Ampliación de Matemáticas

chevron_left
chevron_right
Todo
Apuntes
Ejercicios
Exámenes
Otros
Prácticas
chevron_left
chevron_right

examenes

-

Exámenes Resueltos 1ºParcial Ampli de Mates

He publicado nuevos examenes de 2º Ampliación de Matemáticas: Exámenes Resueltos 1ºParcial Ampli de Mates

Solucion-1oConvo-2024-Ampli-de-Mates.pdf
Solucion-1oConvo-2025-Ampli-de-Mates.pdf
Solucion-1oParcial-2023-Ampli-de-Mates-1.pdf
Solucion-1oParcial-2023-Ampli-de-Mates-2.pdf
Solucion-1oParcial-2024-Ampli-de-Mates-1.pdf
Solucion-1oParcial-2024-Ampli-de-Mates-2.pdf

examenes

-

Exámenes Resueltos 4ºParcial Ampli de Mates

He publicado nuevos examenes de 2º Ampliación de Matemáticas: Exámenes Resueltos 4ºParcial Ampli de Mates

Solucion-3oConvo-2025-Ejercicio-4-Ampliacion-de-Mates.pdf
Solucion-4oParcial-2024-Ampliacion-de-Mates.pdf
Solucion-5oParcial-2023-Ampliacion-de-Mates.pdf
Solucion-5oParcial-2023-Ejercicio-3-Ampliacion-de-Mates.pdf

apuntes

-

Ampliación de Mates Teoría y Boletines

Teoría y Boletín de cada apartado del tema 1

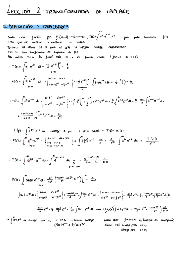
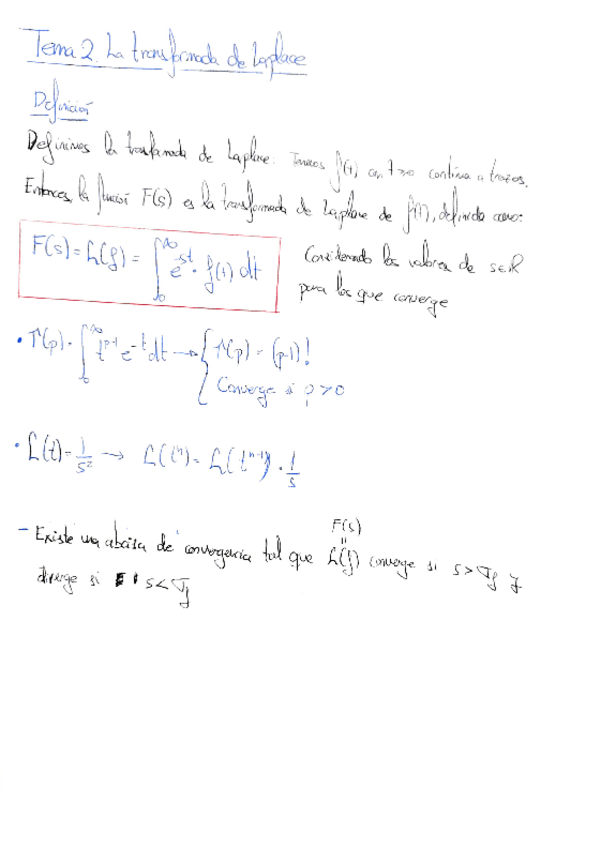
T1-Transformada-de-Laplace.pdf
T2-Sistemas-de-ecuaciones-diferenciales.pdf
T3-Ecuaciones-en-Derivadas-Parciales.pdf
T4-Transformaciones-Conformes.pdf

examenes

-

Exámenes resueltos

He publicado nuevos examenes de 2º Ampliación de Matemáticas: Exámenes resueltos

1Convo24-25Resuelta.pdf
2Convo24-25resuelta.pdf
3Convo24-25Resuelta.pdf
Ej-especificos3Convo24-25Resueltos.pdf
1Parcial25-26Resuelto.pdf
2Parcial25-26Resuelto.pdf

He publicado nuevos examenes de 2º Ampliación de Matemáticas: Ejercicios-de-examenes-FOURIER.pdf

