chevron_left
chevron_right
Todo
Apuntes
Exámenes
chevron_left
chevron_right

examenes

-

examenes ampli

He publicado nuevos examenes de 2º Ampliación de Matemáticas: examenes ampli

enero25.pdf
junio25.pdf
examen.jpeg
Anónimo

@Anónimo

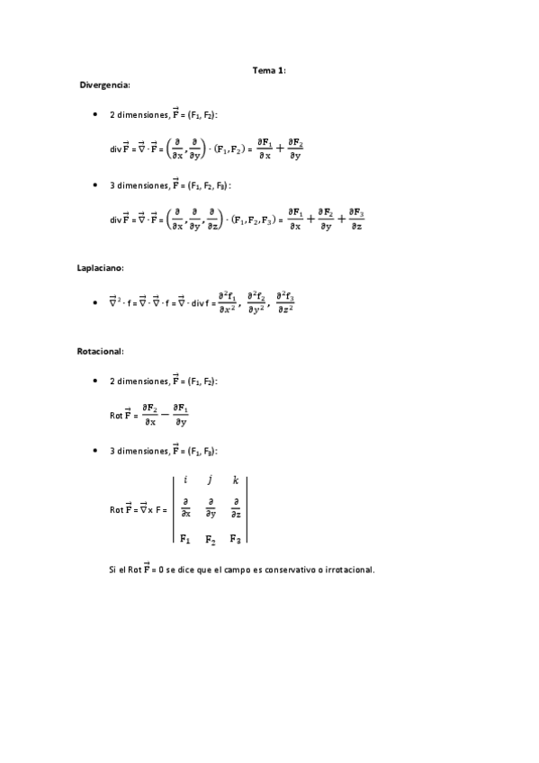
He publicado nuevos apuntes de 2º Ampliación de Matemáticas: formulario.pdf

15 páginas
Anónimo

@Anónimo

apuntes

-

apuntes

He publicado nuevos apuntes de 2º Ampliación de Matemáticas: apuntes

EDO.pdf
Temas-1-y-2.pdf
¡Estás al día!

¡Estás al día!

Has visto todos los archivos