Todo
Apuntes
Ejercicios
Exámenes
Prácticas
chevron_left
chevron_right
Anónimo

@Anónimo

He publicado nuevos apuntes de 1º Ampliación de Química: Bloque-1-temario-y-ejercicios.pdf

21 páginas

He publicado nuevos practicas de 1º Ampliación de Química: Practica-10-Ampliacion-de-Quimica-2023-24.pdf

5 páginas

He publicado nuevos practicas de 1º Ampliación de Química: Practicas-8-y-9-Ampliacion-de-Quimica-2023-24.pdf

5 páginas

He publicado nuevos practicas de 1º Ampliación de Química: Practicas-6-y-7-Ampliacion-de-Quimica-2023-24.pdf

7 páginas

ejercicios

-

Ejercicios

He publicado nuevos ejercicios de 1º Ampliación de Química: Ejercicios

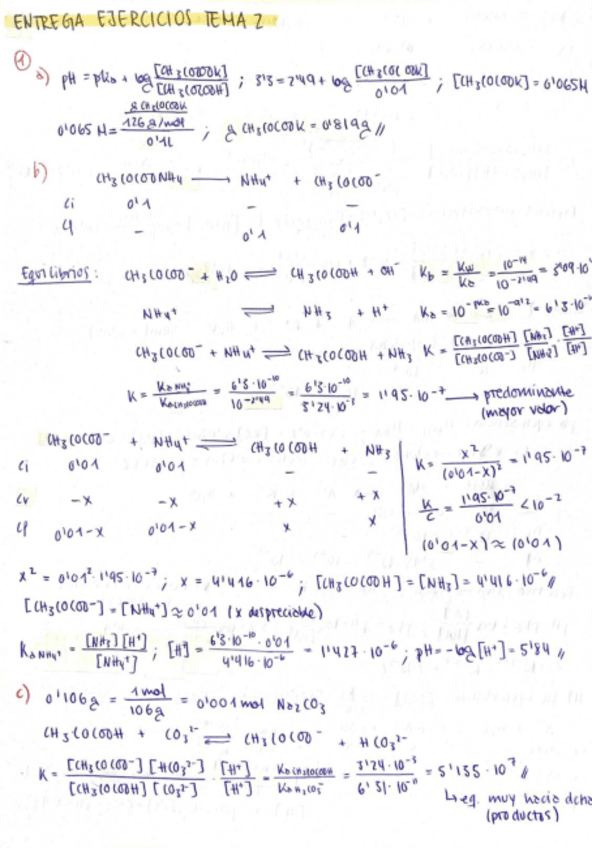
entrega-ejs-tema-2-ampli.pdf
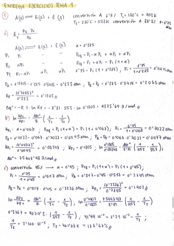
entrega-ampliacion-quimica-ejs-t1.pdf
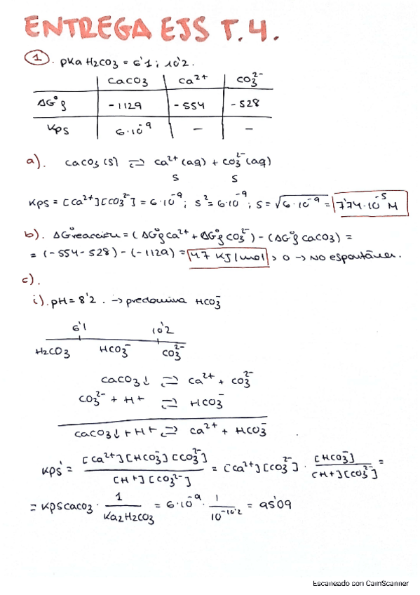
Entrega-ejs-tema-4-ampli.pdf
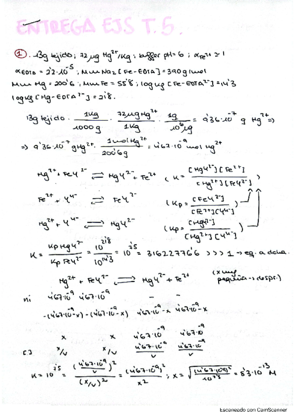
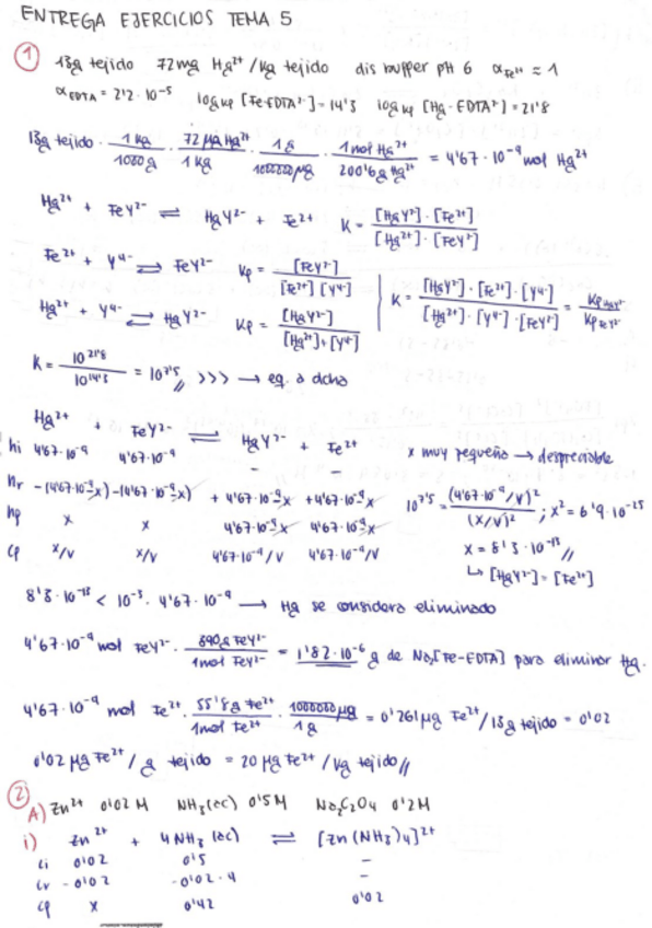
entrega-ejs-ampli-t5.pdf
entrega-t3.pdf
entrega-t6.pdf