28 páginas

He publicado nuevos examenes de 2º Ampliación de Matemáticas: Ejercicios-de-examenes-TRANSFORMADAS-DE-LAPLACE.pdf

18 páginas

He publicado nuevos examenes de 2º Ampliación de Matemáticas: Ejercicios-de-Examenes-Sistemas-de-ecuaciones-lineales.pdf

3 páginas
Anónimo

@Anónimo

He publicado nuevos apuntes de 2º Ampliación de Matemáticas: Resumen3.pdf

3 páginas
Anónimo

@Anónimo

He publicado nuevos apuntes de 2º Ampliación de Matemáticas: Resumen2.pdf

3 páginas
Anónimo

@Anónimo

He publicado nuevos apuntes de 2º Ampliación de Matemáticas: Resumen1.pdf

3 páginas
Anónimo

@Anónimo

He publicado nuevos apuntes de 2º Ampliación de Matemáticas: Resumen-4.pdf

4 páginas

He publicado nuevos apuntes de 2º Ampliación de Matemáticas: Trabajos-en-grupo.pdf

36 páginas

He publicado nuevos apuntes de 2º Ampliación de Matemáticas: Tercer-parcial-2025.pdf

1 página

He publicado nuevos apuntes de 2º Ampliación de Matemáticas: Segundo-parcial-2025.pdf

1 página

He publicado nuevos apuntes de 2º Ampliación de Matemáticas: PRUEBAS-DE-EVALUACION-DEL-CURSO-2023-2024.pdf

22 páginas

He publicado nuevos apuntes de 2º Ampliación de Matemáticas: PRUEBAS-DE-EVALUACION-DEL-CURSO-2024-2025.pdf

13 páginas

He publicado nuevos apuntes de 2º Ampliación de Matemáticas: Primer-parcial-2025.pdf

3 páginas

He publicado nuevos apuntes de 2º Ampliación de Matemáticas: Cuarto-parcial-2025.pdf

1 página

He publicado nuevos apuntes de 2º Ampliación de Matemáticas: 3-convo-2025.pdf

1 página

He publicado nuevos apuntes de 2º Ampliación de Matemáticas: EjerLeccion-4.-TRANSFORMACIONES-CONFORMES.pdf

7 páginas

He publicado nuevos apuntes de 2º Ampliación de Matemáticas: EjerLeccion-3.-EDPs.pdf

10 páginas

He publicado nuevos apuntes de 2º Ampliación de Matemáticas: EjerLeccion-2.-SISTEMAS.pdf

6 páginas

He publicado nuevos apuntes de 2º Ampliación de Matemáticas: EjerLeccion-1.-TRANSFORMADA-DE-LAPLACE.pdf

4 páginas

He publicado nuevos ejercicios de 2º Ampliación de Matemáticas: ejercicios-4-parcial.pdf

25 páginas

He publicado nuevos apuntes de 2º Ampliación de Matemáticas: L3-problemas-fourier.pdf

23 páginas

He publicado nuevos apuntes de 2º Ampliación de Matemáticas: Resumen-de-todas-las-lecciones.pdf

13 páginas

apuntes

-

Apuntes

He publicado nuevos apuntes de 2º Ampliación de Matemáticas: Apuntes

Tema-6.-Estabilidad-y-Planos-de-Fase.pdf
DELTA-DE-DIRAC-WLA.pdf
Tabla-Transformadas-de-Laplace-WLA.pdf
Tema-1.-Ecuaciones-Diferenciales-Lineales-de-Segundo-Orden.pdf
Tema-2.-Transformada-de-Laplace.pdf
Tema-3.-Sistemas-de-Ecuaciones-Diferenciales-Lineales.pdf

He publicado nuevos apuntes de 2º Ampliación de Matemáticas: Apuntes-y-Ejercicios-Ampliacion-de-Mates.pdf

