chevron_left
chevron_right
Todo
Apuntes
Ejercicios
Exámenes
publication
chevron_left
chevron_right

apuntes

-

Temario Análisis de los estados financieros

He publicado nuevos apuntes de 4º Análisis de Estados Financieros I: Temario Análisis de los estados financieros

Tema-1-La-informacion-contable.pdf
Tema-2-El-balance-de-situacion.pdf
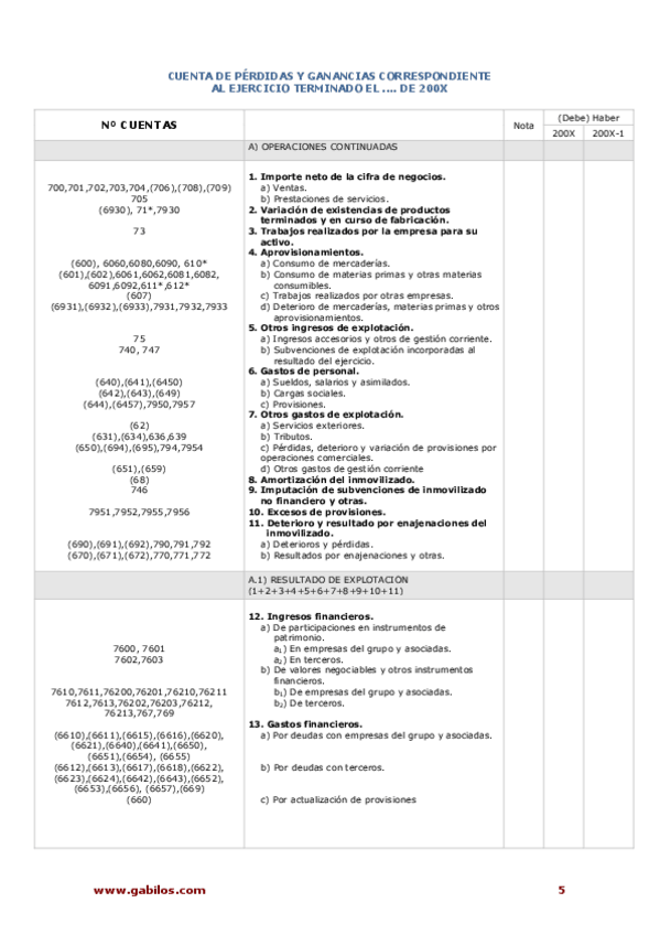
Tema-3-La-cuenta-de-perdidas-y-ganancias.pdf
Tema-4-El-estado-de-cambios-del-patrimonio-neto.pdf
Tema-5-El-estado-de-flujos-de-efectivo.pdf
Tema-6-La-memoria-y-el-informe-de-gestion.pdf

He publicado nuevos apuntes de 4º Análisis de Estados Financieros I: PGC-Modelos-de-cuentas-anuales.pdf

26 páginas

apuntes

-

t3 memoria y auditoria

He publicado nuevos apuntes de 4º Análisis de Estados Financieros I: t3 memoria y auditoria

auditoria.pdf
TEMA-3.pdf
memoria.pdf

apuntes

-

EXAMENES CON SOLUCION

He publicado nuevos apuntes de 4º Análisis de Estados Financieros I: EXAMENES CON SOLUCION

1a-EVALUACION-CONTINUA-balance-y-perdidas-y-ganancias.pdf
ejercicio-evaluacion-ECPN-2022.pdf
Recuperacion-ECPN-2022.pdf
solucion-evaluacion-continua-2022-ECPN.xlsx
recuperacion-Balance-y-PyG-2022.pdf
1aevaluacionContinuaBPYGCorreccion.xlsx

apuntes

-

PRÁCTICAS RESUELTAS ECPN

He publicado nuevos apuntes de 4º Análisis de Estados Financieros I: PRÁCTICAS RESUELTAS ECPN

ejercicio2ECPN.pdf
ejercicio1ECPN.xlsx
ejercicio2ECPN.xlsx
ejercicio1ECPN.pdf
ejercicio9ECPN.xlsx
ejercicio3ECPN.pdf

examen

alguien tiene tipo test de años anteriores??

