chevron_left
chevron_right
Todo
Apuntes
Ejercicios
Exámenes
Prácticas
chevron_left
chevron_right

He publicado nuevos apuntes de 2º Ampliación de Matemáticas: 5.3-Seminario-furier-transform.pdf

5 páginas

He publicado nuevos apuntes de 2º Ampliación de Matemáticas: 5.1-FOURIER-TRANSFORM-THEORY.pdf

3 páginas

He publicado nuevos apuntes de 2º Ampliación de Matemáticas: 5.2-Fourier-transform-class.pdf

7 páginas

He publicado nuevos apuntes de 2º Ampliación de Matemáticas: 4.2-Seminario-furier-series.pdf

5 páginas

He publicado nuevos apuntes de 2º Ampliación de Matemáticas: 4.1-FURIER-SERIES-THEORY.pdf

11 páginas

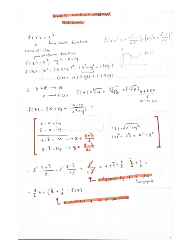
He publicado nuevos apuntes de 2º Ampliación de Matemáticas: T3-FUNCTION-OF-COMPLEX-VARIABLES.pdf

9 páginas

He publicado nuevos apuntes de 2º Ampliación de Matemáticas: Apuntes-mate-T2-T3.pdf

11 páginas

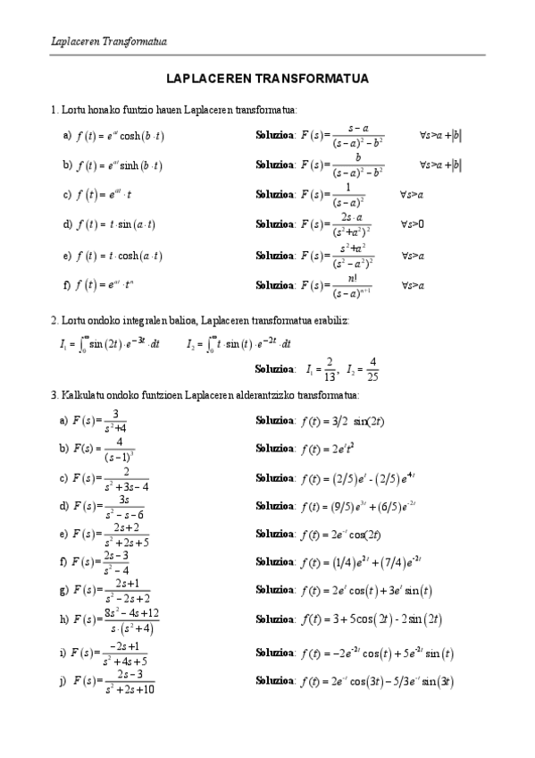
He publicado nuevos apuntes de 2º Ampliación de Matemáticas: T2-LAPLACE-TRANSFORMATION.pdf

12 páginas

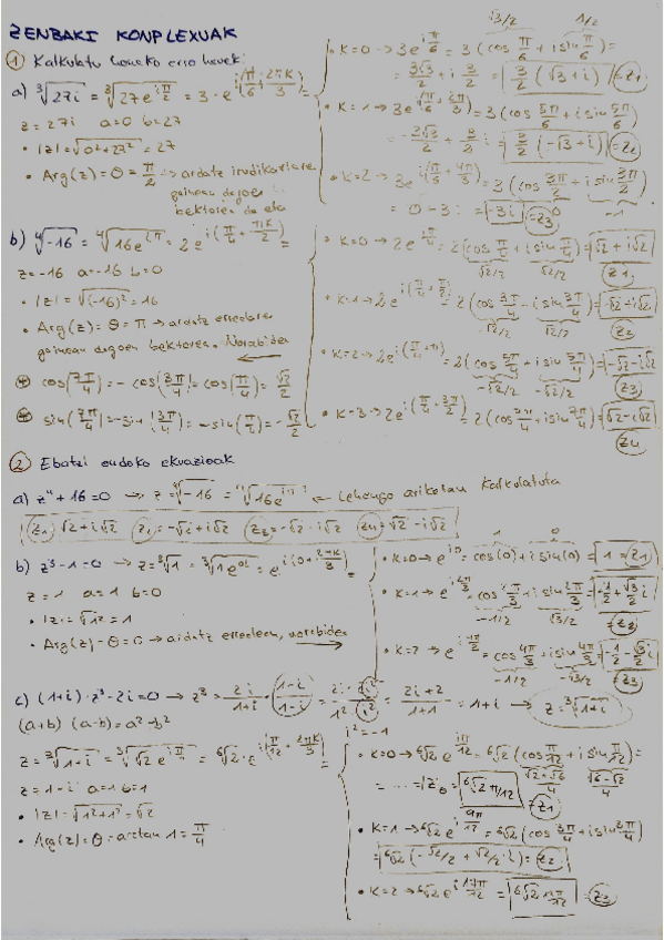
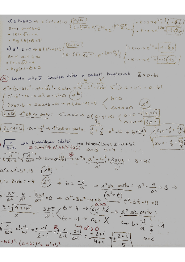
He publicado nuevos apuntes de 2º Ampliación de Matemáticas: T1-COMPLEX-NUMBERS.pdf