104 páginas

He publicado nuevos apuntes de 2º Ampliación de Matemáticas: tema-3.1.pdf

22 páginas

He publicado nuevos apuntes de 2º Ampliación de Matemáticas: tema-3.2.pdf

23 páginas

He publicado nuevos apuntes de 2º Ampliación de Matemáticas: Leccion-2.1.pdf

30 páginas

He publicado nuevos apuntes de 2º Ampliación de Matemáticas: Leccion-2.2.pdf

30 páginas

He publicado nuevos apuntes de 2º Ampliación de Matemáticas: Leccion-2.1.1

Miniatura no disponible

He publicado nuevos apuntes de 2º Ampliación de Matemáticas: Leccion-1.pdf

30 páginas

He publicado nuevos apuntes de 2º Ampliación de Matemáticas: Leccion-2.pdf

59 páginas

He publicado nuevos apuntes de 2º Ampliación de Matemáticas: LECCION-4.pdf

29 páginas

He publicado nuevos apuntes de 2º Ampliación de Matemáticas: LECCION-3.pdf

44 páginas

He publicado nuevos apuntes de 2º Ampliación de Matemáticas: Dos-ejemplos-importantes.pdf

6 páginas

ejercicios

-

Ampli de mates temsa 3 y 4

He publicado nuevos ejercicios de 2º Ampliación de Matemáticas: Ampli de mates temsa 3 y 4

Ecuaciones-de-ondas-1.pdf
Ecuaciones-de-ondas-2.pdf
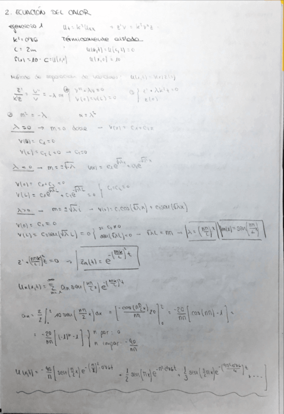
Ecuaciones-del-calor-1.pdf
Ecuaciones-del-calor-2.pdf
Problemas-de-Dirichlet.pdf
Problemas-de-Neumann.pdf

apuntes

-

Apuntes de clase

He publicado nuevos apuntes de 2º Ampliación de Matemáticas: Apuntes de clase

T3-Ecuaciones-en-derivadas-parciales.-PRIMERA-PARTE.pdf
T2-segunda-parte.pdf
T1-Transformada-de-Laplace.pdf
T3-Ecuaciones-en-derivadas-parciales.-SEGUNDA-PARTE.pdf
T4-TRANSFORMACIONES-CONFORMES.pdf
T2-primera-parte.pdf

He publicado nuevos examenes de 2º Ampliación de Matemáticas: examenes-2023-tema-2.pdf

13 páginas

examenes

-

EXÁMENES Resueltos - Contorno y Fourier

He publicado nuevos examenes de 2º Ampliación de Matemáticas: EXÁMENES Resueltos - Contorno y Fourier

Tercera-Convo-2022.pdf
Segundo-Parcial-2022.pdf
Primera-Convo-2023.pdf
Segunda-Convo-2023.pdf
Tercera-Convo-2021.pdf
Segundo-Parcial-2022.pdf

examenes

-

EXÁMENES Resueltos - Laplace

He publicado nuevos examenes de 2º Ampliación de Matemáticas: EXÁMENES Resueltos - Laplace

Tercera-Convo-2022.pdf
Primer-Parcial-2022.pdf
Primera-Convo-2023.pdf
Segunda-Convo-2023.pdf
Tercera-Convo-2021.pdf
Primera-Convo-2022.pdf

examenes

-

EXÁMENES Resueltos - Sistemas y Planos de Fase

He publicado nuevos examenes de 2º Ampliación de Matemáticas: EXÁMENES Resueltos - Sistemas y Planos de Fase

Tercera-Convo-2022.pdf
Primer-Parcial-2022.pdf
Primera-Convo-2023.pdf
Segunda-Convo-2023.pdf
Tercera-Convo-2021.pdf
Primera-Convo-2022.pdf

examenes

-

EXÁMENES Resueltos - Variable Compleja

He publicado nuevos examenes de 2º Ampliación de Matemáticas: EXÁMENES Resueltos - Variable Compleja

Tercera-Convo-2022.pdf
Segundo-Parcial-2022.pdf
Primera-Convo-2023.pdf
Segunda-Convo-2023.pdf
Tercera-Convo-2021.pdf
Segundo-Parcial-2022.pdf

examenes

-

EXÁMENES Resueltos - Ecuaciones Diferenciales

He publicado nuevos examenes de 2º Ampliación de Matemáticas: EXÁMENES Resueltos - Ecuaciones Diferenciales

