Ampliación de Señales y Sistemas

chevron_left
chevron_right
Todo
Apuntes
Ejercicios
Exámenes
Prácticas
publication
chevron_left
chevron_right

He publicado nuevos examenes de 2º Ampliación de Señales y Sistemas: ParcialTema4ModeloA2425.pdf

2 páginas

He publicado nuevos examenes de 2º Ampliación de Señales y Sistemas: ParcialTema2ModeloA2526.pdf

2 páginas

He publicado nuevos examenes de 2º Ampliación de Señales y Sistemas: ASyS-FinalExtraOrdinario2425.pdf

7 páginas

Ejercicios de exámenes parciales y finales relacionados con la TZ

5 páginas

Exámenes finales (enero y junio) resueltos

18 páginas

Ejercicios Transformada Z

12 páginas

He publicado nuevos examenes de 2º Ampliación de Señales y Sistemas: Parcial-2-2025.pdf

4 páginas

Ejercicios resueltos tema 3 de muestreo de ASS junto a algun ejercicio de examen tambien resuelto

48 páginas

Ejercicios resueltos convolución circular, DFT

9 páginas

Parciales resueltos muestreo

5 páginas

Ejercicios resueltos muestreo de señales

11 páginas

He publicado nuevos examenes de 2º Ampliación de Señales y Sistemas: ParcialesTema2ModelosAB2223resuelto.pdf

4 páginas

He publicado nuevos examenes de 2º Ampliación de Señales y Sistemas: ParcialTema2ModeloA1920resuelto.pdf

2 páginas

He publicado nuevos examenes de 2º Ampliación de Señales y Sistemas: ParcialTema2ModeloA2324resuelto.pdf

2 páginas

He publicado nuevos examenes de 2º Ampliación de Señales y Sistemas: parciales1-resueltos-2015-22.pdf

6 páginas

He publicado nuevos ejercicios de 2º Ampliación de Señales y Sistemas: Ejercicios-resueltos-tema-2.pdf

11 páginas

He publicado nuevos ejercicios de 2º Ampliación de Señales y Sistemas: Ejercicios-resueltos-tema-1.pdf

8 páginas

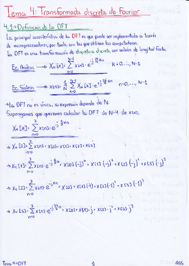
He publicado nuevos apuntes de 2º Ampliación de Señales y Sistemas: DFT.pdf

25 páginas

He publicado nuevos apuntes de 2º Ampliación de Señales y Sistemas: apuntes-tema-5.pdf

6 páginas

He publicado nuevos apuntes de 2º Ampliación de Señales y Sistemas: apuntes-tema-4.pdf

7 páginas

He publicado nuevos apuntes de 2º Ampliación de Señales y Sistemas: apuntes-tema-3.pdf

8 páginas

He publicado nuevos apuntes de 2º Ampliación de Señales y Sistemas: apuntes-tema-2.pdf

8 páginas

He publicado nuevos apuntes de 2º Ampliación de Señales y Sistemas: Apuntes-ASS.pdf

43 páginas

He publicado nuevos apuntes de 2º Ampliación de Señales y Sistemas: ResumenTema2Ass.pdf

3 páginas

He publicado nuevos apuntes de 2º Ampliación de Señales y Sistemas: ResumenTema1Ass.pdf

2 páginas

He publicado nuevos apuntes de 2º Ampliación de Señales y Sistemas: FormularioParcial1Ass.pdf

2 páginas

He publicado nuevos apuntes de 2º Ampliación de Señales y Sistemas: apuntestema2.pdf

27 páginas

He publicado nuevos apuntes de 2º Ampliación de Señales y Sistemas: apuntestema1.pdf

30 páginas

He publicado nuevos apuntes de 2º Ampliación de Señales y Sistemas: Formularios-Repaso.pdf

6 páginas

He publicado nuevos ejercicios de 2º Ampliación de Señales y Sistemas: Ejercicio-evaluable-2.pdf

1 página

He publicado nuevos ejercicios de 2º Ampliación de Señales y Sistemas: Ejercicio-evaluable-1.pdf

1 página

He publicado nuevos apuntes de 2º Ampliación de Señales y Sistemas: FormularioFinalASS.pdf

15 páginas

examenes

-

Examen Enero 2023

Enunciado y Solución

Examen-Enero-2023-ASS-Soluciones.pdf
Final-Enero-2023-Enunciado.pdf

He publicado nuevos examenes de 2º Ampliación de Señales y Sistemas: Examen-Enero-2021-ASS.pdf

4 páginas

He publicado nuevos apuntes de 2º Ampliación de Señales y Sistemas: Parcial-3-ASS-2023-DFT.pdf

2 páginas

He publicado nuevos examenes de 2º Ampliación de Señales y Sistemas: Parcial-2-ASS-2023-Muestreo-A.pdf

3 páginas

He publicado nuevos examenes de 2º Ampliación de Señales y Sistemas: Parcial3Diciembre23Asolucion.pdf