apuntes

-

Formularios ampli

He publicado nuevos apuntes de 1º Ampliación de Química: Formularios ampli

formulario-termoquimica-elemental.pdf
formulario-eq-acido-base.pdf
formulario-redox.pdf
formulario-precipitacion.pdf
formulario-complejos-y-ejercicio.pdf
formulario-coligativas-y-ejercicio.pdf

apuntes

-

APUNTES - AMPLIACIÓN DE QUÍMICA

He publicado nuevos apuntes de 1º Ampliación de Química: APUNTES - AMPLIACIÓN DE QUÍMICA

APUNTES-1a-PARTE-AMPLI.pdf
APUNTES-2a-PARTE-AMPLI.pdf

He publicado nuevos apuntes de 1º Ampliación de Química: RESUMEN-Ampli.pdf

8 páginas

He publicado nuevos ejercicios de 1º Ampliación de Química: Ejercicios-para-entregar-3.pdf

5 páginas

He publicado nuevos apuntes de 1º Ampliación de Química: Ecuaciones-primer-parcial.pdf

1 página

He publicado nuevos ejercicios de 1º Ampliación de Química: Ejercicios-para-entregar-2.pdf

7 páginas

He publicado nuevos ejercicios de 1º Ampliación de Química: Ejercicios-para-entregar-1.pdf

4 páginas

practicas

-

Prácticas ampli

He publicado nuevos practicas de 1º Ampliación de Química: Prácticas ampli

PRACTICA-1-Y-2-QUIMICA.pdf
Miniatura no disponible
PRACTICAS-6-y-7-Ox-Red-AcidoAscorbico-Valora-FeII.pdf
PRACTICA-8-Y-9.pdf
PRACTICA3-4-5.pdf

ejercicios

-

EJERCICIOS AMPLI 2 PARCIAL

He publicado nuevos ejercicios de 1º Ampliación de Química: EJERCICIOS AMPLI 2 PARCIAL

EJERCICIOS-TEMA-4.pdf
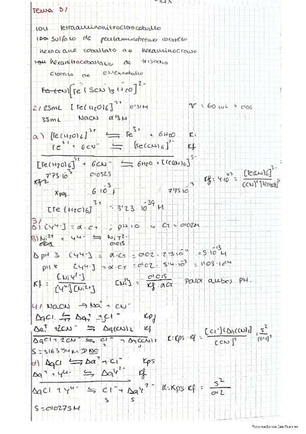
EJES-TEMA-5.pdf
EJES-TEMA-6.pdf
EJES-TEMA-7.pdf

He publicado nuevos ejercicios de 1º Ampliación de Química: SOLUCIONES-EJERCICIOS-TEMA-7.pdf

3 páginas

He publicado nuevos apuntes de 1º Ampliación de Química: TEMA-6-PROPIEDADES-COLIGATIVAS.pdf

1 página

He publicado nuevos apuntes de 1º Ampliación de Química: TEMA-5-COMPLEJOS.pdf

2 páginas

He publicado nuevos ejercicios de 1º Ampliación de Química: SOLUCIONES-EJERCICIOS-TEMA-3.pdf

