Ampliación de Química Física

chevron_left
chevron_right
Todo
Apuntes
Ejercicios
Exámenes
Prácticas
chevron_left
chevron_right
Anónimo

@Anónimo

He publicado nuevos apuntes de 3º Ampliación de Química Física: espectroscopiarotacionalresumen.pdf

2 páginas

apuntes

-

sem 1 quifi resuelto

He publicado nuevos apuntes de 3º Ampliación de Química Física: sem 1 quifi resuelto

sem-1-quifi-resuelto.pdf
Anónimo

@Anónimo

apuntes

-

Cuestionarios resueltos

He publicado nuevos apuntes de 3º Ampliación de Química Física: Cuestionarios resueltos

Cuestiones-tema-1.pdf
Cuestiones-tema-2.pdf
Anónimo

@Anónimo

ejercicios

-

Seminarios resueltos

He publicado nuevos ejercicios de 3º Ampliación de Química Física: Seminarios resueltos

sem-1-resuelto.pdf
sem-3-quifi.pdf

apuntes

-

Ejercicios tipo examen

He publicado nuevos apuntes de 3º Ampliación de Química Física: Ejercicios tipo examen

Libro-Problemas-resueltos-de-Espectroscopia-Molecular.pdf
Ejercicios-Tema-2-3.pdf
Ejercicios-Tema-4.pdf
Ejercicios-Tema-5.pdf
Ejercicios-Tema-6.pdf
cuestiones-rmn.pdf

He publicado nuevos practicas de 3º Ampliación de Química Física: P3-Determinacion-de-la-CMC-del-SDS.pdf

4 páginas

He publicado nuevos practicas de 3º Ampliación de Química Física: P2-Determinacion-del-pKa-del-indicador.pdf

5 páginas

apuntes

-

Teoria Eulogia

He publicado nuevos apuntes de 3º Ampliación de Química Física: Teoria Eulogia

Tema-1.pdf
Tema-2.pdf
Tema-3.pdf
Tema-4.pdf
Tema-5.pdf
Tema-6.pdf

He publicado nuevos examenes de 3º Ampliación de Química Física: Ejercicios-de-examenes.pdf

8 páginas

apuntes

-

Preguntas exámenes

He publicado nuevos apuntes de 3º Ampliación de Química Física: Preguntas exámenes

preguntas-examen-2.pdf
Preguntas-examen.pdf
Preguntas-de-teoria-.pdf

apuntes

-

Seminarios

He publicado nuevos apuntes de 3º Ampliación de Química Física: Seminarios

Seminario-5.pdf
Seminario-6.pdf
Seminario-8.pdf
Seminario-4.pdf
Seminario-2.pdf
Seminario-3.pdf

apuntes

-

Ejercicios Seminarios 1 - 5

He publicado nuevos apuntes de 3º Ampliación de Química Física: Ejercicios Seminarios 1 - 5

Ejercicio-Tema-1.pdf
Ejercicio-Tema-3.pdf
Ejercicio-Tema-5.pdf
Ejercicio-Tema-2.pdf
Ejercicio-Tema-4.pdf
Anónimo

@Anónimo

apuntes

-

problemas examen QIFI ordenados

He publicado nuevos apuntes de 3º Ampliación de Química Física: problemas examen QIFI ordenados

problemas-examen-QIFI-ordenados.pdf

apuntes

-

Actividades teóricas

He publicado nuevos apuntes de 3º Ampliación de Química Física: Actividades teóricas

Actividad-2.pdf
Preguntas-tipicas-teoria-.pdf
Actividad-3-.pdf

ejercicios

-

Seminarios resueltos

He publicado nuevos ejercicios de 3º Ampliación de Química Física: Seminarios resueltos

Seminarios-T1-4.pdf
Seminarios-T7-9.pdf
Seminario-T5-7.pdf
Formulas-por-temas-.pdf

He publicado nuevos practicas de 3º Ampliación de Química Física: practica-electroquimica.pdf

7 páginas
Anónimo

@Anónimo

apuntes

-

PREGUNTAS DE TEORÍA DE EXÁMENES COMPLET

He publicado nuevos apuntes de 3º Ampliación de Química Física: PREGUNTAS DE TEORÍA DE EXÁMENES COMPLET

WhatsApp-Image-2018-06-23-at-16.pdf
Teoria-de-quifi.pdf
Anónimo

@Anónimo

apuntes

-

NECESARIO PARA LOS EXAMENES

He publicado nuevos apuntes de 3º Ampliación de Química Física: NECESARIO PARA LOS EXAMENES

formulario2013-14.pdf
Tabladeconstantesfisicas.pdf
Anónimo

@Anónimo

apuntes

-

Examenes 2020

He publicado nuevos apuntes de 3º Ampliación de Química Física: Examenes 2020

2020-07-09-AQFExaJun20-c2-v2-1.pdf
2020-06-18-AQFExaJun20-c1-v.pdf
2020-07-09-AQFExaJun20-c2-v2.pdf
Anónimo

