chevron_left
chevron_right
Todo
Apuntes
Ejercicios
Exámenes
Otros
chevron_left
chevron_right

examenes

-

Exámenes resueltos

He publicado nuevos examenes de 2º Ampliación de Física: Exámenes resueltos

1Convo2020Resuelta.pdf
Convo09-2022Resuelta.pdf
1Convo24-25ProblemaResuelta.pdf

Teoría convocatoria (bonificación + ampliación para convocatoria)

28 páginas

apuntes

-

Resúmenes por tema

He publicado nuevos apuntes de 2º Ampliación de Física: Resúmenes por tema

Tema1.pdf
Tema2.pdf
Tema3.pdf
TeoremasTema3.pdf
ResumenTema4.pdf
Tema5.pdf

ejercicios

-

Ejercicios por tema

He publicado nuevos ejercicios de 2º Ampliación de Física: Ejercicios por tema

EjerciciosTema2.pdf
EjerciciosTema3.pdf
EjerciciosTema4.pdf
EjerciciosTema5.pdf

examenes

-

Problemas Resueltos

He publicado nuevos examenes de 2º Ampliación de Física: Problemas Resueltos

SISTEMAS-RESUELTOS-primera-parte.pdf
SISTEMAS-RESUELTOS-segunda-parte.pdf

He publicado nuevos apuntes de 2º Ampliación de Física: Teoria-Parcial-Bonificacion.pdf

15 páginas

He publicado nuevos apuntes de 2º Ampliación de Física: TEMAS6Y7DINAMICADELPUNTOVINCULADO.pdf

5 páginas

He publicado nuevos apuntes de 2º Ampliación de Física: TEMAS-10-Y-11-DINAMICA-ANALITICA.pdf

5 páginas

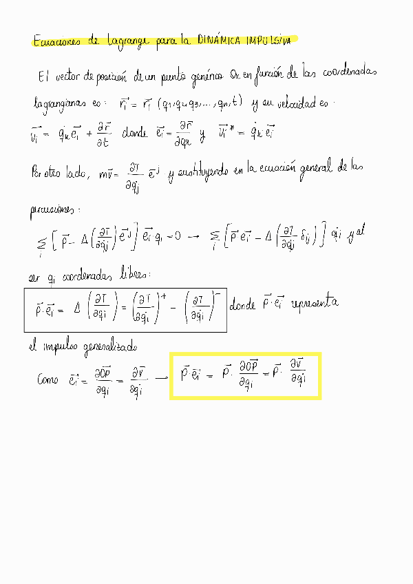
He publicado nuevos apuntes de 2º Ampliación de Física: TEMA12DINAMICAIMPULSIVA.pdf

3 páginas

He publicado nuevos apuntes de 2º Ampliación de Física: TEMA8MOVIMIENTOSOLIDOCONPUNTOFIJO.pdf

3 páginas

He publicado nuevos apuntes de 2º Ampliación de Física: TEMA5GEOMETRIADEMASAS.pdf

2 páginas

He publicado nuevos apuntes de 2º Ampliación de Física: TEMA-9DINAMICADELSOLIDOCONEJEFIJO.pdf

3 páginas

apuntes

-

Resumen Teoría Completa

Resumen de toda la teoría con apuntes de clase y del libro.

8.Resumen.MECANICAANALITICA.pdf
7.Resumen.DINAMICAdelSOLIDOconPUNTOFIJO.pdf
5.Resumen.DINAMICAdeSISTEMAS.pdf
6.Resumen.DINAMICAdelSOLIDOconEJEFIJO.pdf
4.ResumenGEOMETRIAdeMASAS.pdf
3.ResumenDINAMICAdelSOLIDORIGIDO.pdf

He publicado nuevos apuntes de 2º Ampliación de Física: Teoria-Para-Problemas.pdf

5 páginas

apuntes

-

Temas de teoría para examen

He publicado nuevos apuntes de 2º Ampliación de Física: Temas de teoría para examen

Tema-1.-Cinematica-Del-Solido-Rigido.pdf
Tema-2.-Movimiento-Plano-Del-Solido-Rigido.pdf
Tema-3.-Dinamica-Del-Punto-Material.pdf
Tema-4.-Geometria-De-Masas.pdf
Tema-5.-Dinamica-De-Los-Sistemas-De-Puntos-Materiales.pdf
Tema-6.-Dinamica-Del-Solido-Con-Un-Punto-Fijo.pdf

He publicado nuevos apuntes de 2º Ampliación de Física: METODO-FINAL-FISICA-WLA.pdf

