chevron_left
chevron_right
Todo
Apuntes
Ejercicios
Exámenes
Prácticas
Test
chevron_left
chevron_right

He publicado nuevos test de 1º Ampliación de Física: test-t5-y-t6.pdf

2 páginas

He publicado nuevos test de 1º Ampliación de Física: test-T1-y-T2-antiguos.docx

word

He publicado nuevos apuntes de 1º Ampliación de Física: Tema-1-Campo-electrico.pdf

20 páginas
Anónimo

@Anónimo

He publicado nuevos examenes de 1º Ampliación de Física: EXAMENES2025.pdf

51 páginas
Anónimo

@Anónimo

apuntes

-

Examenes Ampli

He publicado nuevos apuntes de 1º Ampliación de Física: Examenes Ampli

Examenes-Ampli-todos.pdf
Examenes-resueltos.pdf
Anónimo

@Anónimo

apuntes

-

Apuntes Ampli

He publicado nuevos apuntes de 1º Ampliación de Física: Apuntes Ampli

Apuntes-de-academia.pdf
ChuletarioFisica.pdf
Ejercicios-de-todos-los-temas.pdf
Anónimo

@Anónimo

ejercicios

-

Ejercicios Ampli Ayuda

Ejercicios con ayuda

A2-5.pdf
A2-7.pdf
A1-3.pdf
A1-10.pdf
Anónimo

@Anónimo

ejercicios

-

Ejercicios Ampli

Todos Temas

P4-Corriente-electrica.pdf
P5-Campo-Magnetico.pdf
P6-Induccion-Magnetica.pdf
P1-Campo-Electrico.pdf
P2-Potencial-Electrico.pdf
P3-Capacidad.-Dielectricos.pdf
Anónimo

@Anónimo

apuntes

-

Apuntes Ampli Fisica

Apuntes principales

Tema-4-Corriente-electrica.pdf
Tema-5-Campo-magnetico.pdf
Tema-6-Induccion-magnetica.pdf
Tema-1-Campo-electrico.pdf
Tema-2-Potencial-electrico.pdf
Tema-3-Capacidad.-Dielectricos.pdf
Anónimo

@Anónimo

apuntes

-

Apuntes complementarios Ampli

Apuntes de apoyo Ampli

C4-Magnetismo.-Introduccion.pdf
C5-Aplicaciones-del-movimiento-de-una-carga-puntual-en-un-campo-magnetico.pdf
C6-Momento-de-fuerza-magnetica.-Aplicaciones.pdf
C7-Fuerza-contraelectromotriz.-Momento-de-reaccion.pdf
C8-Freno-magnetico.pdf
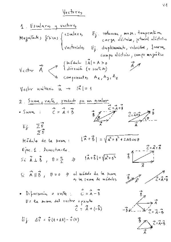
C0-Vectores.pdf
Anónimo

@Anónimo

examenes

-

Examenes Ampliacion de Fisica

Resueltos

2011.pdf
2012-2.pdf
2013-2.pdf
2012.pdf
2013.pdf
Anónimo

@Anónimo

He publicado nuevos examenes de 1º Ampliación de Física: Soluciones-Parcial-1.pdf

4 páginas

He publicado nuevos apuntes de 1º Ampliación de Física: DETERMINACION-DEL-CALOR-ESPECIFICO-DE-LOS-METALES.pdf

6 páginas

He publicado nuevos practicas de 1º Ampliación de Física: LEY-DE-OHM.pdf

8 páginas
Anónimo

@Anónimo

practicas

-

Prácticas Ampliación de Física

Informes de prácticas completos y resueltos.

Informe-de-Practica-La-Ley-de-Ohm.pdf
Practica-1-Ley-de-Ohm.pdf
Practica-de-Fisica-La-Ley-de-Faraday.pdf
Anónimo

@Anónimo

practicas

-

LEY DE FARADAY

He publicado nuevos practicas de 1º Ampliación de Física: LEY DE FARADAY

LEY-DE-FARADAY.pdf
¡Estás al día!

¡Estás al día!

Has visto todos los archivos