Analisis Complejo

chevron_left
chevron_right
Todo
Apuntes
Ejercicios
Exámenes
chevron_left
chevron_right

He publicado nuevos examenes de 3º Analisis Complejo: Examenes-analisis-complejo.pdf

14 páginas

He publicado nuevos ejercicios de 3º Analisis Complejo: Ejercicios-analisis-complejo.pdf

37 páginas

He publicado nuevos apuntes de 3º Analisis Complejo: Resumen-analisis-complejo.pdf

21 páginas

apuntes

-

Apuntes

He publicado nuevos apuntes de 3º Analisis Complejo: Apuntes

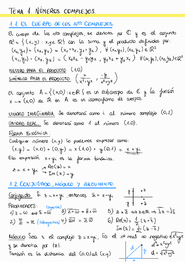
Tema-1.-Numeros-Complejos.pdf
Tema-2.-Funciones-Complejas-De-Variable-Compleja.pdf
Tema-3.-Funciones-Elementales-Complejas.pdf
Tema-4.-Integracion-Compleja.pdf
Tema-5.-Aplicaciones-Del-Teorema-De-Cauchy-Local.pdf
Tema-6.-Singularidades.-Principio-Del-Argumento.pdf

ejercicios

-

Ejercicios

He publicado nuevos ejercicios de 3º Analisis Complejo: Ejercicios

Relacion-9.-Integral-Curvilinea.pdf
Relacion-5.-Derivabilidad-Funciones-Holomorfas.pdf
Relacion-3.-Topologia-Sucesiones-Y-Series-De-Numeros-Complejos.pdf
Relacion-17.-Principio-Del-Argumento.pdf
Relacion-15.-Desarrollo-En-Serie-De-Laurent.pdf
Relacion-2.-Raices-De-Numeros-Complejos.pdf

examenes

-

Exámenes

He publicado nuevos examenes de 3º Analisis Complejo: Exámenes

Parcial-28-10-2025.pdf
Parcial-Resuelto.pdf
Parcial-15-12-25.pdf
Ordinaria-08-01-2026.pdf

apuntes

-

Resumenes

He publicado nuevos apuntes de 3º Analisis Complejo: Resumenes

Tema-2-Funciones-Holomorfas.pdf

He publicado nuevos examenes de 3º Analisis Complejo: SolucionesOrdinaria.pdf

6 páginas

He publicado nuevos examenes de 3º Analisis Complejo: SolucionesExtraordinaria.pdf

7 páginas

He publicado nuevos examenes de 3º Analisis Complejo: Ordinaria2025.pdf

1 página

He publicado nuevos examenes de 3º Analisis Complejo: Extraordinaria2025.pdf

1 página

He publicado nuevos apuntes de 3º Analisis Complejo: Convocatoria-extraordinaria-2024.pdf

2 páginas

He publicado nuevos examenes de 3º Analisis Complejo: Convocatoria-noviembre2024.pdf

3 páginas

apuntes

-

RESUMENES (muy curiosos)

He publicado nuevos apuntes de 3º Analisis Complejo: RESUMENES (muy curiosos)

Resumen-Tema5.pdf
Resumen-Tema6.pdf
Resumen-Tema7.pdf
Resumen-Tema8.pdf

ejercicios

-

EJ TEMAS 2-8 ANALISIS COMPLEJO

He publicado nuevos ejercicios de 3º Analisis Complejo: EJ TEMAS 2-8 ANALISIS COMPLEJO

Tema-2-AC.pdf
Tema-3-AC.pdf
Miniatura no disponible
Tema-4-AC.pdf
Tema-5-AC.pdf
Tema-6-AC.pdf
Tema-7-AC.pdf

apuntes

-

Resúmenes

He publicado nuevos apuntes de 3º Analisis Complejo: Resúmenes

Resumen-T2.pdf
Resumen-T1.pdf
Resumen-T5.pdf
Resumen-T6.pdf
Resumen-T3.pdf
Resumen-T7.pdf

apuntes

-

Exámenes

He publicado nuevos apuntes de 3º Analisis Complejo: Exámenes

algunos-examenes.pdf

apuntes

-

Apuntes de Clase

Alexis nos dio la asignatura sin apuntes. Esto es lo que copié en clase, lo subo por si hay alguna demo o ejercicio de interés (también subiré resúmenes que hice después en otra carpeta).