He publicado nuevos examenes de 4º Análisis de Estados Financieros I: plantillaEstadosFinancieros.pdf

9 páginas

He publicado nuevos apuntes de 4º Análisis de Estados Financieros I: CUADROS.pdf

5 páginas

ejercicios

-

PRACTICAS RESUELTAS BALANCE

He publicado nuevos ejercicios de 4º Análisis de Estados Financieros I: PRACTICAS RESUELTAS BALANCE

ejercicio2BALANCE.xlsx
ejercicio1BALANCE.xlsx
PRACTICASBALANCERESUELTAS.pdf
Ejercicios-de-Balance.pdf
ejercicio3BALANCE.xlsx
ejercicio6balance.xlsx

He publicado nuevos apuntes de 4º Análisis de Estados Financieros I: El-informe-de-auditoria.pdf

3 páginas

He publicado nuevos apuntes de 4º Análisis de Estados Financieros I: Teoria-memoria-e-informe-de-gestion.pdf

5 páginas

apuntes

-

PRÁCTICAS RESUELTAS EFE

He publicado nuevos apuntes de 4º Análisis de Estados Financieros I: PRÁCTICAS RESUELTAS EFE

ejercico3.pdf
ejercicio2.pdf
ejercicio3EFE.xlsx
ejercicio2EFE.xlsx
ejercicio4EFE.pdf
ejercicio4EFE.xlsx

He publicado nuevos apuntes de 4º Análisis de Estados Financieros I: Como-hacer-el-estado-de-ingresos-y-gastos-reconocidos-Hoja-1.pdf

2 páginas

He publicado nuevos apuntes de 4º Análisis de Estados Financieros I: Estado-de-cambios-en-el-patrimonio-neto.pdf

8 páginas

ejercicios

-

PRACTICAS RESUELTAS CUENTA PYG

He publicado nuevos ejercicios de 4º Análisis de Estados Financieros I: PRACTICAS RESUELTAS CUENTA PYG

Ejercicio-correspondientes-al-Estado-de-Perdidas-y-Ganancias.pdf
ejercicio4PYG.xlsx
ejercicio3PYG.xlsx
ejercicio2PYG.xlsx
PRACTICASRESUELTAS.pdf
ejercicio1PYG.xlsx

apuntes

-

GUIA PARA PRACTICA

He publicado nuevos apuntes de 4º Análisis de Estados Financieros I: GUIA PARA PRACTICA

Estructuracuentaperdidasygananciasmodelonormal.pdf
Estructurabalancemodelonormal.pdf

He publicado nuevos apuntes de 4º Análisis de Estados Financieros I: La-cuenta-de-perdidas-y-ganancias.pdf

4 páginas

He publicado nuevos apuntes de 4º Análisis de Estados Financieros I: El-balance.pdf

5 páginas

He publicado nuevos apuntes de 4º Análisis de Estados Financieros I: TEMA-1-analisis-de-estados-financieros.pdf

3 páginas

apuntes

-

Ejercicios resueltos con excel.

He publicado nuevos apuntes de 4º Análisis de Estados Financieros I: Ejercicios resueltos con excel.

Ejercicios-resueltos.xlsx
Enunciados-EFE-con-explicaciones.pdf

apuntes

-

RESUMENES DE TEORIA

He publicado nuevos apuntes de 4º Análisis de Estados Financieros I: RESUMENES DE TEORIA

TEMA 1.pdf
TEMA 2.pdf
TEMA 3.pdf
TEMA 4.pdf
TEMA 5.pdf
TEMA 6.pdf

apuntes

-

EJERCICIOS EFE RESUELTOS

He publicado nuevos apuntes de 4º Análisis de Estados Financieros I: EJERCICIOS EFE RESUELTOS

EJERCICIO 1 (EFE).pdf
EJERCICIO 2 (EFE).pdf
EJERCICIO 3 (EFE).pdf
EJERCICIO 4 EFE.pdf
EJERCICIO 5 (EFE).pdf
EJERCICIO 7 (EFE).pdf

apuntes

-

EJERCICIOS ECPN RESUELTOS

He publicado nuevos apuntes de 4º Análisis de Estados Financieros I: EJERCICIOS ECPN RESUELTOS

EJERCICIO 1 (ECPN).pdf
EJERCICIO 2 (ECPN).pdf
EJERCICIO 3 (ECPN).pdf
EJERCICIO 4 (ECPN).pdf
EJERCICIO 5 (ECPN).pdf
EJERCICIO 6 (ECPN).pdf

ejercicios

-

Plantillas Ejercicios

He publicado nuevos ejercicios de 4º Análisis de Estados Financieros I: Plantillas Ejercicios

MODELO ECPN.pdf
MODELO EFE.pdf
MODELO INGRESOS GASTOS.pdf
PLANTILLA BALANCE.pdf
PLANTILLA PYG.pdf

He publicado nuevos examenes de 4º Análisis de Estados Financieros I: SOLUCION EXAMEN JUNIO.xlsx

excel

He publicado nuevos examenes de 4º Análisis de Estados Financieros I: Examen junio 2015.pdf

2 páginas
¡Estás al día!

¡Estás al día!

Has visto todos los archivos