Análisis de Funciones de Variable Compleja

Todo
Apuntes
Ejercicios
Exámenes
chevron_left
chevron_right

He publicado nuevos apuntes de 3º Análisis de Funciones de Variable Compleja: AVC-Aplicaciones-del-Teorema-de-los-Residuos.pdf

pdf

He publicado nuevos apuntes de 3º Análisis de Funciones de Variable Compleja: AVC.pdf

pdf

He publicado nuevos apuntes de 3º Análisis de Funciones de Variable Compleja: Esquema-resumen-de-las-aplicaciones-de-los-residuos-de-AVC.pdf

22 páginas

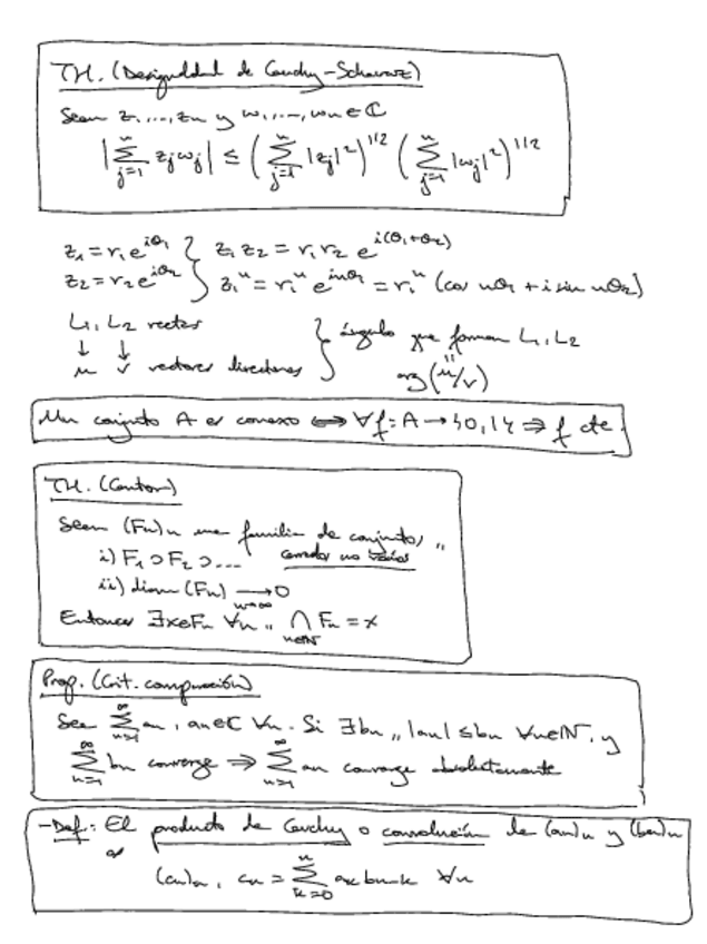
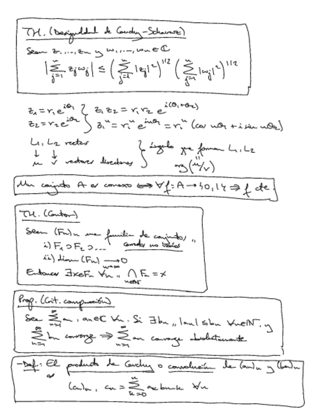
Esquema de la teoría más importante de AVC de doble grado física-mates (sin contar la parte práctica de residuos)

52 páginas

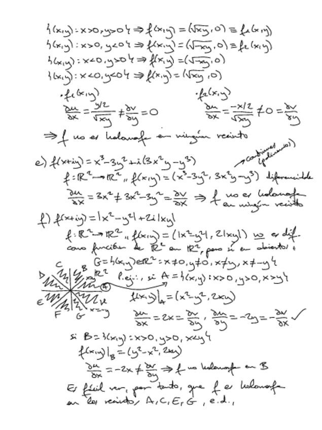
He publicado nuevos ejercicios de 3º Análisis de Funciones de Variable Compleja: Analisis-variable-compleja-ejercicios.pdf

124 páginas

He publicado nuevos examenes de 3º Análisis de Funciones de Variable Compleja: Examen-MMII-2018-2019.pdf

1 página
¡Estás al día!

¡Estás al día!

Has visto todos los archivos