Apuntes-tema-5.pdf
Apuntes-tema-2.pdf
Apuntes-tema-6.pdf
Apuntes-tema-1.pdf
Apuntes-tema-3.pdf
Apuntes-Tema-4.pdf

He publicado nuevos apuntes de 3º Analisis Complejo: ejemplos-resueltos-tema-1.pdf

10 páginas

He publicado nuevos apuntes de 3º Analisis Complejo: resumen-tema-1.pdf

6 páginas

He publicado nuevos apuntes de 3º Analisis Complejo: Esquema-asignatura.pdf

4 páginas

ejercicios

-

Ejercicios

He publicado nuevos ejercicios de 3º Analisis Complejo: Ejercicios

Ejercicios-Tema-3-Complejo.pdf
Ejercicios-Tema-4-Complejo.pdf
EjerciciosTema6Complejo.pdf
EjerciciosTema5Complejo.pdf
Ejercicios-Tema-7-Complejo.pdf
Algunos-ejercicios-resueltos-Tema-8.pdf

He publicado nuevos apuntes de 3º Analisis Complejo: APUNTES-COMPLEJO-Y-PARCIAL-RESUELTO.pdf

36 páginas

He publicado nuevos ejercicios de 3º Analisis Complejo: TODOS-LOS-EJERCICIOS-DE-COMPLEJO.pdf

42 páginas

He publicado nuevos ejercicios de 3º Analisis Complejo: Algunos-enunciados-de-ejercicios-AC-T1-al-T8.pdf

9 páginas

He publicado nuevos apuntes de 3º Analisis Complejo: Resumen-Complejo.pdf

39 páginas

He publicado nuevos apuntes de 3º Analisis Complejo: Ejercicios-Examenes.pdf

30 páginas

apuntes

-

Apuntes

Los del profesor están mucho mejor y más completos. Esto es un pequeño resumen de lo más importante

Apuntes-Tema-2-AC.pdf
Tema-1-numeros-complejos221123162443.pdf
Apuntes-Tema-3-AC.pdf
Tema-6-Singularidades-Ta-Residuos.pdf
Tema-4-Teorema-de-Cauchy-Local230102191435.pdf
Tema-5-Aplicaciones-del-teorema-de-Cauchy-Local230102191421.pdf

apuntes

-

Exámenes resueltos

He publicado nuevos apuntes de 3º Analisis Complejo: Exámenes resueltos

Septiembre-2019230207141843.pdf
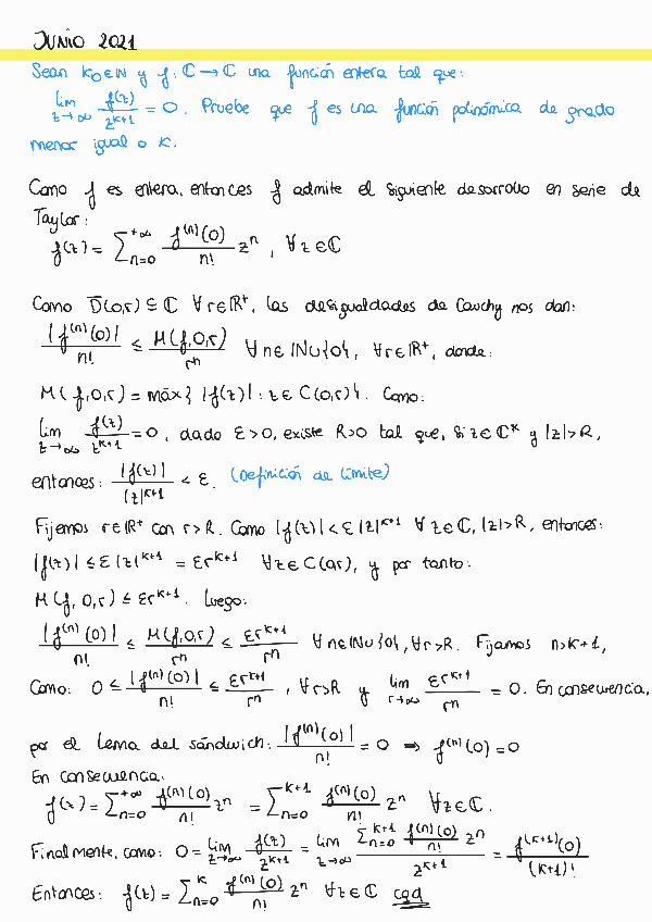
Junio-2021230207142438.pdf
Enero-2022230207142557.pdf
Febrero-2019230207141716.pdf
Febrero-2020230207142001.pdf
Septiembre-2020230207142245.pdf

