Todo
Apuntes
Ejercicios
chevron_left
chevron_right

apuntes

-

Teoría

He publicado nuevos apuntes de 2º Ampliación de Matemáticas: Teoría

Tema-1-Ecuaciones-Diferenciales.pdf
Tema-2-Transformada-de-Laplace.pdf
Tema-3-Analisis-Vectorial.pdf

ejercicios

-

EJERCICIOS RESUELTOS

He publicado nuevos ejercicios de 2º Ampliación de Matemáticas: EJERCICIOS RESUELTOS

Transformada-de-Laplace.pdf
2Mec2020.pdf
test1parcial.pdf
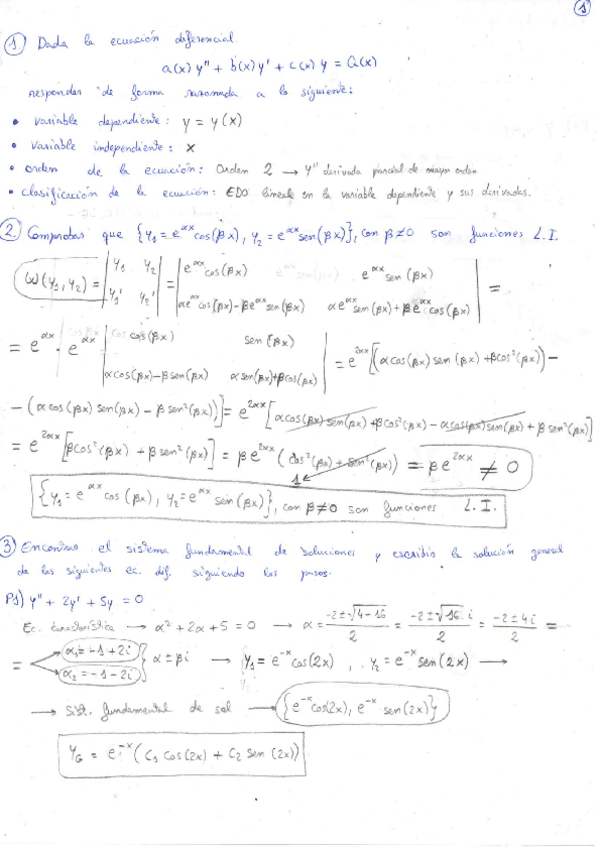
TEMA-2-EDO-lineal-orden-n.pdf
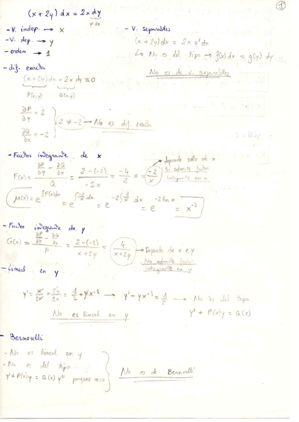
Tarea-Matematicas-EDO-orden-1.pdf
EDO-lineal-orden-n-2.pdf
¡Estás al día!

¡Estás al día!

Has visto todos los archivos