chevron_left
chevron_right
Todo
Apuntes
Exámenes
chevron_left
chevron_right

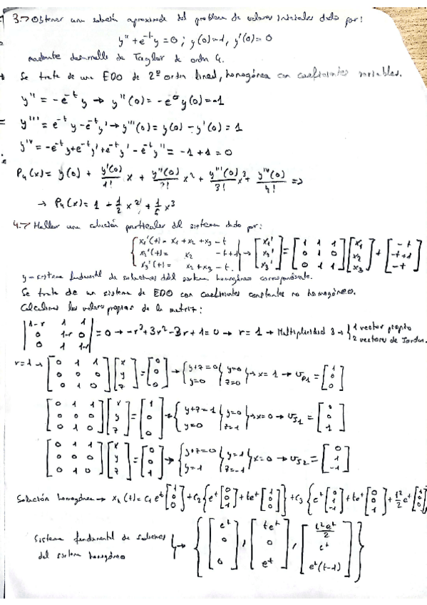
Ejercicios resueltos de exámenes de años anteriores paso a paso.

11 páginas

He publicado nuevos apuntes de 2º Ampliación de Matemáticas: T5.pdf

42 páginas

He publicado nuevos apuntes de 2º Ampliación de Matemáticas: T4.pdf

56 páginas

He publicado nuevos apuntes de 2º Ampliación de Matemáticas: T3.pdf

16 páginas
¡Estás al día!

¡Estás al día!

Has visto todos los archivos