chevron_left
chevron_right
Todo
Apuntes
Exámenes
chevron_left
chevron_right

Apuntes y formularios Ampliación de Matemáticas

12 páginas

apuntes

-

Tema 9 Método de Separación de Variables

He publicado nuevos apuntes de 2º Ampliación de Matemáticas: Tema 9 Método de Separación de Variables

Teoria-Tema-9-Metodo-de-Separacion-de-Variables.pdf
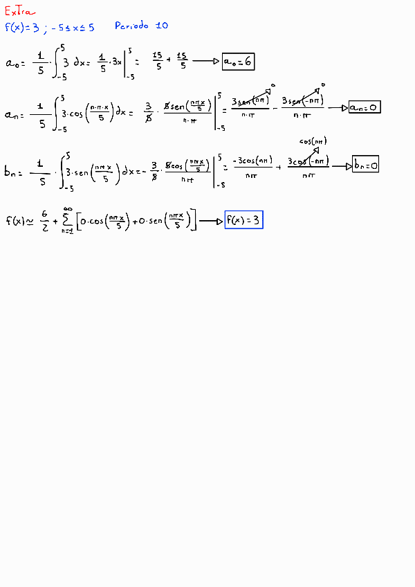
Ejercicios-Series-de-Fourier.pdf
Ecuacion-de-Ondas.pdf
Ecuacion-de-Laplace.pdf
Ecuacion-de-Calor.pdf

apuntes

-

Tema 6 Transformada de Laplace

He publicado nuevos apuntes de 2º Ampliación de Matemáticas: Tema 6 Transformada de Laplace

Teoria-Tema-6-Trasformada-de-Laplace.pdf
Transformadas-de-Laplace-de-Funciones-Discontinuas.pdf
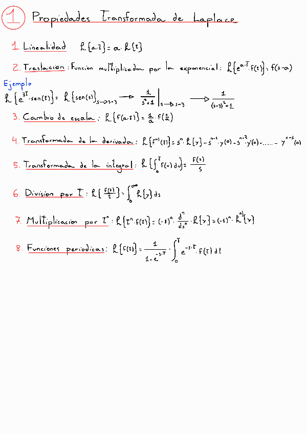
Propiedades-y-formulas-Transformada-de-Laplace.pdf
Ejercicios-Transformada-de-Laplace.pdf
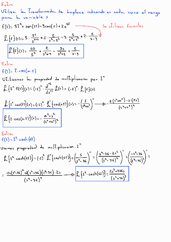
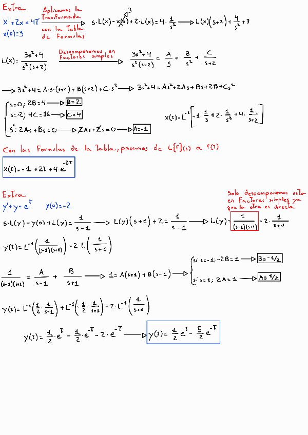
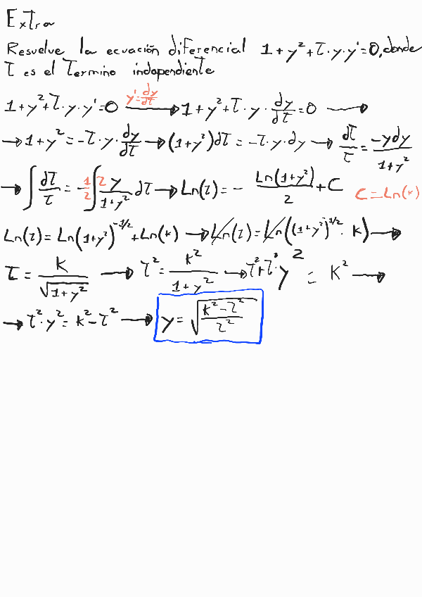
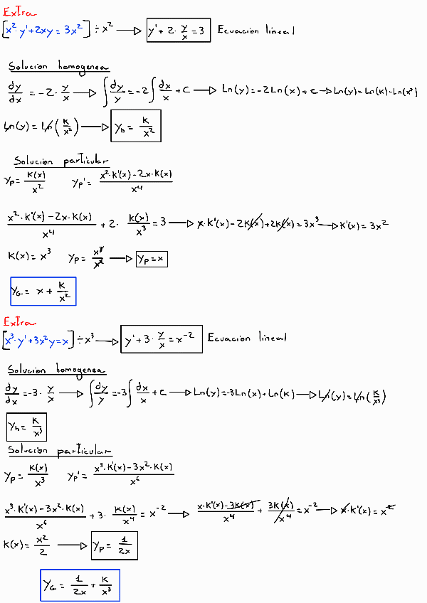
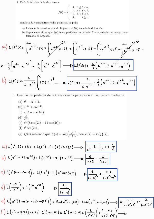
Ejercicios-Extra-Tema-6-Transformada-de-Laplace.pdf
Ejercicios-Clase-Tema-6-Transformada-de-Laplace.pdf

