chevron_left
chevron_right
Todo
Apuntes
Ejercicios
Exámenes
Otros
Prácticas
chevron_left
chevron_right

He publicado nuevos apuntes de 1º Análisis de Circuitos: Resolucion-General-Ejercicios-Tema-3-AC.pdf

1 página

Resueltos en clase

4 páginas

He publicado nuevos apuntes de 1º Análisis de Circuitos: Apuntes-Tema-1-Analisis-de-Circuitos.pdf

35 páginas

He publicado nuevos apuntes de 1º Análisis de Circuitos: Resolucion-circuitos-RC-Tema-2.pdf

1 página

He publicado nuevos apuntes de 1º Análisis de Circuitos: Segundo-Parcial AC-mayo-2025.pdf

6 páginas

He publicado nuevos examenes de 1º Análisis de Circuitos: Primer-Parcial AC (7 abril 2025).pdf

8 páginas

He publicado nuevos practicas de 1º Análisis de Circuitos: Practica-8-Laboratorio.pdf

5 páginas

He publicado nuevos practicas de 1º Análisis de Circuitos: Practica-7-Laboratorio.pdf

7 páginas

He publicado nuevos ejercicios de 1º Análisis de Circuitos: Ejercicios-Resueltos-T.4-Relacion-IV.pdf

28 páginas

He publicado nuevos practicas de 1º Análisis de Circuitos: Practica-6-Laboratorio.pdf

4 páginas

He publicado nuevos practicas de 1º Análisis de Circuitos: Practica-5-Laboratorio.pdf

5 páginas

He publicado nuevos practicas de 1º Análisis de Circuitos: Practica-4-Laboratorio.pdf

6 páginas

He publicado nuevos practicas de 1º Análisis de Circuitos: Practica-3-Laboratorio.pdf

3 páginas

He publicado nuevos practicas de 1º Análisis de Circuitos: Practica-2-Laboratorio.pdf

2 páginas

He publicado nuevos practicas de 1º Análisis de Circuitos: Practica-1-Laboratorio.pdf

2 páginas

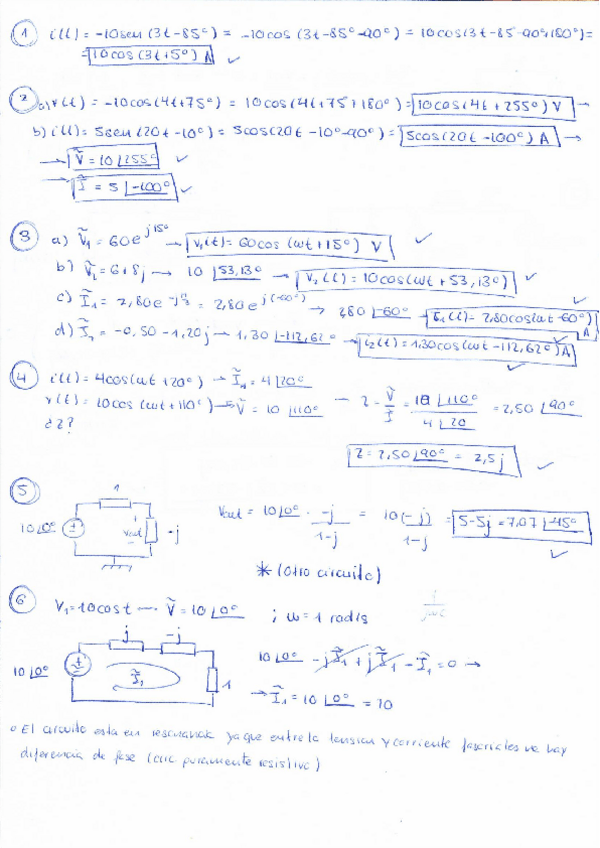
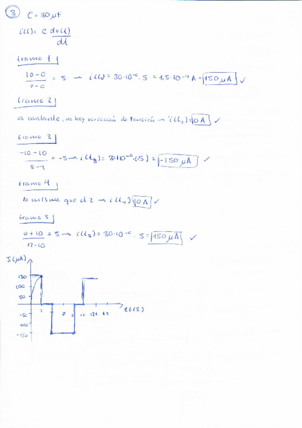
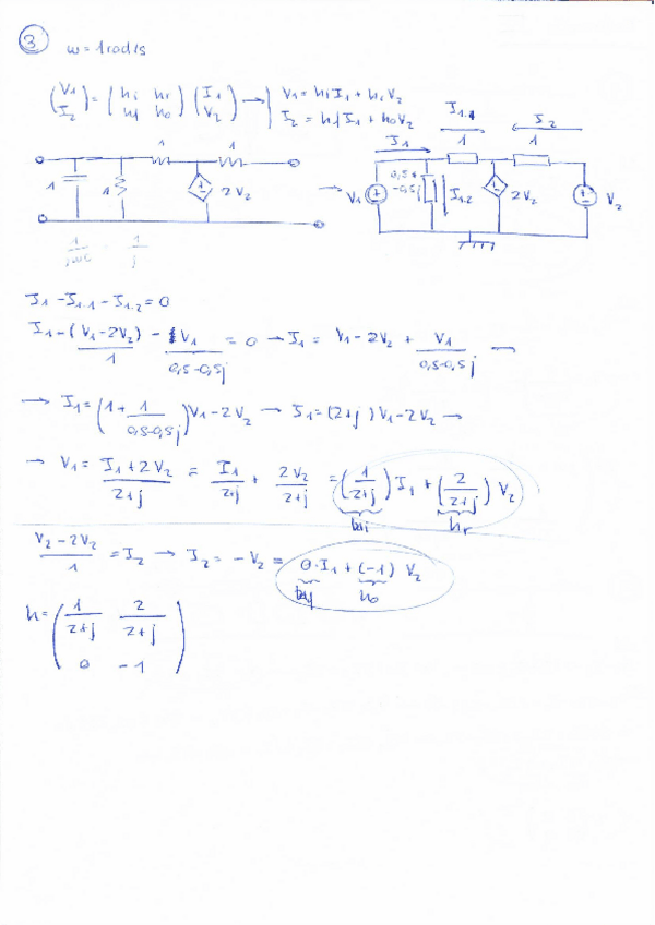
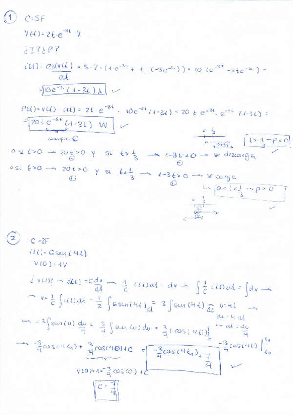
Corrección Ej 30: Por el condensador no pasa corriente. En el divisor de tensión para sacar V(B) no es 20, es 30; el nuevo resultado es Vx=15.81cos(2t-71,57 grados)

