chevron_left
chevron_right
Todo
Apuntes
Ejercicios
chevron_left
chevron_right

He publicado nuevos apuntes de 1º Ampliación de química I: tema-1-electrolitos.pdf

4 páginas

He publicado nuevos ejercicios de 1º Ampliación de química I: Volumetrias-redox.pdf

2 páginas

He publicado nuevos ejercicios de 1º Ampliación de química I: Precipitacion.pdf

2 páginas

He publicado nuevos ejercicios de 1º Ampliación de química I: Formacion-de-complejos.pdf

3 páginas

He publicado nuevos ejercicios de 1º Ampliación de química I: Gavimetria.pdf

1 página

He publicado nuevos ejercicios de 1º Ampliación de química I: Acido-Base.pdf

4 páginas

He publicado nuevos apuntes de 1º Ampliación de química I: Resumen-Quimica-Fisica.pdf

11 páginas

He publicado nuevos ejercicios de 1º Ampliación de química I: Teoria-para-resolver-ejercicios-QA.pdf

6 páginas

TODOS los EJERCICIOS de quimica analitica corregidos y con anotaciones

64 páginas

He publicado nuevos ejercicios de 1º Ampliación de química I: Problemas-de-volumetrias-de-formacion-de-complejos.pdf

3 páginas

He publicado nuevos ejercicios de 1º Ampliación de química I: Problemas-de-volumetrias-de-precipitacion.pdf

6 páginas

He publicado nuevos ejercicios de 1º Ampliación de química I: Problemas-de-volumetrias-acido-base.pdf

17 páginas

He publicado nuevos ejercicios de 1º Ampliación de química I: Problemas-de-gravimetrias.pdf

4 páginas

He publicado nuevos ejercicios de 1º Ampliación de química I: Problemas-quimica-analitica-resueltos.pdf

56 páginas

He publicado nuevos ejercicios de 1º Ampliación de química I: problemas-diagramas-de-fase-resueltos.pdf

16 páginas

He publicado nuevos ejercicios de 1º Ampliación de química I: problemas-electroquimica-resueltos.pdf

39 páginas

He publicado nuevos apuntes de 1º Ampliación de química I: 3.-Teoria-De-Debye-Huckle-apuntes.pdf

3 páginas

He publicado nuevos apuntes de 1º Ampliación de química I: 2.-ELECTROLISIS-apuntes.pdf

2 páginas

He publicado nuevos apuntes de 1º Ampliación de química I: 1.-ELECTROLITOS-apuntes.pdf

3 páginas

He publicado nuevos ejercicios de 1º Ampliación de química I: Ejes.-f2-f3.pdf

2 páginas

He publicado nuevos apuntes de 1º Ampliación de química I: Apuntes-y-Ejercicios-QUIMICA-FISICA.pdf

44 páginas

He publicado nuevos apuntes de 1º Ampliación de química I: WIN20240321131704Pro.jpg

Imagen

He publicado nuevos apuntes de 1º Ampliación de química I: problemas-resueltos-volumetrias-acido-base.pdf

6 páginas

He publicado nuevos ejercicios de 1º Ampliación de química I: Ejercicios-resueltos-volumetrias-redox.pdf

3 páginas

He publicado nuevos ejercicios de 1º Ampliación de química I: Ejercicios-resueltos-T7-Complexometrias.pdf

4 páginas

He publicado nuevos ejercicios de 1º Ampliación de química I: problemas-resueltos-volumetrias-precipitacion.pdf

3 páginas

He publicado nuevos ejercicios de 1º Ampliación de química I: problemas-resueltos-gravimetrias.pdf

3 páginas

He publicado nuevos apuntes de 1º Ampliación de química I: Resumen-Completo-Analitica.pdf

68 páginas

He publicado nuevos apuntes de 1º Ampliación de química I: problemas-bloque-1-electroquimica.pdf

10 páginas

He publicado nuevos apuntes de 1º Ampliación de química I: todo-lo-importante-bloque-3-QF.pdf

1 página

He publicado nuevos apuntes de 1º Ampliación de química I: todos-ejercicios-bloque-3-QF.pdf

3 páginas

He publicado nuevos apuntes de 1º Ampliación de química I: resumen-bloque-2-QF-diagramas.pdf

5 páginas

He publicado nuevos apuntes de 1º Ampliación de química I: Tema-5-Electroquimica-QF.pdf