apuntes

-

Tema 5 Sistemas de Ecuaciones Diferenciales Lineales

He publicado nuevos apuntes de 2º Ampliación de Matemáticas: Tema 5 Sistemas de Ecuaciones Diferenciales Lineales

Teoria-Tema-5-Sistemas-de-Ecuaciones-Diferenciables-lineales.pdf
Ejercicios-SDO.pdf
Ejercicios-Extra-Tema-5-Sistemas-de-Ecuaciones-Diferenciables-Lineales.pdf

apuntes

-

Tema 4 Soluciones en Forma de Series de Potencia

He publicado nuevos apuntes de 2º Ampliación de Matemáticas: Tema 4 Soluciones en Forma de Series de Potencia

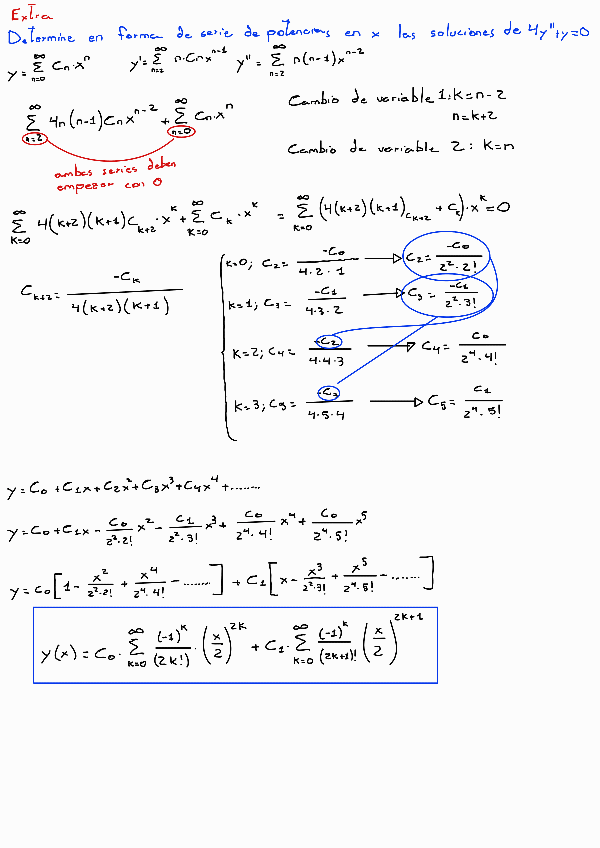
Teoria-Tema-4-Soluciones-en-Forma-de-Series-de-Potencias.pdf
Ejercicios-Extra-Tema-4-Soluciones-en-Forma-de-Series-de-Potencias.pdf
Ejercicios-Ecuaciones-Forma-de-Series-de-Potencia.pdf

apuntes

-

Tema 3 Ecuaciones Diferenciales de Orden Superior

He publicado nuevos apuntes de 2º Ampliación de Matemáticas: Tema 3 Ecuaciones Diferenciales de Orden Superior