@Anónimo

apuntes

-

Ejercicios de examen quifi TODOS

He publicado nuevos apuntes de 3º Ampliación de Química Física: Ejercicios de examen quifi TODOS

NUEVOEjercicios-de-examen-quifi.pdf

apuntes

-

AQF COMENTARIOS DIAPOSITIVAS TEORÍA

Se encuentran los COMENTARIOS A CADA UNA DE LAS DIAPOSITIVAS DE TEORÍA de Moodle correspondiente a algunos de los temas de la asignatura

AQF-TEMA-10-COMENTARIOS-ANP.pdf
AQF-TEMA-8-COMENTARIOS-ANP.pdf
AQF-TEMA-6-COMENTARIOS-ANP.pdf
AQF-TEMA-5-COMENTARIOS-ANP.pdf
AQF-TEMA-9-COMENTARIOS-ANP.pdf

apuntes

-

AQF TAREAS DE MOODLE RESUELTAS

Se encuentran RESUELTAS las ENTREGAS a realizar para las TAREAS PEDIDAS en los SEMINARIOS de la asignatura. Además, también están las ACTIVIDADES 1, 2 y 3 pedidas para la TEORÍA.

AQF-TAREA-LECCION-2.pdf
AQF-TAREA-LECCION-3.pdf
AQF-TAREA-LECCION-7.pdf
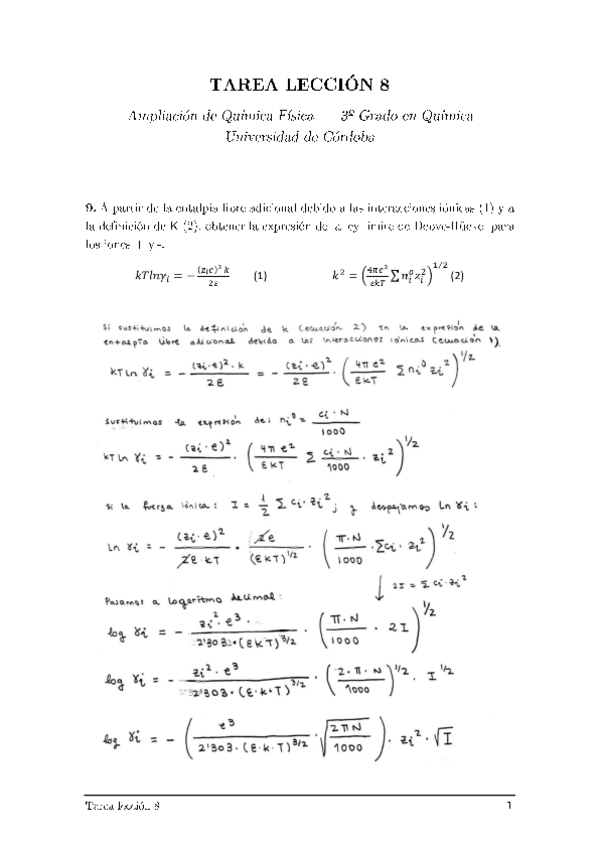
AQF-TAREA-LECCION-8.pdf
AQF-ACTIVIDAD-2-RESUELTA.pdf
AQF-ACTIVIDAD-1-RESUELTA.pdf

apuntes

-

AQF SEMINARIOS RESUELTOS

Se encuentran RESUELTOS los ejercicios correspondientes a los SEMINARIOS de cada uno de los TEMAS de la asignatura de AMPLIACIÓN DE QUÍMICA FÍSICA

Problemas-L5-resueltos.pdf
Problemas-L9-resueltos.pdf
Problemas-L7-resueltos-F.pdf
Problemas-L3-resueltos.pdf
Problemas-L1-resueltos-F.pdf
Problemas-L8-resueltos-F.pdf

EXAMEN FINAL de la asignatura de AMPLIACIÓN DE QUÍMICA FÍSICA correspondiente a la CONVOCATORIA DE OCTUBRE del curso académico 2019/2020

1 página

EXAMEN FINAL de la asignatura de AMPLIACIÓN DE QUÍMICA FÍSICA correspondiente a la CONVOCATORIA DE JULIO del curso académico 2019/2020

1 página

EXAMEN FINAL de la asignatura de AMPLIACIÓN DE QUÍMICA FÍSICA correspondiente a la CONVOCATORIA DE JUNIO del curso académico 2019/2020

1 página

ejercicios

-

Ejercicios AQF resueltos

He publicado nuevos ejercicios de 3º Ampliación de Química Física: Ejercicios AQF resueltos

P-L1-Sol.pdf
QFA-P2-Resueltos-1210.pdf
QFA-P3-Resueltos-12389.pdf
QFA-P4--Resueltos-12348.pdf
QFA-P5-Anexo.pdf
QFA-P6-Anexo.pdf
¡Estás al día!

¡Estás al día!

Has visto todos los archivos