chevron_left
chevron_right
Todo
Apuntes
Ejercicios
chevron_left
chevron_right

He publicado nuevos ejercicios de 4º Ampliación de Matemáticas: Runge-Kutta.wxmx

Miniatura no disponible

He publicado nuevos ejercicios de 4º Ampliación de Matemáticas: Jacobi.wxmx

Miniatura no disponible

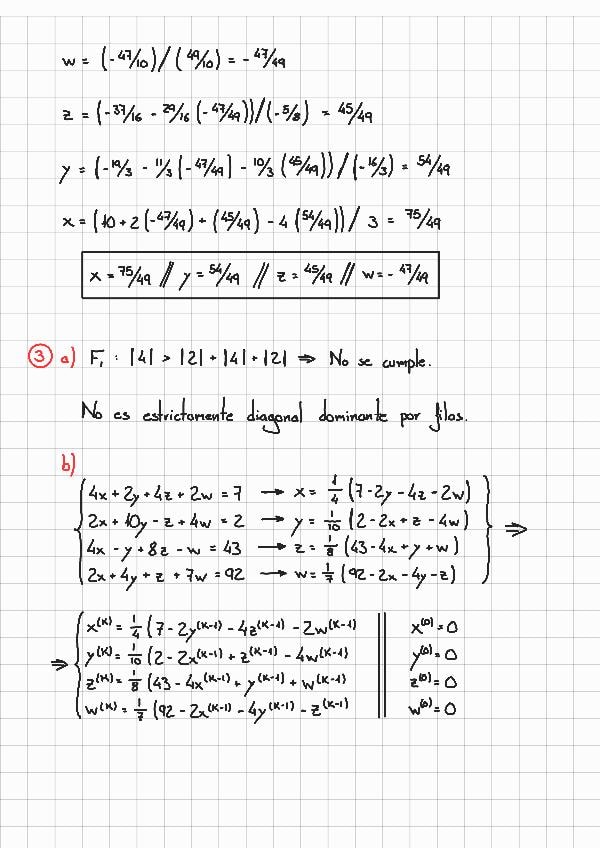
He publicado nuevos ejercicios de 4º Ampliación de Matemáticas: Gauss-Seidel.wxmx

Miniatura no disponible

He publicado nuevos ejercicios de 4º Ampliación de Matemáticas: Ejercicios-a-mano.pdf

5 páginas

He publicado nuevos apuntes de 4º Ampliación de Matemáticas: Practica-materiales.pdf

5 páginas
¡Estás al día!

¡Estás al día!

Has visto todos los archivos