Análisis de Circuitos
He publicado nuevos apuntes de 1º Análisis de Circuitos: Primer-Parcial-2020.pdf
He publicado nuevos apuntes de 1º Análisis de Circuitos: GIEIYA.-Manana.-2-Parcial-Bloque-1-A.-Resuelto-1.PDF
He publicado nuevos apuntes de 1º Análisis de Circuitos: GIEIYA-Tarde..-2-Parcial-Bloque-2-A.-Resuelto-1.PDF
He publicado nuevos examenes de 1º Análisis de Circuitos: Examen-Prueba-resuelto.-Electronica-manana-1.PDF
He publicado nuevos apuntes de 1º Análisis de Circuitos: problemas-tipo-examen-circuitos.pdf
He publicado nuevos apuntes de 1º Análisis de Circuitos: Ejemplostrifasicos2021.pdf
apuntes
-
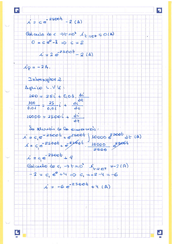
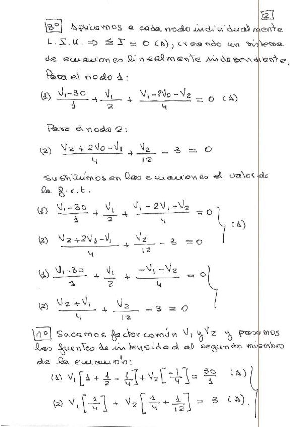
problemas resueltos
He publicado nuevos apuntes de 1º Análisis de Circuitos: problemas resueltos
He publicado nuevos apuntes de 1º Análisis de Circuitos: Tema-2-Problemas-Resueltos-II.pdf
He publicado nuevos apuntes de 1º Análisis de Circuitos: Tema-2-Problemas-Resueltos-I.pdf
He publicado nuevos apuntes de 1º Análisis de Circuitos: Tema-1-Analisis-de-circuitos.pdf
¡Estás al día!
Has visto todos los archivos