Ampliación de Matemáticas

Todo
Apuntes
Ejercicios
Exámenes
Prácticas
Trabajos
chevron_left
chevron_right
Anónimo

@Anónimo

Resumen de las fórmulas trigonométricas que suele poner Marina en las integrales.

3 páginas
Anónimo

@Anónimo

apuntes

-

RESUMEN POR TEMAS

No son exactamente los mismos temas pero viene lo necesario para estudiar.

tema-1-ecuacion-diferencial-de-primer-orden.pdf
tema-2-EDOS-DE-ORDEN-SUPERIOR.pdf
tema-3-SISTEMA-DE-EDOS-LINEALES.pdf
tema-4-METODOS-NUMERICOS-PARA-EDOS.pdf

práctica 5

Miniatura no disponible

práctica 4 ampli

Miniatura no disponible

práctica 3

Miniatura no disponible

práctica 2 ampli

Miniatura no disponible

practica 1 ampli

Miniatura no disponible

He publicado nuevos apuntes de 2º Ampliación de Matemáticas: EOS-primer-orden.pdf

1 página

AAD2 ampli.mat 8.2/10

12 páginas

apuntes

-

AAD’s

He publicado nuevos apuntes de 2º Ampliación de Matemáticas: AAD’s

AAD-2.pdf
AAD-1.pdf

He publicado nuevos apuntes de 2º Ampliación de Matemáticas: Apuntesyejercios.pdf

64 páginas

He publicado nuevos apuntes de 2º Ampliación de Matemáticas: RESUMEN-APUNTES-TEMA-3.pdf

Miniatura no disponible
pdf

He publicado nuevos apuntes de 2º Ampliación de Matemáticas: RESUMEN-APLICACIONES-DE-LAS-EC.DIFERENCIALES-DE-PRIMER-ORDEN.pdf

10 páginas

He publicado nuevos apuntes de 2º Ampliación de Matemáticas: RESUMEN-APUNTES-TEMA-1-Y-2-EDOS.pdf

10 páginas

apuntes

-

Formularios Por Temas

He publicado nuevos apuntes de 2º Ampliación de Matemáticas: Formularios Por Temas

AmpliTEMA12.pdf
AmpliTEMA3.pdf
AmpliTEMA5.pdf
AmpliTEMA7.pdf

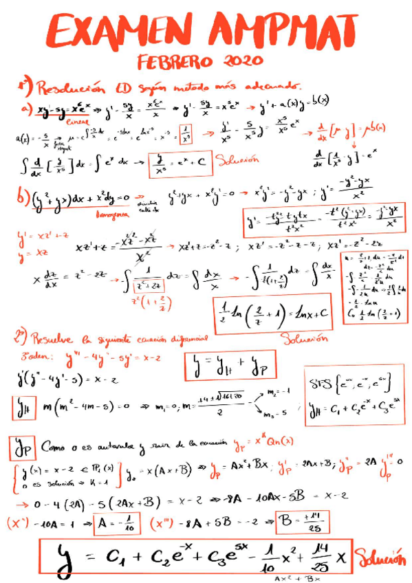
He publicado nuevos examenes de 2º Ampliación de Matemáticas: Examen-resuelto-AmpMat-febrero-2020.pdf

3 páginas

He publicado nuevos apuntes de 2º Ampliación de Matemáticas: Formulario-Tema-7-ampli.pdf

2 páginas

He publicado nuevos apuntes de 2º Ampliación de Matemáticas: FORMULARIO-Tema-5-ampli.pdf

6 páginas

He publicado nuevos apuntes de 2º Ampliación de Matemáticas: FORMULARIO-Tema-3-ampli.pdf

4 páginas

He publicado nuevos apuntes de 2º Ampliación de Matemáticas: FORMULARIO-Tema-2-ampli.pdf

3 páginas

He publicado nuevos apuntes de 2º Ampliación de Matemáticas: FORMULARIO-Tema-1-ampli.pdf

1 página

He publicado nuevos apuntes de 2º Ampliación de Matemáticas: EJERCICIOS-TEMA-12-AMPLI.pdf

23 páginas

He publicado nuevos examenes de 2º Ampliación de Matemáticas: EXAMEN-AMPLIACION.pdf

12 páginas

ejercicios

-

Ejercicios academia

He publicado nuevos ejercicios de 2º Ampliación de Matemáticas: Ejercicios academia