1 página

He publicado nuevos ejercicios de 2º Ampliación de Física: Ejercicios.pdf

4 páginas

He publicado nuevos apuntes de 2º Ampliación de Física: 2-Dinamica-del-Punto.pdf

1 página

He publicado nuevos apuntes de 2º Ampliación de Física: 3-Geometria-de-Masas-y-Tensor-de-Inercia.pdf

2 páginas

He publicado nuevos apuntes de 2º Ampliación de Física: 1-Repaso-1-GITI.pdf

1 página

He publicado nuevos apuntes de 2º Ampliación de Física: 7-Dinamica-Impulsiva.pdf

1 página

He publicado nuevos apuntes de 2º Ampliación de Física: 6-Mecanica-Analitica.pdf

1 página

He publicado nuevos apuntes de 2º Ampliación de Física: 5-Dinamica-Vectorial-del-Solido-Rigido-Vinculado.pdf

2 páginas

He publicado nuevos apuntes de 2º Ampliación de Física: 4-Cinetica-Trabajo-y-Solido-Rigido-Libre.pdf

1 página

He publicado nuevos apuntes de 2º Ampliación de Física: Ejercicios-Ampliacion-de-Fisica.pdf

33 páginas

He publicado nuevos apuntes de 2º Ampliación de Física: Resumen-Temas-Ampliacion-de-Fisica.pdf

54 páginas

apuntes

-

TEORÍA AMPLIACIÓN DE FÍSICA (parte 3)

He publicado nuevos apuntes de 2º Ampliación de Física: TEORÍA AMPLIACIÓN DE FÍSICA (parte 3)

TEORIA-AMPLIACION-DE-FISICA-parte-3.pdf
TEORIA-AMPLIACION-DE-FISICA-parte-2.pdf
TEORIA-AMPLIACION-DE-FISICA-parte-1.pdf

He publicado nuevos apuntes de 2º Ampliación de Física: Tensores-de-inercia.pdf

15 páginas

He publicado nuevos apuntes de 2º Ampliación de Física: Teoria.pdf

7 páginas

He publicado nuevos apuntes de 2º Ampliación de Física: claves.pdf

18 páginas

ejercicios

-

problemas de mecánica

He publicado nuevos ejercicios de 2º Ampliación de Física: problemas de mecánica

sistema-1.pdf
sistema-8.pdf
sistema-11.pdf
sistema-14.pdf
sistema-28.pdf
sistema-30.pdf
Anónimo

@Anónimo

examenes

-

a38c5880-56e3-484a-b419-b49228c3bddf

Examen bonificación 2024/2025

EXAMEN-BONIFICACION-2024-25.pdf

He publicado nuevos apuntes de 2º Ampliación de Física: TEORIA-EXAMENES-COMPLETA.pdf

10 páginas

apuntes

-

temario

He publicado nuevos apuntes de 2º Ampliación de Física: temario

dinamica-impulsiva.pdf
magnitudes-cineticas-del-S.R..pdf
mecanica-analitica.pdf

He publicado nuevos apuntes de 2º Ampliación de Física: formulario.pdf

10 páginas

apuntes

-

Apuntes de clase

He publicado nuevos apuntes de 2º Ampliación de Física: Apuntes de clase

Apuntes-Tema-2.pdf
Apuntes-Tema-9.pdf
Apuntes-Tema-10-y-11.pdf
Apuntes-Tema-1.pdf
Apuntes-Tema-3-y-4.pdf
Apuntes-Tema-6-y-7.pdf

He publicado nuevos ejercicios de 2º Ampliación de Física: Problemas-Resueltos.pdf

40 páginas

He publicado nuevos apuntes de 2º Ampliación de Física: Ampliacion-fisica-temario.pdf

63 páginas

apuntes

-

PROBLEMAS RESUELTOS CLAVES PARA APROBAR

He publicado nuevos apuntes de 2º Ampliación de Física: PROBLEMAS RESUELTOS CLAVES PARA APROBAR

Enunciados-Sistemas.pdf
Examen-Tercera-Convocatoria-diciembre-2018-Resuelto.pdf
Sistemas-Resueltos-Claves-para-Aprobar.pdf

examenes

-

ENUNCIADOS EXÁMENES 2024

He publicado nuevos examenes de 2º Ampliación de Física: ENUNCIADOS EXÁMENES 2024

PRIMERA-CONVOCATORIA-2024.pdf
TEORIA-SEGUNDA-CONVOCATORIA-2024.pdf

apuntes

-

Teoría + Problemas

He publicado nuevos apuntes de 2º Ampliación de Física: Teoría + Problemas

TEORIA.pdf
1Convo-2019.pdf
2Convo-2019.pdf
2Convo-2022.pdf
3Convo-17-18.pdf
Bonificacion-2021.pdf