4 páginas

He publicado nuevos apuntes de 1º Ampliación de química I: Tema-4-Electroquimica-QF.pdf

6 páginas

He publicado nuevos apuntes de 1º Ampliación de química I: Tema-2-y-3-Electroquimica-QF.pdf

Miniatura no disponible
pdf

apuntes

-

Química Física

He publicado nuevos apuntes de 1º Ampliación de química I: Química Física

Examenparcial-resolucion.pdf
Problemas-B2.pdf
Problemas-B3.pdf
Problemas-T1.pdf
Esquemas-de-Teoria-B1.pdf
Esquemas-de-Teoria-B2.pdf

apuntes

-

Química Analítica

He publicado nuevos apuntes de 1º Ampliación de química I: Química Analítica

Problemas-completos.pdf
Esquemas-de-Teoria.pdf

He publicado nuevos apuntes de 1º Ampliación de química I: Tema-1-Electroquimica-QF.pdf

6 páginas

He publicado nuevos apuntes de 1º Ampliación de química I: Ejercicios-Volumetrias-Redox-Analitica.pdf

3 páginas

He publicado nuevos apuntes de 1º Ampliación de química I: Ejercicios-volumetrias-Acido-Base-Analitica.pdf

16 páginas

He publicado nuevos apuntes de 1º Ampliación de química I: Ejercicios-Concentraciones-Analitica.pdf

2 páginas

He publicado nuevos apuntes de 1º Ampliación de química I: Ejercicios-Complexometria-Analitica.pdf

3 páginas

He publicado nuevos apuntes de 1º Ampliación de química I: Ejercicios-Gravimetria-Analitica.pdf

2 páginas

He publicado nuevos apuntes de 1º Ampliación de química I: Apuntes-Electroquimica.pdf

5 páginas

He publicado nuevos apuntes de 1º Ampliación de química I: Apuntes-Quimica-de-superficies.pdf

1 página

He publicado nuevos ejercicios de 1º Ampliación de química I: Ejercicios-bloque-3.pdf

5 páginas

He publicado nuevos ejercicios de 1º Ampliación de química I: Ejercicios-diagramas-de-fases.pdf

13 páginas

He publicado nuevos ejercicios de 1º Ampliación de química I: Ejercicios-electroquimica.pdf

5 páginas

He publicado nuevos ejercicios de 1º Ampliación de química I: EJERCICIOS-QUIMICA-ANALITICA.pdf

30 páginas

apuntes

-

Apuntes + ejercicios QF

He publicado nuevos apuntes de 1º Ampliación de química I: Apuntes + ejercicios QF

Apuntes-Bloque-I-QF.pdf
Resolucion-ejercicios-QF-Bloque-I-electroquimica.pdf
Apuntes--ejercicios-QF-Bloque-II-Diagramas-de-fases.pdf
Apuntes--ejercicios-QF-Bloque-III-Quimica-de-superficies.pdf

apuntes

-

Enunciados ejercicios QF

Enunciados de los ejercicios de QF (Electroquímica, diagramas de fases y quimica de superficies)

ProblemasElectroquimica.pdf
ProblemasDiagramasFases.pdf
ProblemasQuimicaSuperficies.pdf

He publicado nuevos apuntes de 1º Ampliación de química I: Resumen-QF.pdf

2 páginas

He publicado nuevos ejercicios de 1º Ampliación de química I: Ejercicios-Bloque-III-QF.pdf

4 páginas

He publicado nuevos apuntes de 1º Ampliación de química I: Resumen-QF.pdf

8 páginas

He publicado nuevos ejercicios de 1º Ampliación de química I: Ejercicios-Bloque-I-QF.pdf

18 páginas

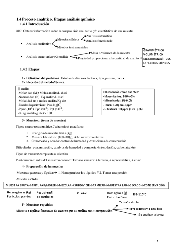
He publicado nuevos apuntes de 1º Ampliación de química I: Apuntes-de-teoria-Quimica-Analitica.pdf

21 páginas

Ejercicios resueltos de Química Analítica _ Curso 2023

31 páginas

He publicado nuevos apuntes de 1º Ampliación de química I: Apuntes-Quimica-Analitica.pdf

25 páginas

He publicado nuevos apuntes de 1º Ampliación de química I: formularioresolucion-problemas-quimica-analitica.pdf

10 páginas

He publicado nuevos ejercicios de 1º Ampliación de química I: TODOS-LOS-PROBLEMAS-DE-QUIMICA-ANALITICA.pdf

35 páginas