8 páginas

He publicado nuevos apuntes de 1º Ampliación de Química: TEMA-3-REDOX.pdf

2 páginas

He publicado nuevos ejercicios de 1º Ampliación de Química: SOLUCIONES-EJERCICIOS-TEMA-5.pdf

5 páginas

He publicado nuevos ejercicios de 1º Ampliación de Química: SOLUCIONES-EJERCICIOS-TEMA-4.pdf

4 páginas

He publicado nuevos ejercicios de 1º Ampliación de Química: SOLUCIONES-EJERCICIOS-TEMA-2.pdf

9 páginas

practicas

-

PRÁCTICAS 2022-2023

He publicado nuevos practicas de 1º Ampliación de Química: PRÁCTICAS 2022-2023

Practicas1y2.pdf
Practicas34y5.pdf
Practicas6y7.pdf
Practicas8y9.pdf
Practica10.pdf

He publicado nuevos apuntes de 1º Ampliación de Química: TEMA-2-ACIDOBASE.pdf

3 páginas

He publicado nuevos apuntes de 1º Ampliación de Química: ESQUEMA-TEMA-1-TERMODINAMICA.pdf

3 páginas

He publicado nuevos ejercicios de 1º Ampliación de Química: SOLUCIONES-EJERCICIOS-TEMA-1.pdf

6 páginas

ejercicios

-

ENTREGAS AMPLI QUÍMICA

He publicado nuevos ejercicios de 1º Ampliación de Química: ENTREGAS AMPLI QUÍMICA

entrega-ejercicios-tema-2.pdf
entrega-ejercicios-tema-5.pdf
entrega-ejercicios-tema-6.pdf
entrega-ejercicios-tema-1.pdf

practicas

-

PRÁCTICAS AMPLI QUÍMICA

He publicado nuevos practicas de 1º Ampliación de Química: PRÁCTICAS AMPLI QUÍMICA

PRACTICAS-1-2.pdf
PRACTICAS-3-4-5.pdf
PRACTICAS-6-7.pdf
PRACTICAS-8-9.pdf
PRACTICA-10.pdf

apuntes

-

APUNTES AMPLI

He publicado nuevos apuntes de 1º Ampliación de Química: APUNTES AMPLI

TEMA-1-AMPLI.pdf
TEMA-2-AMPLI.pdf
TEMA-3-AMPLI.pdf
TEMA-4-AMPLI.pdf
TEMA-5-AMPLI.pdf
TEMA-6-AMPLI.pdf

ejercicios

-

Entregas

He publicado nuevos ejercicios de 1º Ampliación de Química: Entregas

Entrega-5.pdf
Entrega-6.pdf
Entrega-4.pdf
Entrega-3.pdf
Entrega-2.pdf
Entrega-1.pdf

practicas

-

Prácticas

He publicado nuevos practicas de 1º Ampliación de Química: Prácticas

Practica-10.pdf
Practicas-8-y-9.pdf
Practicas-6-y-7.pdf
Practicas-3-4-y-5.pdf
Practicas-1-y-2.pdf

apuntes

-

2 parcial (apuntes+ejercicios)

He publicado nuevos apuntes de 1º Ampliación de Química: 2 parcial (apuntes+ejercicios)

Tema-5.pdf
Repaso-examen.pdf
Tema-4.pdf
Tema-6.pdf
Tema-7.pdf

apuntes

-

1 parcial (apuntes+ejercicios)

He publicado nuevos apuntes de 1º Ampliación de Química: 1 parcial (apuntes+ejercicios)

Tema-3.pdf
Tema-2.pdf
Tema-1.pdf

practicas

-

PRÁCTICAS AMPLI 2023

He publicado nuevos practicas de 1º Ampliación de Química: PRÁCTICAS AMPLI 2023

SESION-1.pdf
Sesion-III.pdf
SESION-II.pdf
SESION-IV.pdf
SESION-V.pdf

practicas

-

PRÁCTICAS AMPLI

He publicado nuevos practicas de 1º Ampliación de Química: PRÁCTICAS AMPLI

PRACTICAS-1-Y-2.pdf
PRACTICAS-3-4-Y-5.pdf
PRACTICAS-6-Y-7.pdf
PRACTICAS-8-Y-9.pdf
PRACTICA-10-SESION-V.pdf
Anónimo

