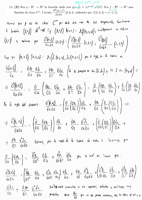
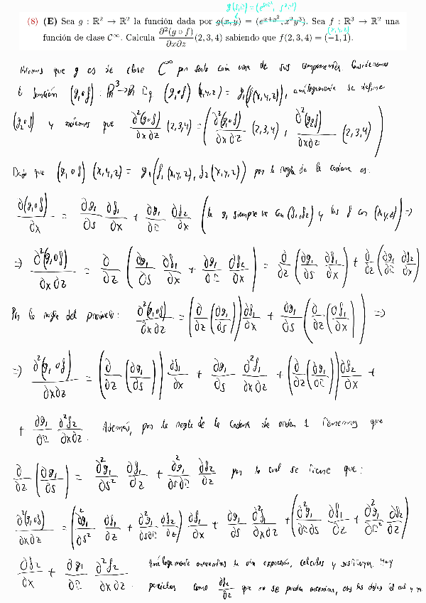
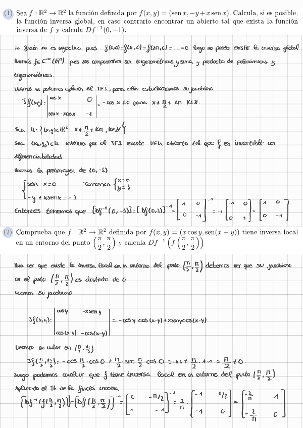
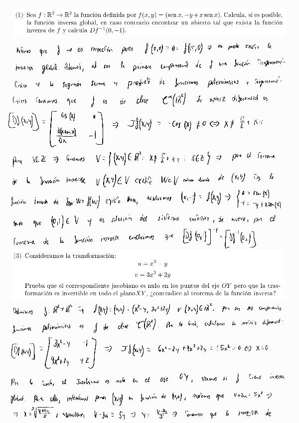
Análisis de Funciones de Varias Variables

Todo
Apuntes
Ejercicios
Exámenes
publication
chevron_left
chevron_right

apuntes

-

Diapositivas de cada Tema Reducidas

Diapositivas de cada tema sin paginas repetidas

FVVT1Reducido.pdf
FVVT2Reducido.pdf
FVVT3Reducido.pdf
FVVT4Reducido.pdf
FVVT5Reducido.pdf
FVVT6Reducido.pdf
Anónimo

@Anónimo

apuntes

-

Apuntes FVV

Apuntes de JLR de FVV sin marca de agua. Si lo descargais: https://gulagcleaner.com/.

Cap1teor2025-26limpio.pdf
Cap2teor2025-26limpio.pdf
Cap3teor2025-26limpio.pdf
Cap4teor2023-24limpio.pdf
Cap5teor2023-24limpio.pdf
Cap6teor2023-24limpio.pdf

ejercicios

-

Ejercicios hechos en clase

He publicado nuevos ejercicios de 2º Análisis de Funciones de Varias Variables: Ejercicios hechos en clase

ejercicios-hechos-en-clase-tema-1-y-2.pdf
ejercicios-hechos-en-clase-tema-3-y-4.pdf
ejercicios-hechos-en-clase-tema-5-y-6.pdf

He publicado nuevos apuntes de 2º Análisis de Funciones de Varias Variables: Tema-1.pdf

16 páginas

He publicado nuevos examenes de 2º Análisis de Funciones de Varias Variables: finalAFVVJunio2025.pdf

1 página

apuntes

-

Parcial 1y2

He publicado nuevos apuntes de 2º Análisis de Funciones de Varias Variables: Parcial 1y2

Parcial-1.pdf
Parcial-2.pdf

He publicado nuevos ejercicios de 2º Análisis de Funciones de Varias Variables: Preparacion-tercer-parcial.pdf

9 páginas

Este es el examen que corresponde a la recuperación por parciales. NO tiene relación con la estructura del examen final. El examen se divide en: 1º Parcial (Ej. 1-5); 2º Parcial (Ej. 6-10); 3º Parcial (Ej. 11-15)

2 páginas

He publicado nuevos examenes de 2º Análisis de Funciones de Varias Variables: SegundoParcialVarias2425.pdf

1 página

He publicado nuevos examenes de 2º Análisis de Funciones de Varias Variables: TercerParcialVarias2425.pdf

1 página

Documento apuntes de clase en Latex. Es un mix de lo explicado en clase y los apuntes del campus.