Clase-1-Alberto.pdf
Clase-6-Alberto.pdf
Clase-4-Alberto.pdf
Clase-7-Alberto.pdf
Clase-3-Alberto.pdf
Clase-5-Alberto.pdf

He publicado nuevos apuntes de 2º Ampliación de Matemáticas: RESUMEN-AMPMAT-TEORIA.pdf

pdf

He publicado nuevos apuntes de 2º Ampliación de Matemáticas: u3apuntes.pdf

pdf

He publicado nuevos ejercicios de 2º Ampliación de Matemáticas: ejerciciostema3.pdf

pdf

He publicado nuevos apuntes de 2º Ampliación de Matemáticas: tema1y2apuntes.pdf

pdf

He publicado nuevos ejercicios de 2º Ampliación de Matemáticas: EjerciTema12v2.pdf

pdf

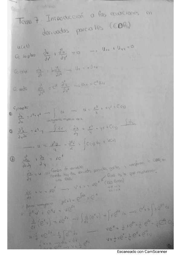
He publicado nuevos apuntes de 2º Ampliación de Matemáticas: Tema-7-Apuntes-Clase.pdf

pdf

He publicado nuevos apuntes de 2º Ampliación de Matemáticas: Tema-5-Apuntes-Clase.pdf

pdf

He publicado nuevos apuntes de 2º Ampliación de Matemáticas: u7ampmat.pdf

1 página

He publicado nuevos apuntes de 2º Ampliación de Matemáticas: u5ampmat.pdf

8 páginas

He publicado nuevos apuntes de 2º Ampliación de Matemáticas: Tema-3-Apuntes-Clase.pdf

28 páginas

He publicado nuevos apuntes de 2º Ampliación de Matemáticas: Tema-2-Apuntes-clase.pdf

29 páginas

He publicado nuevos apuntes de 2º Ampliación de Matemáticas: Tema-1-Apuntes-clase.pdf

13 páginas

He publicado nuevos apuntes de 2º Ampliación de Matemáticas: CamScanner-09-15-2021-16.pdf

4 páginas

He publicado nuevos apuntes de 2º Ampliación de Matemáticas: CamScanner-09-15-2021-16.pdf

9 páginas

He publicado nuevos apuntes de 2º Ampliación de Matemáticas: CamScanner-09-15-2021-15.pdf

35 páginas

He publicado nuevos apuntes de 2º Ampliación de Matemáticas: CamScanner-09-15-2021-15.pdf

3 páginas
Anónimo

@Anónimo

He publicado nuevos apuntes de 2º Ampliación de Matemáticas: formulario-ampli-1parical.pdf

2 páginas
Anónimo

@Anónimo

He publicado nuevos apuntes de 2º Ampliación de Matemáticas: Tema-1-ampli.pdf

1 página
Anónimo

@Anónimo

He publicado nuevos apuntes de 2º Ampliación de Matemáticas: formulario-ampli-1parical.pdf

2 páginas

He publicado nuevos apuntes de 2º Ampliación de Matemáticas: AMPLIACION-tema-2.pdf

1 página

He publicado nuevos apuntes de 2º Ampliación de Matemáticas: AMPLIACION-tema-1.pdf

1 página
Anónimo

@Anónimo

He publicado nuevos apuntes de 2º Ampliación de Matemáticas: Tema-1-ampli.pdf

1 página

He publicado nuevos examenes de 2º Ampliación de Matemáticas: control1_201516_resuelto.pdf

7 páginas

He publicado nuevos examenes de 2º Ampliación de Matemáticas: 15002089426941461623285.jpg

Imagen

He publicado nuevos examenes de 2º Ampliación de Matemáticas: 1500209077445-1717800344.jpg

Imagen

He publicado nuevos examenes de 2º Ampliación de Matemáticas: EXAMEN DE AMPLIACIÓN DE MATEMÁTICAS2012(2).pdf

