Análisis de Operaciones Financieras e Inversiones II

Todo
Apuntes
Ejercicios
Exámenes
Prácticas
Trabajos
chevron_left
chevron_right

ejercicios

-

EJERCICIOS RESUELTOS CUROS 25-26

He publicado nuevos ejercicios de 3º Análisis de Operaciones Financieras e Inversiones II: EJERCICIOS RESUELTOS CUROS 25-26

Ejercicios-Tema-2-1-al-7.pdf
EJERCICIOS-AOFI-CAPITALES-FINANCIERO-ALEATORIO.xlsx
EJERCICIOS-CUADRO-EMPRESTITOS-TEMA-5-RESUELTO.xlsx

He publicado nuevos apuntes de 3º Análisis de Operaciones Financieras e Inversiones II: FORMULARIO-CUADRO-EMPRESTITOS.pdf

3 páginas

He publicado nuevos apuntes de 3º Análisis de Operaciones Financieras e Inversiones II: Ejercicios-soluc-T4-Capitales-Financiero-Aleatorios.pdf

4 páginas

He publicado nuevos apuntes de 3º Análisis de Operaciones Financieras e Inversiones II: prueba-1-de-aofi-2.jpeg

Imagen

PRIMER PARCIAL Tema 1 y 2

2 páginas

He publicado nuevos apuntes de 3º Análisis de Operaciones Financieras e Inversiones II: Resumen-T3-AOFI-II.pdf

2 páginas

He publicado nuevos apuntes de 3º Análisis de Operaciones Financieras e Inversiones II: Resumen-T2-AOFI-II.pdf

9 páginas

He publicado nuevos apuntes de 3º Análisis de Operaciones Financieras e Inversiones II: Resumen-T1-AOFI-II.pdf

2 páginas

He publicado nuevos apuntes de 3º Análisis de Operaciones Financieras e Inversiones II: TRABAJO-AOFI-II.xlsx

excel

He publicado nuevos apuntes de 3º Análisis de Operaciones Financieras e Inversiones II: Resultados-de-los-ejercicios.xlsx

excel

He publicado nuevos apuntes de 3º Análisis de Operaciones Financieras e Inversiones II: Ejercicios-AOFI-T5.pdf

11 páginas

He publicado nuevos ejercicios de 3º Análisis de Operaciones Financieras e Inversiones II: Ejercicios-capitales-tema-1.pdf

9 páginas

He publicado nuevos apuntes de 3º Análisis de Operaciones Financieras e Inversiones II: Como-hacer-ejercicios-bloque-I.pdf

10 páginas

He publicado nuevos apuntes de 3º Análisis de Operaciones Financieras e Inversiones II: Apuntes-temas-4-5.pdf

7 páginas

He publicado nuevos ejercicios de 3º Análisis de Operaciones Financieras e Inversiones II: Ejercicios-tema-1.pdf

10 páginas

He publicado nuevos ejercicios de 3º Análisis de Operaciones Financieras e Inversiones II: Ejercicios-tema-5.pdf

6 páginas

He publicado nuevos ejercicios de 3º Análisis de Operaciones Financieras e Inversiones II: Ejercicios-tema-4.pdf

4 páginas

He publicado nuevos apuntes de 3º Análisis de Operaciones Financieras e Inversiones II: Como-hacer-ejercicios-bloque-II.pdf

4 páginas

He publicado nuevos trabajos de 3º Análisis de Operaciones Financieras e Inversiones II: Trabajo-2-AOFI-II.xlsx

excel
Anónimo

@Anónimo

He publicado nuevos apuntes de 3º Análisis de Operaciones Financieras e Inversiones II: Tema-3-ejercicios-a-mano.pdf

8 páginas

He publicado nuevos ejercicios de 3º Análisis de Operaciones Financieras e Inversiones II: Ejercicios-Tema-1-A-mano.pdf

12 páginas

NO ESTAN TODOS YA QUE HAY ALGUNOS EN LA RELACION MAL REDACTADOS O CON INFORMACION QUE FALTA. IGUAL ALGUNOS RESULTADOS NO DAN EXACTAMENTE LO MISMO YA QUE LOS NUMEROS EN LAS SOLUCIONES ESTAN REDONDEADOS

excel

EJERCICIOS DEL TEMA 2 CON FORMULAS (HAY ALGUNOS QUE NO DAN LO MISMO QUE LAS SOLUCIONES YA QUE EL PROFESOR LOS HA REDONDEADO, PERO LOS DATOS PARA OBTENER CADA RESULTADO SON CORRECTOS)

excel

yo hice los ejercicios a mano pero a excel son exactamente igual solo que introduciendo los datos en una tabla en excel

9 páginas

yo hice los ejercicios a mano pero a excel son exactamente igual solo que introduciendo los datos en una tabla en excel

5 páginas

yo hice los ejercicios a mano pero a excel son exactamente igual solo que introduciendo los datos en una tabla en excel

3 páginas

EJERCICIOS RESUELTOS CON FORMULAS TEMA 1

excel

He publicado nuevos apuntes de 3º Análisis de Operaciones Financieras e Inversiones II: Relacion-ejercicios-tema-1-AOFI-excel.xlsx

excel

He publicado nuevos ejercicios de 3º Análisis de Operaciones Financieras e Inversiones II: AOFI Parcial 2 apuntes con ejercicios resueltos.pdf