He publicado nuevos ejercicios de 2º Ampliación de Física: Sistemas-resueltos.pdf

27 páginas

He publicado nuevos apuntes de 2º Ampliación de Física: Formulario-ampli-de-fisica.pdf

2 páginas

He publicado nuevos apuntes de 2º Ampliación de Física: Demostraciones-importantes.pdf

6 páginas

He publicado nuevos apuntes de 2º Ampliación de Física: Teoria-Completa.pdf

19 páginas

He publicado nuevos ejercicios de 2º Ampliación de Física: Sistemas-Resueltos-Explicados.pdf

23 páginas

He publicado nuevos apuntes de 2º Ampliación de Física: TODA-LA-TEORIA-DE-EXAMENES-LO-MAS-IMPORTANTE-Y-FACIL-DE-APRENDER.pdf

32 páginas

apuntes

-

Teoría exámen

He publicado nuevos apuntes de 2º Ampliación de Física: Teoría exámen

Problema-14-11-22.pdf
Preguntas-de-teoria-DINAMICA-ANALITICA.pdf
Preguntas-de-teoria-MECANICA-IMPULSIVA.pdf
Preguntas-de-teoria.pdf
Problema-16-11.pdf

apuntes

-

MEGARESUMEN DE CADA TEMA

He publicado nuevos apuntes de 2º Ampliación de Física: MEGARESUMEN DE CADA TEMA

Tema-2.-Movimiento-Plano-del-Solido-Rigido.pdf
Tema-1.-Cinematica-del-Solido-Rigido.pdf
Tema-3.-Dinamica-del-Punto-Material.pdf
Temas-6-7.-Dinamica-de-Sistemas.pdf
Tema-9.-Coordenadas-Curvilineas.pdf
Tema-8.-Dinamica-del-solido-con-punto-fijo.pdf

apuntes

-

Teoría y problemas

He publicado nuevos apuntes de 2º Ampliación de Física: Teoría y problemas

Tema-12-dinamica-impulsiva.pdf
Temas-10-y-11-mecanica-analitica.pdf
Temas-6-a-8-dinamica-del-solido-rigido.pdf
Tema-5-geometria-de-masas-con-ejercicios-de-clase.pdf
Temas-1-a-4-cinematica-del-solido-movimiento-plano-dinamica-del-punto.pdf
Problemas-de-examen.pdf

apuntes

-

Teoría importante y EJERCICIOS 22-23

tTeoría más importante que suele preguntar en los exámenes y ejercicios por temas.

TEORIA-MAS-IMPORTANTE.pdf
PROBLEMAS-Tema-3.pdf
PROBLEMAS-TEMA-5.pdf
PROBLEMAS-TEMA-7.pdf
Problemas-Tema-10-11.pdf

apuntes

-

La Biblia de Ampliación de Física

He publicado nuevos apuntes de 2º Ampliación de Física: La Biblia de Ampliación de Física

Teoria.pdf
Ejercicios-varios.pdf

He publicado nuevos apuntes de 2º Ampliación de Física: SISTEMAS-Resueltos.pdf

33 páginas

apuntes

-

TODO(TEORIA Y EJ EXAMEN, LIBRO)

He publicado nuevos apuntes de 2º Ampliación de Física: TODO(TEORIA Y EJ EXAMEN, LIBRO)

SISTEMASresueltospormi.pdf
formulario.pdf
teoriaexanteriores.pdf
TODATEORIA.pdf

He publicado nuevos examenes de 2º Ampliación de Física: EXAMEN-TEORIA-RECOPILACION.pdf

2 páginas

apuntes

-

Formularios-Esquemas Ampli Fisica

Esquemas con fórmulas de cada tema con teoría de examen

Formulario-T1-Ampl-Fisica.pdf
Formulario-T2-Ampl-Fisica.pdf
Formulario-T3yT4-Ampl-Fisica.pdf
Formulario-T5-Ampl-Fisica.pdf
Formulario-T6yT7-Ampl-Fisica.pdf
Formulario-T8-Ampl-Fisica.pdf

He publicado nuevos apuntes de 2º Ampliación de Física: FORMULARIO-PROBLEMAS-IMPRESCINDIBLE-PARA-APROBAR.pdf

4 páginas

He publicado nuevos apuntes de 2º Ampliación de Física: Resumen-Formulario-Parcial de Bonif.pdf

7 páginas

He publicado nuevos examenes de 2º Ampliación de Física: Bonificacion-.pdf

11 páginas
Anónimo

@Anónimo

He publicado nuevos examenes de 2º Ampliación de Física: parcial-nov-2018merged.pdf

7 páginas