1 página

apuntes

-

Guía Teoría Parcial 1

Apuntes personales

Apuntes Parcial 1 - 1.png
Apuntes Parcial 1 - 2.png
Apuntes Parcial 1 - 3.png
Apuntes Parcial 1 - 4.png
Apuntes Parcial 1 - 5.png

apuntes

-

Guía Teoría Parcial 2

Apuntes personales

Teoría Parcial 2 - 1.png
Teoría Parcial 2 - 2.png
Teoría Parcial 2 - 3.png
Teoría Parcial 2 - 4.png
Teoría Parcial 2 - 5.png
Teoría Parcial 2 - 6.png

ejercicios

-

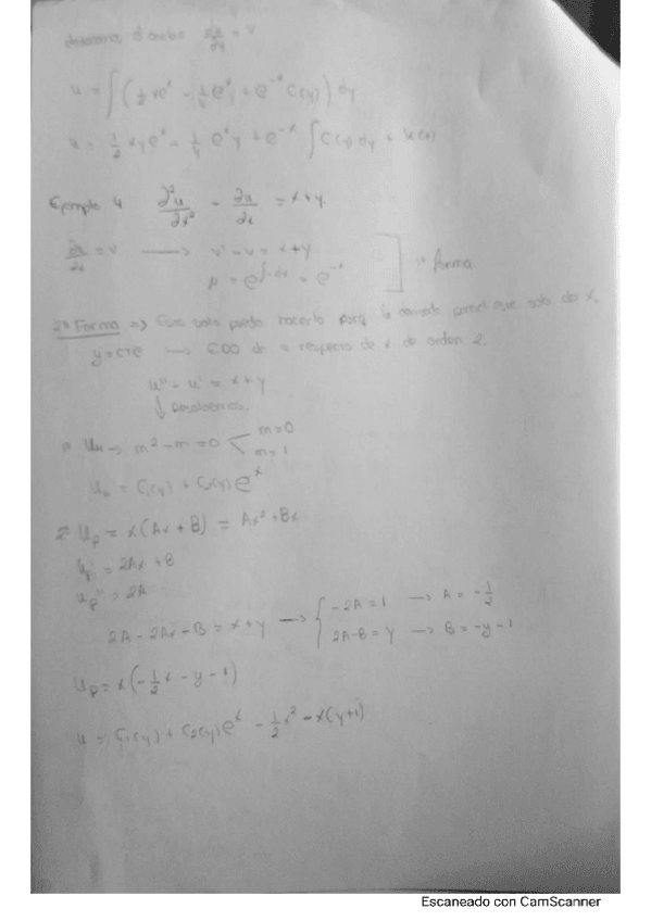
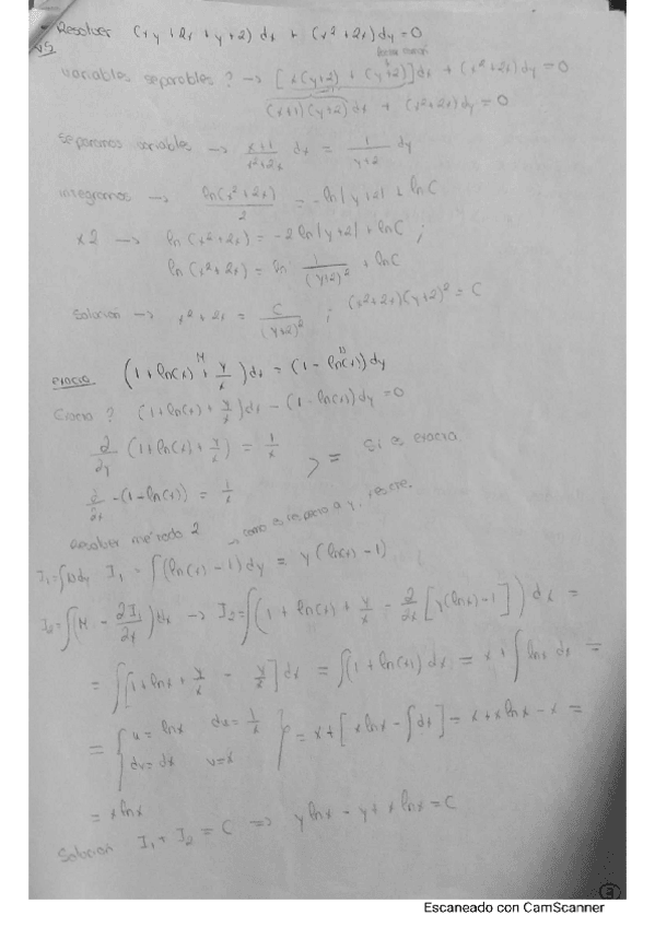
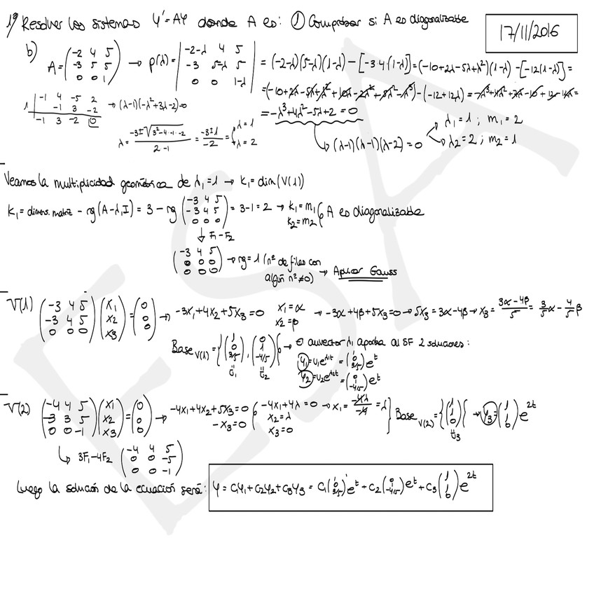
Ejercicios de Sistemas de Ecuaciones Diferenciales Tema 5 hechos

