chevron_left
chevron_right
Todo
Apuntes
Ejercicios
Exámenes
Trabajos
chevron_left
chevron_right

apuntes

-

Formulario Parciales

Formulario (demostraciones) de ambos parciales y algunos ejercicios importantes

Formulario-2o-Parcial.pdf
Formulario-1o-Parcial.pdf

apuntes

-

Ampliación_de_Matemáticas

He publicado nuevos apuntes de 2º Ampliación de Matemáticas: Ampliación_de_Matemáticas

AmpliaciondeMatematicas.pdf

He publicado nuevos examenes de 2º Ampliación de Matemáticas: ExamenJunio.pdf

1 página

He publicado nuevos examenes de 2º Ampliación de Matemáticas: Primer-Parcial-2024.pdf

1 página

apuntes

-

AMPLIACION DE MATEMÁTICAS

He publicado nuevos apuntes de 2º Ampliación de Matemáticas: AMPLIACION DE MATEMÁTICAS

EDPs.pdf
Estabilidad-EDOs1.pdf
Estabilidad-EDOs.pdf
Fourier.pdf
Optimizacion-no-lineal.pdf
Transformada-de-Laplace1.pdf
Anónimo

@Anónimo

He publicado nuevos apuntes de 2º Ampliación de Matemáticas: PRIMER-PARCIAL-AMPLIACION.pdf

10 páginas

He publicado nuevos apuntes de 2º Ampliación de Matemáticas: laplace-EDPS-y-tipo-Neuman-1.pdf

40 páginas

He publicado nuevos ejercicios de 2º Ampliación de Matemáticas: optimizacion.pdf

9 páginas

He publicado nuevos apuntes de 2º Ampliación de Matemáticas: teoria-ejercicios.pdf

30 páginas

He publicado nuevos ejercicios de 2º Ampliación de Matemáticas: estabilidad.pdf

7 páginas

He publicado nuevos apuntes de 2º Ampliación de Matemáticas: Ampliacion-de-mates-Series-de-Fourier.pdf

13 páginas

He publicado nuevos apuntes de 2º Ampliación de Matemáticas: Ampliacion-de-mates-Ecuaciones-en-deriva.pdf

38 páginas

He publicado nuevos apuntes de 2º Ampliación de Matemáticas: Ampliacion-de-mates-Optimizacion-no-line.pdf

55 páginas

He publicado nuevos apuntes de 2º Ampliación de Matemáticas: Ampliacion-de-mates-Transformada-de-Lapl.pdf

21 páginas

He publicado nuevos apuntes de 2º Ampliación de Matemáticas: Ampliacion-de-mates-Sistemas-lineales-de.pdf

20 páginas

He publicado nuevos trabajos de 2º Ampliación de Matemáticas: Ampliacion-de-mates-entregable-1.pdf

5 páginas

He publicado nuevos apuntes de 2º Ampliación de Matemáticas: Ampliacion-de-mates-ejercicios-1o-parcia.pdf

32 páginas

apuntes

-

Apuntes y ejercicios de Ampli de Mate

Adjunto mis apuntes de Ampliación de Matemáticas, realizados con app de escritura en iPad (más alguno hecho a mano)

Tema-3.-Transformada-De-Laplace-Teoria-y-Ejercicios.pdf
Tema-4.-Estabilidad-Apuntes-y-Ejercicios.pdf
Tema-1.-Series-de-Fourier-Teoria-y-Ejercicios.pdf
Tema-2.-EDPs-Teoria-y-Ejercicios.pdf
Tema-5.-Transformada-De-Fourier-Y-Optimizacion-Teoria-Y-Ejercicios-De-Repaso.pdf
Anónimo

@Anónimo

apuntes

-

Ampliación matemáticas

He publicado nuevos apuntes de 2º Ampliación de Matemáticas: Ampliación matemáticas

Miniatura no disponible
Ampliacion-matematicas-20220725T204539Z-001.zip

examenes

-

Examenes resueltos 2012-2013

He publicado nuevos examenes de 2º Ampliación de Matemáticas: Examenes resueltos 2012-2013

22-1-13sol.pdf
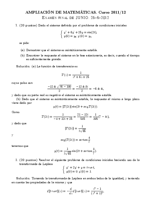
25-6-12.pdf
sep.pdf

He publicado nuevos examenes de 2º Ampliación de Matemáticas: maxima_modelo_de_examen.pdf

pdf

examenes

-

Examenes Resueltos 2013-2016

He publicado nuevos examenes de 2º Ampliación de Matemáticas: Examenes Resueltos 2013-2016

13jun2016s.pdf
04_am_jun13s.pdf
07_am_jun14s.pdf
10_am_jun15s.pdf

examenes

-

Examenes Resueltos

Claves para aprobar la asignatura.

SOLUCIÓN EXAMEN DE FEBRERO.pdf
Final_sept_12_13_resuelto.pdf
Final_sept_11_12_resuelto.pdf
Final_junio_12_13_resuelto.pdf
Final_junio_11_12_resuelto.pdf
Final_febrero_13_14_resuelto.pdf
¡Estás al día!

¡Estás al día!

Has visto todos los archivos