@Anónimo

He publicado nuevos examenes de 1º Ampliación de Química: PrimerParcial-2022.pdf

7 páginas

practicas

-

Practicas 2021-2022

He publicado nuevos practicas de 1º Ampliación de Química: Practicas 2021-2022

practica-1.xlsx
practica-2.docx
PreguntasPractica-10-2022.docx
Libro1.xlsx
practica-1-de-quimica.docx
practica-de-quimica-2.xlsx

apuntes

-

APUNTES AMPLI BUENOS ÚTILES

He publicado nuevos apuntes de 1º Ampliación de Química: APUNTES AMPLI BUENOS ÚTILES

APUNTES-TEMA-5-COMPLEJOS.pdf
APUNTES-TEMA-3-REDOX.pdf
APUNTES-TEMA-4-SOLUBILIDAD.pdf
APUNTES-TEMA-2-ACIDO-BASE.pdf
APUNTES-TEMA-1-TERMOQUIMICA.pdf

apuntes

-

Apuntes Teoría Ampliación de Química

He publicado nuevos apuntes de 1º Ampliación de Química: Apuntes Teoría Ampliación de Química

Tema-1-Termodinamica.pdf
Tema-6-Propiedades-coligativas.pdf
Tema-2.pdf
Tema-5-Equilibrios-de-formacion-de-complejos.pdf
Tema-2.pdf
Tema-8-Sistemas-coloidales.pdf

apuntes

-

ejercicios y apuntes

He publicado nuevos apuntes de 1º Ampliación de Química: ejercicios y apuntes

Apuntes-tema-4-precipitacion.pdf
Acido-BaseC-E.pdf

practicas

-

Prácticas ampli corregidas 2020

He publicado nuevos practicas de 1º Ampliación de Química: Prácticas ampli corregidas 2020

Practicas 1 y 2 ampliacion de quimica
Practicas 3 y 4 ampliacion de quimica
Practicas 8 y 9 ampliacion de quimica
Practicas 5 6 y 7 ampliacion de quimica
Practica 10 ampliacion de quimica

He publicado nuevos practicas de 1º Ampliación de Química: PRACTICA-3-y-4-resuelta.pdf

14 páginas

practicas

-

Prácticas Ampli 2019-2020

He publicado nuevos practicas de 1º Ampliación de Química: Prácticas Ampli 2019-2020

SesionV.pdf
SesionIV.pdf
Practicas-5-6-y-7.pdf

practicas

-

Prácticas ampli

He publicado nuevos practicas de 1º Ampliación de Química: Prácticas ampli

Practicas-1-y-2.pdf
Practicas-5-6-y-7.pdf
Practica-8-y-9.pdf
Practica-10.pdf

He publicado nuevos apuntes de 1º Ampliación de Química: Enunciados-ProblemasCOMPLEMENTARIOSTema4Equilibrios-de-Precipitacion2020b3fa4f51eda35c8fe499807d577baba5.pdf

7 páginas

ejercicios

-

Ejercicios para entregar

He publicado nuevos ejercicios de 1º Ampliación de Química: Ejercicios para entregar

Tema-2.pdf
Tema-3.pdf
Tema-4.pdf

He publicado nuevos apuntes de 1º Ampliación de Química: Ejercicios-redox-.pdf

8 páginas

He publicado nuevos apuntes de 1º Ampliación de Química: Diagramas-acido-base-explicados.pdf

1 página

apuntes

-

Apuntes Ampli

He publicado nuevos apuntes de 1º Ampliación de Química: Apuntes Ampli

Apuntes-Ampli-T1.pdf

He publicado nuevos apuntes de 1º Ampliación de Química: Tema-1-termoquimica-formulario.pdf

1 página

He publicado nuevos apuntes de 1º Ampliación de Química: TEMA-1.pdf

15 páginas

He publicado nuevos apuntes de 1º Ampliación de Química: Tema 5. AMPLIACIÓN Química.docx

word

ejercicios

-

Ejercicioss resueltos T3

He publicado nuevos ejercicios de 1º Ampliación de Química: Ejercicioss resueltos T3

problemasprecipitacion2017.pdf
jpg2pdf.pdf

He publicado nuevos apuntes de 1º Ampliación de Química: termo.pdf

5 páginas

He publicado nuevos apuntes de 1º Ampliación de Química: precip.pdf

4 páginas

He publicado nuevos ejercicios de 1º Ampliación de Química: EjsQuimorgánica.pdf

20 páginas

He publicado nuevos apuntes de 1º Ampliación de Química: acidobase.pdf

6 páginas

ejercicios

-

Ejercicios resueltos T4

He publicado nuevos ejercicios de 1º Ampliación de Química: Ejercicios resueltos T4

EjsT4.pdf

He publicado nuevos apuntes de 1º Ampliación de Química: Prácticas.pdf

2 páginas

He publicado nuevos ejercicios de 1º Ampliación de Química: Ejs varios.pdf

9 páginas