9 páginas

He publicado nuevos apuntes de 2º Ampliación de Matemáticas: Seminario.pdf

3 páginas

He publicado nuevos apuntes de 2º Ampliación de Matemáticas: Teoria-primer-parcial.pdf

8 páginas

He publicado nuevos ejercicios de 2º Ampliación de Matemáticas: Ampli-De-Mate-Ejercicios.pdf

22 páginas

examenes

-

Examenes mathematica

He publicado nuevos examenes de 2º Ampliación de Matemáticas: Examenes mathematica

Miniatura no disponible
am20230120c1comexamsol.nb
Miniatura no disponible
am20230621c2comsol.nb
Miniatura no disponible
diciembre22.2.nb
Miniatura no disponible
diciembre22.nb
Miniatura no disponible
enero23.nb
Miniatura no disponible
jun22.nb

practicas

-

Prácticas mathematica

He publicado nuevos practicas de 2º Ampliación de Matemáticas: Prácticas mathematica

Miniatura no disponible
complejossr.nb
Miniatura no disponible
ejemplo-graficos-serie-fourier.nb
Miniatura no disponible
ejemplo.nb
Miniatura no disponible
ejemplos-ciclossr.nb
Miniatura no disponible
ejercicio-2.nb
Miniatura no disponible
Pract2.nb

He publicado nuevos examenes de 2º Ampliación de Matemáticas: Examenes-resueltos-parcial-2.pdf

37 páginas

He publicado nuevos examenes de 2º Ampliación de Matemáticas: Examenes-resueltos-parcial-1.pdf

42 páginas

He publicado nuevos ejercicios de 2º Ampliación de Matemáticas: Ejercicios-libro.pdf

52 páginas

He publicado nuevos apuntes de 2º Ampliación de Matemáticas: Apuntes-todos-los-temas.pdf

6 páginas

He publicado nuevos apuntes de 2º Ampliación de Matemáticas: Mathematica-apuntes.pdf

6 páginas

He publicado nuevos apuntes de 2º Ampliación de Matemáticas: Fourier-transform-properties.pdf

2 páginas

Examen mathematica

Miniatura no disponible

SUPERRESUMEN de la teoría + métodos de resolución para los ejercicios de exámenes

34 páginas

SUPERRESUMEN de la teoría + métodos de resolución para los ejercicios de exámenes

39 páginas

Códigos base y métodos de resolución de ejercicios para memorizar

20 páginas

Parcial 2025 noviembre resuelto

7 páginas

apuntes

-

RESUMEN POR TEMAS

He publicado nuevos apuntes de 2º Ampliación de Matemáticas: RESUMEN POR TEMAS

MATHEMATICS-APUNTES-1.pdf
MATHEMATICS-APUNTES-2.pdf
MATHEMATICS-APUNTES-3.pdf
MATHEMATICS-APUNTES-4.pdf
MATHEMATICS-APUNTES-5.pdf
Anónimo

@Anónimo

examenes

-

Examenes resueltos por Felipe

He publicado nuevos examenes de 2º Ampliación de Matemáticas: Examenes resueltos por Felipe

am20241029c0wrisol.pdf
am20211106c0wrisol.pdf
am20210122c1wrisol.pdf
am20210617c2wrisol.pdf
am20201107c0wrisol.pdf
am20240119c1wrisol.pdf

6. MINTEGIAREN EBAZPENA

3 páginas

4. ETA 5. MINTEGIEN EBAZPENAK

8 páginas

He publicado nuevos ejercicios de 2º Ampliación de Matemáticas: Seminar-5-SOLVED-Fourier-Transform.pdf

6 páginas
Anónimo

@Anónimo

He publicado nuevos examenes de 2º Ampliación de Matemáticas: am20250618c2wriexamESP.pdf