Teoria-Tema-3-EDO-de-Orden-Superior.pdf
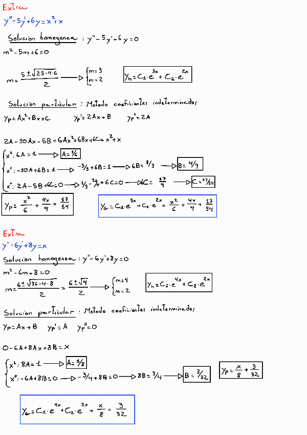
Ejercicios-Extra-Tema-3-EDO-de-Orden-Superior.pdf
Ejercicios-Ecuaciones-de-Segundo-Orden.pdf
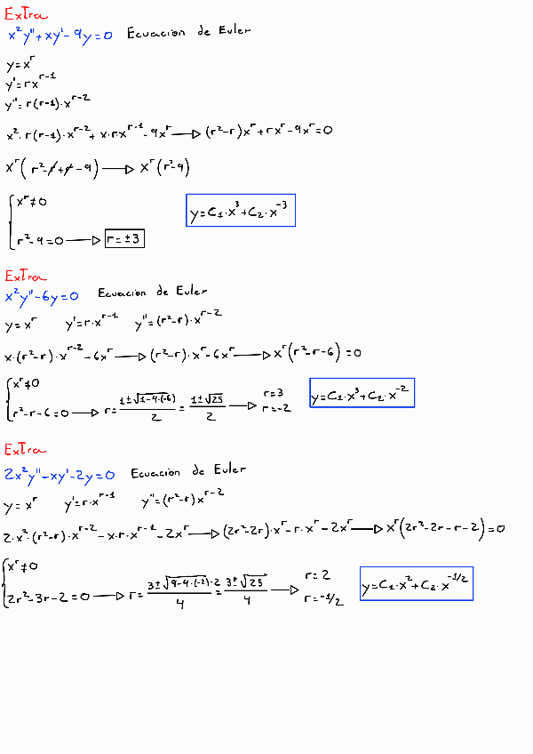
Ejercicios-Ecuaciones-de-Euler.pdf

apuntes

-

Tema 2 Ecuaciones de Primer Orden

He publicado nuevos apuntes de 2º Ampliación de Matemáticas: Tema 2 Ecuaciones de Primer Orden

Teoria-Tema-2-Ecuaciones-de-Primer-Orden.pdf
Ejercicios-Extra-Tema-2-Ecuaciones-de-Primer-Orden.pdf
Ejercicios-Ecuaciones-Ricatti.pdf
Ejercicios-Ecuaciones-Lineales.pdf
Ejercicios-Ecuaciones-Homogeneas.pdf
Ejercicios-Ecuaciones-Exactas-y-Factor-Integrante.pdf

apuntes

-

Tema 1 Introducción a las Ecuaciones Diferenciales

He publicado nuevos apuntes de 2º Ampliación de Matemáticas: Tema 1 Introducción a las Ecuaciones Diferenciales

Ejercicios-Clase-Tema-1-Introducion-a-las-Ecuaciones-Diferenciables.pdf
Teoria-Tema-1-Introducion-a-las-Ecuaciones-Diferenciables.pdf

He publicado nuevos examenes de 2º Ampliación de Matemáticas: Examen-Ordinario-Resuelto-2024-2025.pdf

4 páginas

He publicado nuevos apuntes de 2º Ampliación de Matemáticas: ejercicios-ampliacion-tema-1.pdf

5 páginas

He publicado nuevos apuntes de 2º Ampliación de Matemáticas: tema-2-apuntes-ampliacion.pdf

21 páginas

He publicado nuevos apuntes de 2º Ampliación de Matemáticas: tema-1-ampliacion.pdf

8 páginas

He publicado nuevos apuntes de 2º Ampliación de Matemáticas: 1-Tema-Ampliacion.pdf

8 páginas

He publicado nuevos apuntes de 2º Ampliación de Matemáticas: apuntes-ampliacion-de-matematicas.pdf

198 páginas
¡Estás al día!

¡Estás al día!

Has visto todos los archivos