He publicado nuevos ejercicios de 2º Ampliación de Matemáticas: Ejercicios de Sistemas de Ecuaciones Diferenciales Tema 5 hechos

Ejercicios Sist Ec Dif 1.png
Ejercicios Sist Ec Dif 2.png
Ejercicios Sist Ec Dif 3.png
Ejercicios Sist Ec Dif 4.png
Ejercicios Sist Ec Dif 5.png
Ejercicios Sist Ec Dif 6.png

examenes

-

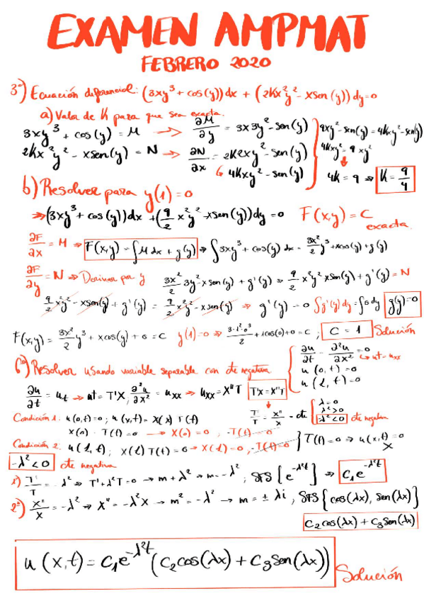
Ejercicios Examen Febrero Hechos

He publicado nuevos examenes de 2º Ampliación de Matemáticas: Ejercicios Examen Febrero Hechos

Ejercicios Febrero 1.png
Ejercicios Febrero 2.png
Ejercicios Febrero 3.png
Ejercicios Febrero 4.png

examenes

-

Ejercicios Examen Septiembre Hechos

He publicado nuevos examenes de 2º Ampliación de Matemáticas: Ejercicios Examen Septiembre Hechos

Ejercicios Septiembre 1.png
Ejercicios Septiembre 2.png
Ejercicios Septiembre 3.png

