chevron_left
chevron_right
Todo
Apuntes
Ejercicios
Exámenes
Prácticas
chevron_left
chevron_right
Anónimo

@Anónimo

examenes

-

Exámenes resueltos 2024

Resueltos por el profesor

Examen-Extraordinario-12-jun-2024.pdf
Examen-Final-11-ene-2024.pdf
Examen-Practicas-Extraordinario.pdf
Examen-Trabajo-Ordinario.pdf

He publicado nuevos ejercicios de 2º Ampliación de Matemáticas: Ecuaciones-diferenciales-lineales-de-orden-2-con-coeficientes-constantes.pdf

17 páginas

He publicado nuevos ejercicios de 2º Ampliación de Matemáticas: Hojas-Ejercicios-Resueltos.pdf

33 páginas

He publicado nuevos practicas de 2º Ampliación de Matemáticas: Ejercicios-Practicas.pdf

8 páginas

He publicado nuevos examenes de 2º Ampliación de Matemáticas: examenesampliacion.pdf

39 páginas

He publicado nuevos apuntes de 2º Ampliación de Matemáticas: resumenesampliacion.pdf

26 páginas

ejercicios

-

Ampliación de máquinas - Apuntes y ejercicios

He publicado nuevos ejercicios de 2º Ampliación de Matemáticas: Ampliación de máquinas - Apuntes y ejercicios

Tema-1.-Series-Problemas.pdf
Tema-1.-Series-teoria.pdf
Tema-1.-Series.pdf
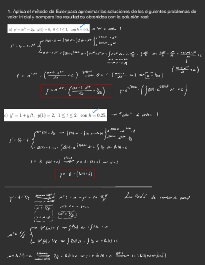
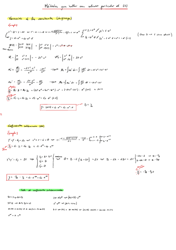
Tema-2.-Diferenciales-problemas.pdf
Tema-2.-Ecuaciones-diferenciales.pdf
Tema-3.-Metodos-numericos-ejemplos.pdf

examenes

-

Ampliación de máquinas - Examenes

He publicado nuevos examenes de 2º Ampliación de Matemáticas: Ampliación de máquinas - Examenes

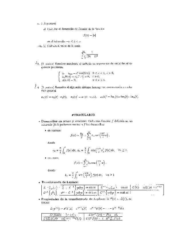
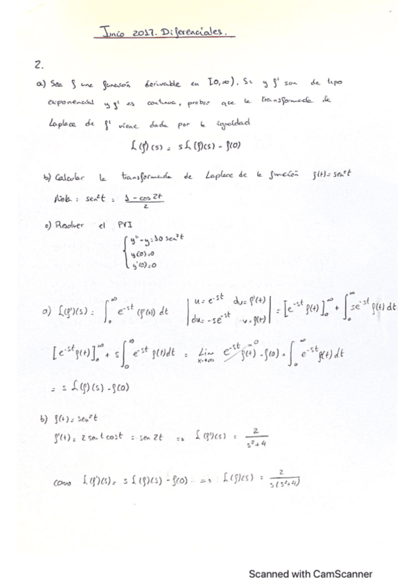
Enero-2017-Diferenciales.pdf
Enero-2017.pdf
Junio-2017-Diferenciales.pdf
Junio-2017.pdf
Parcial-2016-II.pdf
Parcial-2016.pdf

He publicado nuevos ejercicios de 2º Ampliación de Matemáticas: calculo diferencial ejercicios .pdf

142 páginas

He publicado nuevos practicas de 2º Ampliación de Matemáticas: Practica Ampliacion.pdf

3 páginas

He publicado nuevos apuntes de 2º Ampliación de Matemáticas: calculo diferencial teoria.pdf

92 páginas
¡Estás al día!

¡Estás al día!

Has visto todos los archivos