8 páginas

He publicado nuevos ejercicios de 3º Análisis de Operaciones Financieras e Inversiones II: AOFI Parcial 1 apuntes con ejercicios resueltos.pdf

14 páginas

He publicado nuevos apuntes de 3º Análisis de Operaciones Financieras e Inversiones II: ESQUEMA-TIPOS-DE-EMPRESTITOS.pdf

1 página

He publicado nuevos apuntes de 3º Análisis de Operaciones Financieras e Inversiones II: ESQUEMA-TIPOS-DE-EMPRESTITOS.pdf

1 página

He publicado nuevos apuntes de 3º Análisis de Operaciones Financieras e Inversiones II: ESQUEMA-TIPOS-DE-EMPRESTITOS.pdf

1 página

He publicado nuevos ejercicios de 3º Análisis de Operaciones Financieras e Inversiones II: EjT1-Aofi-II.pdf

6 páginas

He publicado nuevos ejercicios de 3º Análisis de Operaciones Financieras e Inversiones II: Tema-5-AOFI.xlsx

excel

He publicado nuevos ejercicios de 3º Análisis de Operaciones Financieras e Inversiones II: Ejercicios-Tema-2.xlsx

excel

He publicado nuevos apuntes de 3º Análisis de Operaciones Financieras e Inversiones II: TEMA-6.pdf

1 página

He publicado nuevos ejercicios de 3º Análisis de Operaciones Financieras e Inversiones II: EjT5-Aofi-II.pdf

8 páginas

He publicado nuevos apuntes de 3º Análisis de Operaciones Financieras e Inversiones II: Formulario-tema-2-y-3.pdf

5 páginas

He publicado nuevos ejercicios de 3º Análisis de Operaciones Financieras e Inversiones II: EjT6-Aofi-II.pdf

5 páginas

He publicado nuevos apuntes de 3º Análisis de Operaciones Financieras e Inversiones II: TEMA-5.pdf

4 páginas

He publicado nuevos apuntes de 3º Análisis de Operaciones Financieras e Inversiones II: TEMA-4.pdf

1 página

He publicado nuevos ejercicios de 3º Análisis de Operaciones Financieras e Inversiones II: emprestitos-relacion-tema-2.xlsx

excel

He publicado nuevos apuntes de 3º Análisis de Operaciones Financieras e Inversiones II: ECUACIONES-DE-EQUIVALENCIA-FINANCIERA.pdf

1 página

He publicado nuevos apuntes de 3º Análisis de Operaciones Financieras e Inversiones II: TEMA-2.pdf

5 páginas

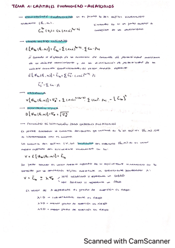
He publicado nuevos apuntes de 3º Análisis de Operaciones Financieras e Inversiones II: TEMA-1.pdf

2 páginas
Anónimo

@Anónimo

He publicado nuevos trabajos de 3º Análisis de Operaciones Financieras e Inversiones II: Segundo-Trabajo-Aofi-II.ods

excel

He publicado nuevos apuntes de 3º Análisis de Operaciones Financieras e Inversiones II: PARCIAL-2021.pdf

2 páginas

He publicado nuevos apuntes de 3º Análisis de Operaciones Financieras e Inversiones II: Emprestito-teoria.pdf

8 páginas

He publicado nuevos apuntes de 3º Análisis de Operaciones Financieras e Inversiones II: tema-2-AOFI2.pdf

13 páginas

He publicado nuevos practicas de 3º Análisis de Operaciones Financieras e Inversiones II: ejercicio-tema-1.pdf

16 páginas

He publicado nuevos apuntes de 3º Análisis de Operaciones Financieras e Inversiones II: tema-1-AOFI-2.pdf

10 páginas

He publicado nuevos practicas de 3º Análisis de Operaciones Financieras e Inversiones II: practica-2.pdf

20 páginas

He publicado nuevos ejercicios de 3º Análisis de Operaciones Financieras e Inversiones II: Actividades-tema-1.xlsx

excel

He publicado nuevos ejercicios de 3º Análisis de Operaciones Financieras e Inversiones II: Actividades-tema-3.xlsx

excel

apuntes

-

ejercicios aofi II

He publicado nuevos apuntes de 3º Análisis de Operaciones Financieras e Inversiones II: ejercicios aofi II

tema-5-ejercicios.pdf
relacion-y-formulas-tema-1-aofi.pdf
Anónimo

@Anónimo

He publicado nuevos apuntes de 3º Análisis de Operaciones Financieras e Inversiones II: Trabajo-Aofi-2.xlsx

excel

He publicado nuevos ejercicios de 3º Análisis de Operaciones Financieras e Inversiones II: Relacion-Ejercicios-Tema-1.pdf

7 páginas

He publicado nuevos ejercicios de 3º Análisis de Operaciones Financieras e Inversiones II: Ejercicios-tema-1.pdf

3 páginas

He publicado nuevos apuntes de 3º Análisis de Operaciones Financieras e Inversiones II: ejercicios-aofi-2-tema-1.xlsx

excel