ejercicios

-

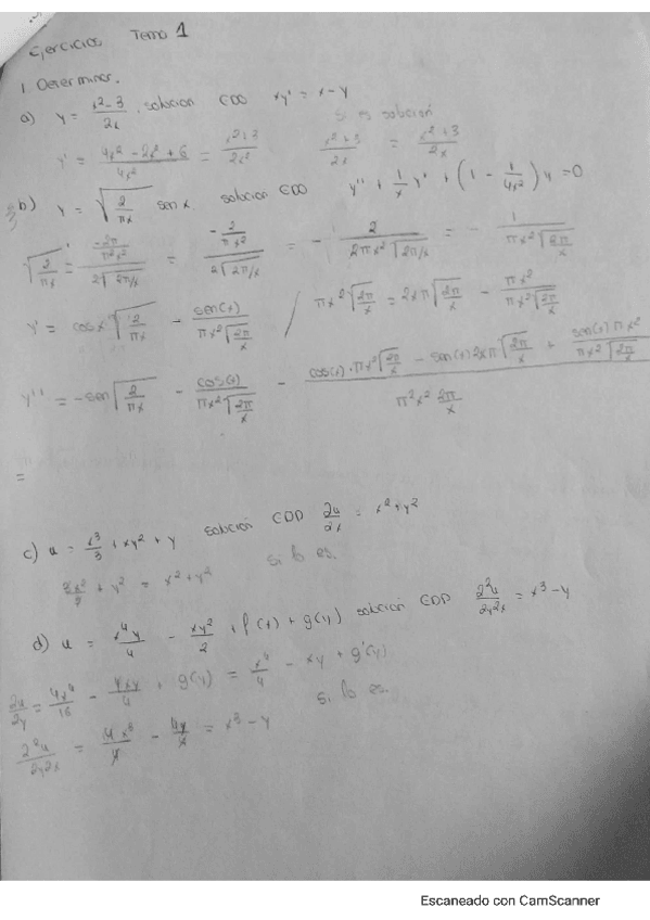
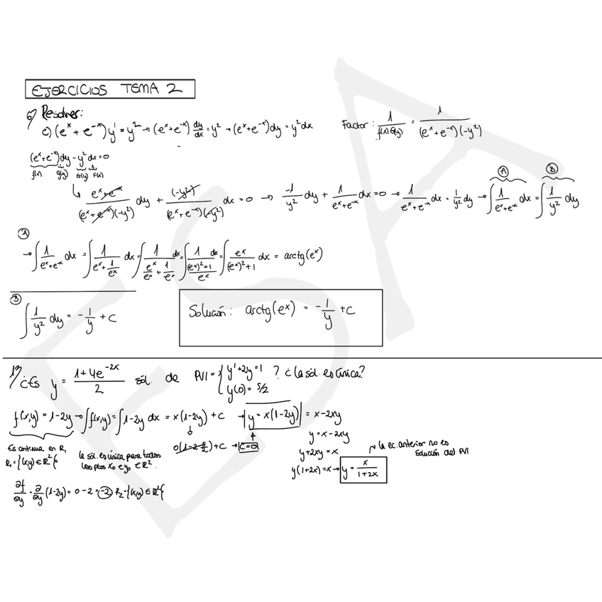
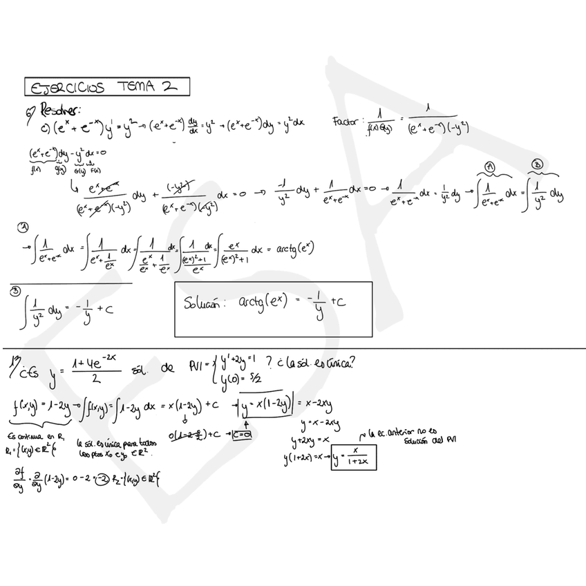
Ejercicios EDOs de primer orden Hechos

He publicado nuevos ejercicios de 2º Ampliación de Matemáticas: Ejercicios EDOs de primer orden Hechos

Ejercicios Tema 2 - 1.png
Ejercicios Tema 2 - 2.png
Ejercicios Tema 2 - 3.png

ejercicios

-

Ejercicios y entregables de la Asignatura

He publicado nuevos ejercicios de 2º Ampliación de Matemáticas: Ejercicios y entregables de la Asignatura

011015.pdf
021015.pdf
051015.pdf
071015.pdf
081015.pdf
091015.pdf

He publicado nuevos apuntes de 2º Ampliación de Matemáticas: Tabla de derivadas e integrales directas más comunes.png

Imagen

examenes

-

Ejercicios Examen Junio Hechos

He publicado nuevos examenes de 2º Ampliación de Matemáticas: Ejercicios Examen Junio Hechos

Ejercicios Junio 1.png
Ejercicios Junio 2.png
Ejercicios Junio 3.png
Ejercicios Junio 4.png

Apuntes Personales

Imagen