He publicado nuevos apuntes de 3º Analisis Complejo: AC-Examen-Final-4-febrero-2020.pdf

1 página

He publicado nuevos apuntes de 3º Analisis Complejo: AC-Examen-Final-20-enero-2021-con-soluciones.pdf

5 páginas

He publicado nuevos apuntes de 3º Analisis Complejo: AC-Examen-Final-20-enero-2023-con-soluciones.pdf

6 páginas

He publicado nuevos apuntes de 3º Analisis Complejo: AC-Examen-Final-21-junio-2021-con-soluciones.pdf

6 páginas
Anónimo

@Anónimo

apuntes

-

Teoría para Examen

He publicado nuevos apuntes de 3º Analisis Complejo: Teoría para Examen

ResumenAC.pdf
Anónimo

@Anónimo

ejercicios

-

Ejercicios Preparación Final

Problemas tipo que caen en los exámenes

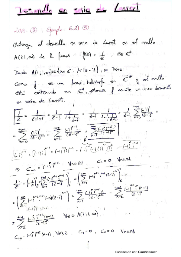
DesarrolloLaurentAC.pdf
FuncionesEnterasAC.pdf
IntegracionAC.pdf
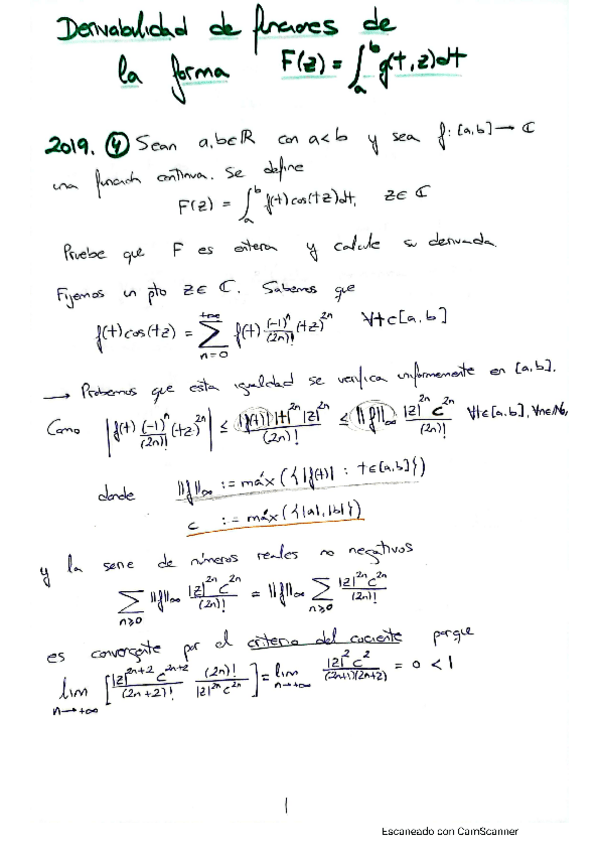
DerivabilidadAC.pdf

He publicado nuevos apuntes de 3º Analisis Complejo: Complejo.pdf

2 páginas
¡Estás al día!

¡Estás al día!

Has visto todos los archivos