3 páginas

He publicado nuevos apuntes de 2º Ampliación de Señales y Sistemas: T5-Transformada-Z.pdf

5 páginas

practicas

-

Práctica_3_filters

Ejercicios explicados, con código de Matlab

Practica3ASyS.pdf
Miniatura no disponible
Practica3alumnos.mlx.mlx
Miniatura no disponible
Introduccionfiltrosdigitalesasucio.mlx.mlx

practicas

-

Práctica_2_DFTs

Ejercicios explicados, formato Matlab

Miniatura no disponible
RelacionDFTconTFmuestreada.mlx.mlx
Miniatura no disponible
Practica2DFT.mlx.mlx
Miniatura no disponible
Ejercicio1.mlx.mlx
Miniatura no disponible
Ejercicio2.mlx.mlx
Miniatura no disponible
Ejercicio3.mlx.mlx
Miniatura no disponible
Ejercicio4.mlx.mlx

practicas

-

Práctica_1b_systems

Ejercicios explicados

Miniatura no disponible
Practica1bsystems.mlx.mlx
Miniatura no disponible
ejercicio1.mlx.mlx
Miniatura no disponible
ejercicio2.mlx.mlx
Miniatura no disponible
ejercicio3.mlx.mlx

practicas

-

Práctica_1a_signals

Práctica 1a explicada

Miniatura no disponible
Practica1asignals.mlx.mlx
Miniatura no disponible
sinus.m.m
Miniatura no disponible
delta.m.m
Miniatura no disponible
expon.m.m
Miniatura no disponible
ejercicio1.mlx.mlx
Miniatura no disponible
ejercicio2.mlx.mlx

He publicado nuevos ejercicios de 2º Ampliación de Señales y Sistemas: TEMAS 1 Y 2.pdf

19 páginas

He publicado nuevos apuntes de 2º Ampliación de Señales y Sistemas: Resumen-Tm3-ASS.pdf

6 páginas

El mejor resumen para Parcial 1

4 páginas

He publicado nuevos apuntes de 2º Ampliación de Señales y Sistemas: T4-Discret-Fourier-Transform-DFT.pdf

5 páginas

He publicado nuevos examenes de 2º Ampliación de Señales y Sistemas: EnunciadosParcial22324ASS.pdf

4 páginas

He publicado nuevos ejercicios de 2º Ampliación de Señales y Sistemas: Tema2EjerciciosASS.pdf

Miniatura no disponible
pdf

He publicado nuevos ejercicios de 2º Ampliación de Señales y Sistemas: Tema3EjerciciosASS.pdf

Miniatura no disponible
pdf

He publicado nuevos ejercicios de 2º Ampliación de Señales y Sistemas: Tema1EjerciciosASS.pdf

9 páginas

He publicado nuevos examenes de 2º Ampliación de Señales y Sistemas: ParcialTema2ModeloA2324Corregido.pdf

2 páginas

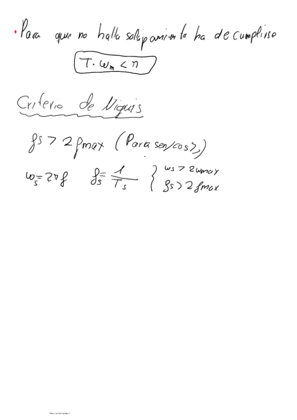
He publicado nuevos apuntes de 2º Ampliación de Señales y Sistemas: T3-Muestreo.pdf

8 páginas

He publicado nuevos apuntes de 2º Ampliación de Señales y Sistemas: T2-Senales-y-Sistemas-en-el-dominio-de-la-frecuencia.pdf

5 páginas

He publicado nuevos apuntes de 2º Ampliación de Señales y Sistemas: T1-Senales-y-Sistemas-discretos-en-el-dominio-del-tiempo.pdf

4 páginas

examenes

-

ASS-EXAMENES_2

He publicado nuevos examenes de 2º Ampliación de Señales y Sistemas: ASS-EXAMENES_2

SolucionExamenASSEne15.pdf
FinalDic15.pdf
FinalASSDic14.pdf
FinalJunio16.pdf
SolucionExamenASSDic15.pdf
ASySjun2016sols.pdf

examenes

-

ASS-EXAMENES

He publicado nuevos examenes de 2º Ampliación de Señales y Sistemas: ASS-EXAMENES

ASyS-Junio23-Final-completoDefinitivo.pdf
ASyS-Junio23-Ejercicios-completo.pdf
ASyS-Junio23-Parciales-completo.pdf
SolEjerciciosJunio23.pdf
SolParcialC1-C2-C3Junio23.pdf
SolFinalP1-P2Junio23.pdf

Estas demostraciones NO han sido supervisadas por un profesor.

3 páginas

He publicado nuevos ejercicios de 2º Ampliación de Señales y Sistemas: EjerciciosyExamenesASSMTB.pdf

82 páginas

He publicado nuevos apuntes de 2º Ampliación de Señales y Sistemas: Tema-6-ASS.pdf

8 páginas

He publicado nuevos apuntes de 2º Ampliación de Señales y Sistemas: Tema-3-ASS.pdf

26 páginas