Tercera-Convo-2022.pdf
Primer-Parcial-2022.pdf
Primera-Convo-2023.pdf
Segunda-Convo-2023.pdf
Tercera-Convo-2021.pdf
Primera-Convo-2022.pdf

He publicado nuevos apuntes de 2º Ampliación de Matemáticas: Problemas-de-Contorno-y-Fourier-Teoría+Ejercicios.pdf

28 páginas

He publicado nuevos apuntes de 2º Ampliación de Matemáticas: Variable-Compleja-Teoría+Ejercicios.pdf

10 páginas

examenes

-

Primer Parcial Exámenes

He publicado nuevos examenes de 2º Ampliación de Matemáticas: Primer Parcial Exámenes

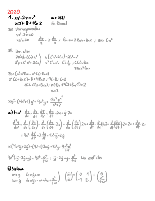
Primer-Parcial-2021.pdf
Primer-Parcial-2020.pdf
Primer-Parcial-2019.pdf
Primer-Parcial-2018.pdf
Primer-Parcial-2017.pdf
Primer-Parcial-2016.pdf

He publicado nuevos apuntes de 2º Ampliación de Matemáticas: Transformada-de-Laplace-Teoría+Ejercicios.pdf

11 páginas

He publicado nuevos apuntes de 2º Ampliación de Matemáticas: Sistemas-No-Lineales-Plano-de-Fase-Teoría+Ejercicios.pdf

15 páginas

He publicado nuevos apuntes de 2º Ampliación de Matemáticas: Ecuaciones-Diferenciales-Teoría+Ejercicios.pdf

34 páginas

probablemente haya errores pero espero que os sirva. un saludo grupo

25 páginas

apuntes

-

Temario completo

He publicado nuevos apuntes de 2º Ampliación de Matemáticas: Temario completo

Tema-3-Sistemas-de-EDOs.pdf
Tema-1-EDOs.pdf
Tema-6-Transformaciones-conformes.pdf
Tema-4-Analisis-de-Fourier.pdf
Tema-5-Ecuaciones-en-derivadas-parciales.pdf
Tema-2-La-transformada-de-Laplace.pdf

apuntes

-

Apuntes de clase Ampli de Mates

He publicado nuevos apuntes de 2º Ampliación de Matemáticas: Apuntes de clase Ampli de Mates

Leccion-2-Transformada-de-Laplace.pdf
Leccion-1-Ecuaciones-diferenciales.pdf
Leccion-6-Transformaciones-conformes.pdf
Leccion-4-Analisis-de-Fourier.pdf
Leccion-3-Sistemas-de-ecuaciones-diferenciales.pdf
Leccion-5-Ecuaciones-en-derivadas-parciales.pdf

apuntes

-

Temario Ampliacion Matemáticas 2024

He publicado nuevos apuntes de 2º Ampliación de Matemáticas: Temario Ampliacion Matemáticas 2024

Ampli-mates-T1.pdf
Ampli-mates-T2.pdf
Ampli-mates-T3.pdf
Ampli-mates-T4.pdf
Ampli-mates-T5.pdf
Ampli-mates-T6.pdf

He publicado nuevos apuntes de 2º Ampliación de Matemáticas: APUNTES-DE-CLASE-TODA-LA-ASIGNATURA.pdf

74 páginas

apuntes

-

apuntes con ejemplos

He publicado nuevos apuntes de 2º Ampliación de Matemáticas: apuntes con ejemplos

Leccion-1.pdf
Leccion-2.pdf
Leccion-3.pdf
Leccion-4.pdf
Leccion-5.pdf
Leccion-6.pdf

apuntes

-

EJERCICIOS DE TODOS LOS TEMAS

He publicado nuevos apuntes de 2º Ampliación de Matemáticas: EJERCICIOS DE TODOS LOS TEMAS

Ejs-tema-1parte-1.pdf
Ejs-tema-1parte-2.pdf
ejs-tema-3.pdf
Ejs-tema-4.pdf
ejs-tema-5.pdf
ejs-tema-6.pdf

apuntes

-

Tema 6

He publicado nuevos apuntes de 2º Ampliación de Matemáticas: Tema 6

I.pdf
II.pdf