17 páginas

He publicado nuevos apuntes de 2º Análisis de Funciones de Varias Variables: Resumen-cap-5-GPP.pdf

7 páginas

He publicado nuevos ejercicios de 2º Análisis de Funciones de Varias Variables: Ejercicios-tema-5Funciones-inv-e-imp-GPP.pdf

18 páginas

Es lo mismo que preparación segundo parcial, pero pesa menos y se ve algo peor. Todos son de examen o de la lista de mari carmen

21 páginas

Todos son de examen o de la lista de mari Carmen

21 páginas

Es lo mismo que "preparación tercer parcial", pero pesa menos y se ve algo peor. Todos son de examen o de la lista de mari carmen

39 páginas

Todos son de examen o de la lista de mari carmen

39 páginas

He publicado nuevos ejercicios de 2º Análisis de Funciones de Varias Variables: Ejercicios-T3-Lista-Mcarmen-GPP.pdf

12 páginas

He publicado nuevos apuntes de 2º Análisis de Funciones de Varias Variables: Resumen-T3-La-diferencial-GPP.pdf

9 páginas

He publicado nuevos ejercicios de 2º Análisis de Funciones de Varias Variables: Ejercicios-T4-Lista-MCarmen-GPP.pdf

15 páginas

He publicado nuevos apuntes de 2º Análisis de Funciones de Varias Variables: Resumen-t2-Continuidad-funciones-varias-variables-GPP.pdf

5 páginas

He publicado nuevos apuntes de 2º Análisis de Funciones de Varias Variables: T2-Teoremas-con-demostraciones-GPP.pdf

7 páginas

He publicado nuevos ejercicios de 2º Análisis de Funciones de Varias Variables: Ejercicios-T2-listaMcarmen-GPP.pdf

14 páginas

He publicado nuevos ejercicios de 2º Análisis de Funciones de Varias Variables: Ejercicos-T1-listaMcarmen-GPP.pdf

12 páginas

He publicado nuevos apuntes de 2º Análisis de Funciones de Varias Variables: Resumen-T1Estruc-algebraica-y-topologica-de-Rn-GPP.pdf

10 páginas

He publicado nuevos apuntes de 2º Análisis de Funciones de Varias Variables: T1-Teoremas-con-demostraciones-GPP.pdf

7 páginas
Anónimo

@Anónimo

He publicado nuevos examenes de 2º Análisis de Funciones de Varias Variables: segundo-parcial-resuelto-en-clase.pdf

2 páginas

Documento apuntes de clase en Latex. Es un mix de lo explicado en clase y los apuntes del campus. Solo está lo que entra (dicho por profesor en campus)

7 páginas

Documento apuntes de clase en Latex. Es un mix de lo explicado en clase y los apuntes del campus. Solo está lo que entra (dicho por profesor en campus)

12 páginas

Documento apuntes de clase en Latex. Es un mix de lo explicado en clase y los apuntes del campus. Solo está lo que entra (dicho por profesor en campus)

11 páginas

Documento apuntes de clase en Latex. Es un mix de lo explicado en clase y los apuntes del campus.

16 páginas

He publicado nuevos examenes de 2º Análisis de Funciones de Varias Variables: EXAMEN-AFVV-SEGUNDO-PARCIAL-2023.pdf

2 páginas

He publicado nuevos examenes de 2º Análisis de Funciones de Varias Variables: EXAMEN-AFVV-PRIMER-PARCIAL-2023.pdf

2 páginas

He publicado nuevos examenes de 2º Análisis de Funciones de Varias Variables: Examen-convocatoria-febrero-2023.pdf

2 páginas

He publicado nuevos ejercicios de 2º Análisis de Funciones de Varias Variables: Problemas-Varias-Variables.pdf

72 páginas

examenes

-

Exámenes hechos

He publicado nuevos examenes de 2º Análisis de Funciones de Varias Variables: Exámenes hechos

Práctica - obj6 pdf
Practica-Obj-7.pdf
Practica-Obj-9.pdf
Práctica-obj 1 2
Preguntas-Teoricas-parcial-1.pdf
Practica-Obj-8.pdf

apuntes

-

Resúmenes de todos los objetivos

He publicado nuevos apuntes de 2º Análisis de Funciones de Varias Variables: Resúmenes de todos los objetivos

Obj-2.pdf
Obj-1.pdf
Obj-6.pdf
Obj-4.pdf
Obj-8.pdf
Obj-7.pdf

examenes

-

Examenes por objetivos

He publicado nuevos examenes de 2º Análisis de Funciones de Varias Variables: Examenes por objetivos

Enunciados-examenes-obv6-FVV.pdf
8.pdf
6.pdf
4-1.pdf
Enunciados-examenes-obv4-FVV.pdf
7.pdf

apuntes

-

Ejemplos ejercicios examen Obj9

He publicado nuevos apuntes de 2º Análisis de Funciones de Varias Variables: Ejemplos ejercicios examen Obj9

Teoria-obv9-FVV.pdf
Practica-2-obv9-FVV.pdf
Practica-1-obv9-FVV.pdf

apuntes

-

Ejemplos ejercicios examen Obj8

He publicado nuevos apuntes de 2º Análisis de Funciones de Varias Variables: Ejemplos ejercicios examen Obj8

Teoria-obv8-FVV.pdf
Practica-1-obv8-FVV.pdf
Practica-2-obv8-FVV.pdf

apuntes

-

Ejemplos ejercicios examen Obj7

He publicado nuevos apuntes de 2º Análisis de Funciones de Varias Variables: Ejemplos ejercicios examen Obj7