2 páginas

He publicado nuevos examenes de 2º Ampliación de Matemáticas: Junio2023AmpliMateordenador.nb

Miniatura no disponible

He publicado nuevos examenes de 2º Ampliación de Matemáticas: Junio2022AMateordenador.nb

Miniatura no disponible

He publicado nuevos examenes de 2º Ampliación de Matemáticas: Examdiciembre2024.nb

Miniatura no disponible

He publicado nuevos examenes de 2º Ampliación de Matemáticas: Enero2018AmpMateordenador.nb

Miniatura no disponible

He publicado nuevos examenes de 2º Ampliación de Matemáticas: Enero2024AMateordenador.nb

Miniatura no disponible

He publicado nuevos examenes de 2º Ampliación de Matemáticas: EjerciciosLaplaceordenador.nb

Miniatura no disponible

He publicado nuevos apuntes de 2º Ampliación de Matemáticas: ordenadorDIciembre2017Ej2AMate.nb

Miniatura no disponible

He publicado nuevos examenes de 2º Ampliación de Matemáticas: OrdenadorDiciembre2017AMate.nb

Miniatura no disponible

He publicado nuevos examenes de 2º Ampliación de Matemáticas: exresueltoordenadorenero2018.nb

Miniatura no disponible

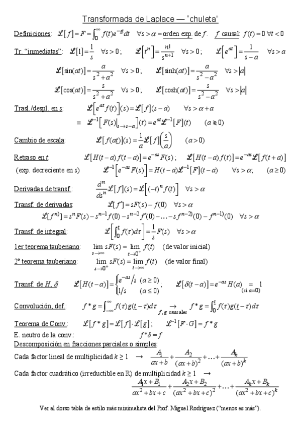
FORMULARIO de todos los temas

13 páginas

Summary for complex variables. made by a professor

5 páginas

examenes

-

EXAMEN PARCIAL RESUELTO

He publicado nuevos examenes de 2º Ampliación de Matemáticas: EXAMEN PARCIAL RESUELTO

am20241029c0wriexamEnglishSolved.pdf
am20231031c0wriexamEnglishSolved-1-1.pdf
Ampliacion20240119Solved.pdf
am20231031c0wriexamEnglishSolved.pdf
am20230621c2escexamEnglishSolved.pdf
Nov2022Solved.pdf

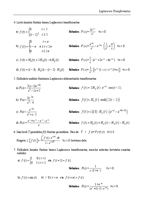
Ejercicios de Laplace para el segundo mintegi de Matematikas

6 páginas

He publicado nuevos ejercicios de 2º Ampliación de Matemáticas: Ejercicios-del-libro-resueltos-Numeros-complejos.pdf

8 páginas

Ejercicios resueltos de la Transformada de Laplace del libro de clase con las propiedades escritas

12 páginas

Esquema completo de todos los comandos de la práctica 1 de mathematica. AMPLIACIÓN DE MATEMÁTICAS.

1 página

He publicado nuevos apuntes de 2º Ampliación de Matemáticas: Seminar-2-Laplace-Transform-SOLVED-EXERCISES.pdf

6 páginas
Anónimo

@Anónimo

Funciones a utilizar para el examen y las prácticas

6 páginas

He publicado nuevos apuntes de 2º Ampliación de Matemáticas: MATHEMATICA-P1.pdf

7 páginas

He publicado nuevos apuntes de 2º Ampliación de Matemáticas: MATHEMATICA-P2.pdf

10 páginas

He publicado nuevos apuntes de 2º Ampliación de Matemáticas: MATHEMATICA-P3.pdf

3 páginas

He publicado nuevos apuntes de 2º Ampliación de Matemáticas: MATHEMATICA-P4.pdf

5 páginas

He publicado nuevos apuntes de 2º Ampliación de Matemáticas: MATHEMATICA-P5.pdf

2 páginas

He publicado nuevos apuntes de 2º Ampliación de Matemáticas: ProblemasComplejosSencillos.pdf

2 páginas

He publicado nuevos apuntes de 2º Ampliación de Matemáticas: numeroscomplejosTeoria.pdf

17 páginas

He publicado nuevos apuntes de 2º Ampliación de Matemáticas: 4SerFourchuleta.pdf

1 página

He publicado nuevos apuntes de 2º Ampliación de Matemáticas: 5TrFourchuleta.pdf

1 página

He publicado nuevos apuntes de 2º Ampliación de Matemáticas: 4SerFour.pdf

24 páginas

He publicado nuevos apuntes de 2º Ampliación de Matemáticas: 2TrLapchuleta-1.pdf

2 páginas