chevron_left
chevron_right
Todo
Ejercicios
chevron_left
chevron_right

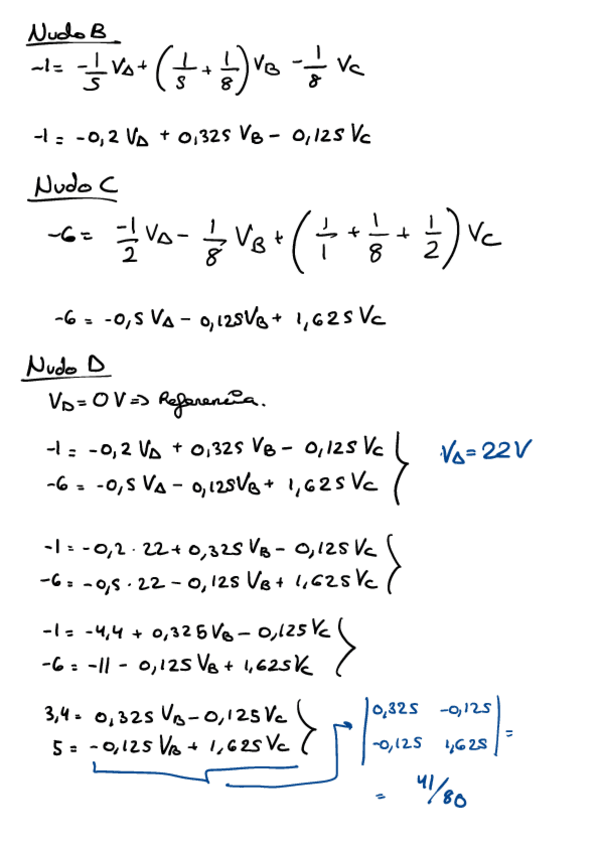
He publicado nuevos ejercicios de 1º Análisis de Circuitos: calcular-ddp-entre-los-nudos-A-y-B-del-circuito-por-el-metodo-de-nudos.pdf

2 páginas

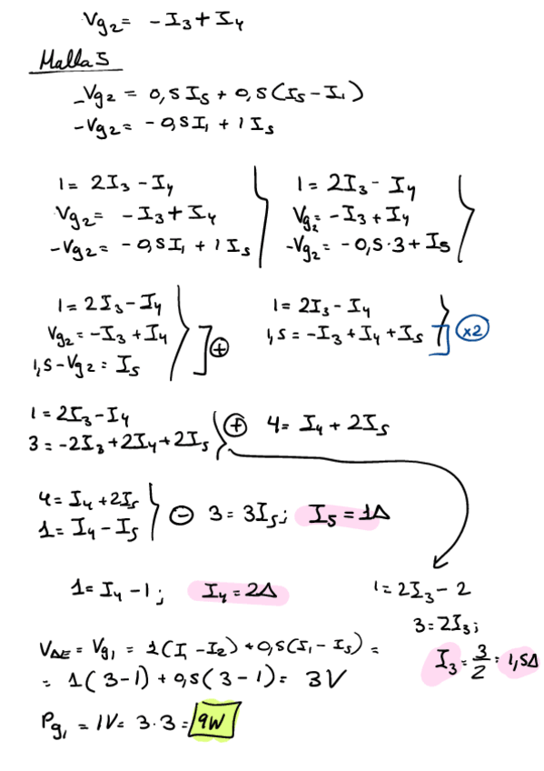
He publicado nuevos ejercicios de 1º Análisis de Circuitos: calcular-por-el-metodo-de-nudos-la-potencia-suministrada-por-el-generador-de-corriente.pdf

2 páginas

He publicado nuevos ejercicios de 1º Análisis de Circuitos: determinar-potencias-suministradas-por-los-generadores-de-tension-y-corriente-por-nudos.pdf

4 páginas

He publicado nuevos ejercicios de 1º Análisis de Circuitos: potencia-del-generador-nula-CALCULA-CORRIENTE-DE-IG-Y-DDP-VAC.pdf

2 páginas

calcular potencias suministradas por los generadores del circuito

3 páginas

calcular potencia disipada en R1 y la potencia suministrada por el generador de tesionn E2

4 páginas

calcular la ddp en bornes del generador de corriente

2 páginas

Calcular ddp entre los nudos A y D. potencia suministrada por el generador de corriente al circuito

3 páginas

Calcular la potencia consumida en la resistencia de 3Ω reduciendo antes la red

2 páginas

Calcular la ddp entre los nudos M y N de la red

3 páginas

Relación entre R1,R2,R3,R4 para que i=0

2 páginas

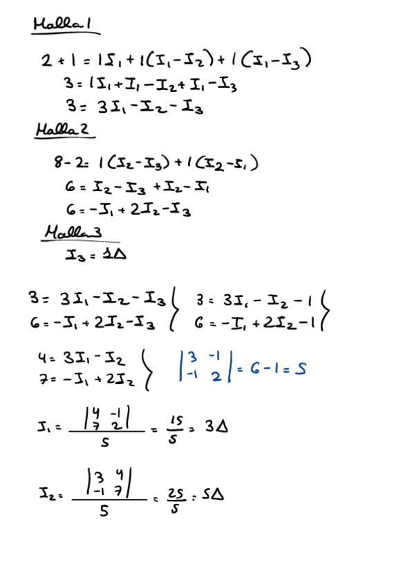
Calcular la ddp entre los nudos A y B del circuito por mallas

2 páginas

Calcular la potencia absorbida por la reistencia de 3Ω del circuito por el metodo de mallas

2 páginas

Calcular el valor de la resistencia R del circuito para que la corriente I sea igual a 0

3 páginas
¡Estás al día!

¡Estás al día!

Has visto todos los archivos