Teoria-obv7-FVV.pdf
Practica-obv7-FVV.pdf

apuntes

-

Ejemplos ejercicios examen Obv6

He publicado nuevos apuntes de 2º Análisis de Funciones de Varias Variables: Ejemplos ejercicios examen Obv6

Obv-6-FVV.pdf

apuntes

-

Ejemplos ejercicios examen Obj5

He publicado nuevos apuntes de 2º Análisis de Funciones de Varias Variables: Ejemplos ejercicios examen Obj5

Teoria-obv5-FVV.pdf
Pracrica-obv5-FVV.pdf

apuntes

-

Ejemplos ejercicios examen Obj4

He publicado nuevos apuntes de 2º Análisis de Funciones de Varias Variables: Ejemplos ejercicios examen Obj4

Practica-obv4-FVV-2.pdf
Teoria-obv4-FVV.pdf
Practica-obv4-FVV.pdf

apuntes

-

Resúmenes objetivos

He publicado nuevos apuntes de 2º Análisis de Funciones de Varias Variables: Resúmenes objetivos

Objetivo-8-AVV.pdf
Objetivo-3-AVV.pdf
Objetivo-2-AVV.pdf
Objetivo-1-AVV.pdf
Objetivo-9-AVV.pdf
Objetivo-7-AVV.pdf

apuntes

-

Apuntes y demostraciones

He publicado nuevos apuntes de 2º Análisis de Funciones de Varias Variables: Apuntes y demostraciones

CAPITULO-1.pdf
CAPITULO5.pdf
CAPITULO3.pdf
CAPITULO-2.pdf
CAPITULO6.pdf
CAPITULO4.pdf

He publicado nuevos apuntes de 2º Análisis de Funciones de Varias Variables: resumen-practica-obj-2-y-3.pdf

3 páginas

He publicado nuevos apuntes de 2º Análisis de Funciones de Varias Variables: resumen-obj-4.pdf

5 páginas

examenes

-

EJERCICIOS DE EXAMENES POR OBJETIVOS

He publicado nuevos examenes de 2º Análisis de Funciones de Varias Variables: EJERCICIOS DE EXAMENES POR OBJETIVOS

ejercicios-obj-1.pdf
ejer-obj-2.pdf
ejer-obj-3.pdf
ejer-obj-4.pdf
ejer-obj-5.pdf
ejer-obj-6.pdf

apuntes

-

Ejercicios por temas AFVV

He publicado nuevos apuntes de 2º Análisis de Funciones de Varias Variables: Ejercicios por temas AFVV

Ejercicios-Presencial-III.pdf
Ejercicios-Presencial-II.pdf
Ejercicios-Presencial-I.pdf

apuntes

-

Apuntes Completos AFVV

He publicado nuevos apuntes de 2º Análisis de Funciones de Varias Variables: Apuntes Completos AFVV

Resumen-Presencial-II.pdf
Resumen-Presencial-III.pdf
Resumen-Presencial-I.pdf

apuntes

-

AFVV - Teoría

He publicado nuevos apuntes de 2º Análisis de Funciones de Varias Variables: AFVV - Teoría

Capitulo-3-Apuntes.pdf
Capitulo-5-Apuntes.pdf
Capitulo-2-Apuntes.pdf
Capitulo-4-Apuntes.pdf
Capitulo-6-Apuntes.pdf
Capitulo-1-Apuntes.pdf
Anónimo

@Anónimo

He publicado nuevos examenes de 2º Análisis de Funciones de Varias Variables: tercer-parcial-varias.pdf

2 páginas
Anónimo

@Anónimo

He publicado nuevos apuntes de 2º Análisis de Funciones de Varias Variables: practica-segundo-parcial.pdf

1 página
Anónimo

@Anónimo

He publicado nuevos apuntes de 2º Análisis de Funciones de Varias Variables: teoria-segundo-parcial.pdf

2 páginas
Anónimo

@Anónimo

He publicado nuevos examenes de 2º Análisis de Funciones de Varias Variables: presencial-1-parte-2-2020.pdf

1 página
Anónimo

@Anónimo

He publicado nuevos examenes de 2º Análisis de Funciones de Varias Variables: presencial-1-parte-1.pdf

1 página

RESÚMENES COMPLETOS VARIAS VARIABLES

He subido resúmenes completos POR CAPÍTULOS // PARCIALES de Varias variables. Profesorado: Juan Luis. **Sobresaliente en la asignatura**

Anónimo

@Anónimo

examenes

-

Septiembre 2020

He publicado nuevos examenes de 2º Análisis de Funciones de Varias Variables: Septiembre 2020

Teoria-Sep-2020.pdf
Practica-Sep-2020.pdf

apuntes

-

RESÚMENES COMPLETOS DE PRESENCIALES

*SOBRESALIENTE EN LA ASIGNATURA*

RESUMEN-CAPITULO-1.pdf
RESUMEN-CAPITULO-2.pdf
RESUMEN-CAPITULO-3.pdf
RESUMEN-CAPITULO-4.pdf
RESUMEN-CAPITULO-5-Y-6.pdf