23 páginas

He publicado nuevos ejercicios de 1º Análisis de Circuitos: Ejercicios Resueltos-T.2-Relacion-II.pdf

24 páginas

He publicado nuevos ejercicios de 1º Análisis de Circuitos: Ejercicios Resueltos-T.1-Relacion-I.pdf

30 páginas

He publicado nuevos ejercicios de 1º Análisis de Circuitos: Ejercicios-Tema-4-bipuertos-y-transformadores.pdf

12 páginas

He publicado nuevos ejercicios de 1º Análisis de Circuitos: Ejercicios-Tema-3-En-la-frecuencia.pdf

16 páginas

He publicado nuevos apuntes de 1º Análisis de Circuitos: resumen-tema-1.pdf

4 páginas

He publicado nuevos ejercicios de 1º Análisis de Circuitos: Ejercicios-Tema-2-En-el-tiempo.pdf

18 páginas

He publicado nuevos apuntes de 1º Análisis de Circuitos: resumen-easy-tema-5.pdf

1 página

He publicado nuevos apuntes de 1º Análisis de Circuitos: resumen-formulario-Tema-4.pdf

2 páginas

He publicado nuevos apuntes de 1º Análisis de Circuitos: SUPER-resumen-tema-tre.pdf

3 páginas

He publicado nuevos apuntes de 1º Análisis de Circuitos: SUPER-RESUMEN-TEMA-2.pdf

2 páginas

He publicado nuevos apuntes de 1º Análisis de Circuitos: Repaso-Tema-5.pdf

8 páginas

He publicado nuevos apuntes de 1º Análisis de Circuitos: Resumen-Tema-4.pdf

19 páginas

He publicado nuevos apuntes de 1º Análisis de Circuitos: Algunos-Ejercicios-Tema-1.pdf

23 páginas

practicas

-

Prácticas Análisis de Circuitos

He publicado nuevos practicas de 1º Análisis de Circuitos: Prácticas Análisis de Circuitos

Practica-1.pdf
Practica-2.pdf
Practica-3.pdf
Practica-4.pdf
Practica-5.pdf
Practica-7.pdf

apuntes

-

Apuntes Análisis de Circuitos

He publicado nuevos apuntes de 1º Análisis de Circuitos: Apuntes Análisis de Circuitos

Apuntes-Analisis-de-circuitos-Tema-5.pdf
Apuntes-Analisis-de-Circuitos-Tema-4.pdf
Apuntes-Analisis-de-Circuitos-Tema-3.pdf
Apuntes-Analisis-de-Circuitos-Tema-2.pdf
Apuntes-Analisis-de-Circuitos-Tema-1.pdf

He publicado nuevos examenes de 1º Análisis de Circuitos: Examen-Analisis-de-circuitos-mayo-2022.pdf

2 páginas

apuntes

-

Apuntes Análisis de Circuitos

He publicado nuevos apuntes de 1º Análisis de Circuitos: Apuntes Análisis de Circuitos

Tema-1-Fundamentos-Basicos-de-Circuitos.pdf
Tema-2.pdf
Tema-3-Analisis-en-Frecuencia.pdf
Tema-4.pdf
Tema-5-Circuitos-NO-Lineales.pdf
Teoria-Circuitos.pdf

He publicado nuevos otros de 1º Análisis de Circuitos: GUIA-DOCENTE-Analisis-de-Circuitos.pdf

4 páginas

apuntes

-

Ayuda tema 2

He publicado nuevos apuntes de 1º Análisis de Circuitos: Ayuda tema 2

IRLejemplo1Hayt.pdf
VIIIResonanciaSadiku.pdf
IVFasoresISadiku.pdf
VFasoresIISadiku.pdf
IIRLejemplo2Hayt.pdf
VIFasoresPotenciaSadiku.pdf

ejercicios

-

Ejercicios resueltos

He publicado nuevos ejercicios de 1º Análisis de Circuitos: Ejercicios resueltos

PROBLEMAS-DE-ANALISIS.pdf
¡Estás al día!

¡Estás al día!

Has visto todos los archivos