdf
Tema-6-EJERCICIOS.pdf
Tema-5-EJERCICIOS.pdf
Tema-4-EJERCICIOS.pdf
Tema-3-EJERCICIOS.pdf

ejercicios

-

TAREAS ENTREGABLES RESUELTAS 2024-2025

Tareas entregables resueltas y CORREGIDAS del año 2024-2025

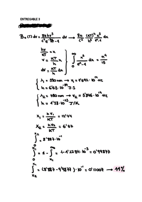
tarea-entregable-3.pdf
tarea-entergable-2.pdf
Tarea-entregable-1.pdf

He publicado nuevos apuntes de 2º Ampliación de Física: Entregable-tema-3.pdf

2 páginas

He publicado nuevos apuntes de 2º Ampliación de Física: Entregable-ampli.pdf

1 página

He publicado nuevos apuntes de 2º Ampliación de Física: Ampli-1.pdf

1 página

He publicado nuevos examenes de 2º Ampliación de Física: Examen-Ampliacion-de-fisica-extraordinario.pdf

2 páginas

examenes

-

Exámenes ejemplos enunciado

He publicado nuevos examenes de 2º Ampliación de Física: Exámenes ejemplos enunciado

AF-examen-parcial-marzo-2023.pdf
Examen-1-AF-julio-2021.pdf
Examen-1-AF-junio-2021.pdf
Examen-2-AF-julio-2021.pdf
Examen-2-AF-junio-2021.pdf
Examen-parcial-AF-marzo-2022.pdf

He publicado nuevos practicas de 2º Ampliación de Física: BIOT-SAVART.pdf

10 páginas

He publicado nuevos practicas de 2º Ampliación de Física: OSCILOSCOPIO.pdf

13 páginas

He publicado nuevos practicas de 2º Ampliación de Física: MEDIDAS-ELECTRICAS.pdf

13 páginas

apuntes

-

Apuntes

He publicado nuevos apuntes de 2º Ampliación de Física: Apuntes

Ampliacion-de-fisica.pdf
formulario-BN.pdf
Problemas-Tema-3-AdF-IngMat.pdf
Problemas-Tema-4-AdF-IngMat-con-soluciones.pdf
Problemas-Tema-4-AdF-IngMat.pdf
Problemas-Tema-8-AdF-IngMatBN.pdf

He publicado nuevos apuntes de 2º Ampliación de Física: Problemas-ampli.pdf

5 páginas

He publicado nuevos apuntes de 2º Ampliación de Física: Cuestiones-teoricas-ampli.pdf

6 páginas

He publicado nuevos otros de 2º Ampliación de Física: GUIA-DOCENTE-Ampliacion-de-Fisica.pdf

4 páginas

apuntes

-

Ampliación de Física

He publicado nuevos apuntes de 2º Ampliación de Física: Ampliación de Física

Formulario-parte-2.pdf
ampf.pdf
Formulario-parte-1-2.pdf
formulario-AF.pdf
formulelectro.pdf
amej.pdf

ejercicios

-

ENTREGABLES

He publicado nuevos ejercicios de 2º Ampliación de Física: ENTREGABLES

ENTREGABLE-5.pdf
Entregable-1.pdf
ENTREGABLE-2.pdf
ENTREGABLE-3.pdf

ejercicios

-

Entregables

He publicado nuevos ejercicios de 2º Ampliación de Física: Entregables

Entregable-2-Paula-Armada.pdf
Entregable-1-fAsica.pdf
Entregable-3-ampli.pdf

He publicado nuevos apuntes de 2º Ampliación de Física: evaluable-de-fisica3-alvaro-de-al-rubia-llop2-curso.pdf

1 página

He publicado nuevos apuntes de 2º Ampliación de Física: entregable-ampliacion-de-fisica2-alvaro-de-la-rubia-llop.pdf

1 página

He publicado nuevos apuntes de 2º Ampliación de Física: entregable-de-ampliacion-de-fisica-1-Alvaro-de-la-rubia-llop.pdf

1 página

He publicado nuevos apuntes de 2º Ampliación de Física: biot-savart-alvaro-de-la-rubia-y-paula-torres-pareja-2.pdf

9 páginas

He publicado nuevos apuntes de 2º Ampliación de Física: osciloscopio-alvaro-de-la-rubia-y-paula-torres-pareja-2.pdf

13 páginas

practicas

-

Cuestionarios lab

He publicado nuevos practicas de 2º Ampliación de Física: Cuestionarios lab

Cuestionario-Osciloscopio-Paula-Armada-Pareja-1-miembro-2.pdf
Biot2021-cuestionario.pdf
MedidasElectricas-pareja-1-miembro-2-Paula-Armada.pdf

practicas

-

Osciloscopio

He publicado nuevos practicas de 2º Ampliación de Física: Osciloscopio

Osciloscopio-PAREJA-1-PAULA-ARMADA-Y-MIGUEL-ANGEL-FELIPE-2.docx

He publicado nuevos apuntes de 2º Ampliación de Física: MEDIDAS-ELECTRICAS-alvaro-de-la-rubia-llop-pareja-2i.pdf

7 páginas

He publicado nuevos apuntes de 2º Ampliación de Física: entregable-ampliacion-de-fisica2-alvaro-de-la-rubia-llop.pdf

1 página

He publicado nuevos apuntes de 2º Ampliación de Física: entregable-de-ampliacion-de-fisica-1-Alvaro-de-la-rubia-llop.pdf

1 página

examenes

-

Examenes resueltos

He publicado nuevos examenes de 2º Ampliación de Física: Examenes resueltos

Primer parcial.pdf
Final.pdf

ejercicios

-

Ejercicios de Todos los Temas

Faltan algunos ejercicios, pero están los más importantes y los entregables, subiré los que faltan.

TEMAS 8 Y 9 Estadistica clasica y cuantica.pdf
TEMAS 5 6 Y 7 Física cuántica.pdf
Tema 1 Campo electrostático.pdf
Tema 2 Campo Magnetostático.pdf
Tema 3 Campos electromagnéticos.pdf
Tema 4 Ondas electromagnéticas.pdf

practicas

-

Prácticas 2016-2017

He publicado nuevos practicas de 2º Ampliación de Física: Prácticas 2016-2017

Leyes de Biot-Savart.pdf
Medidas Eléctricas.pdf
Osciloscopio.pdf
¡Estás al día!

¡Estás al día!

Has visto todos los archivos