chevron_left
chevron_right
Todo
Apuntes
Ejercicios
Exámenes
Prácticas
Test
chevron_left
chevron_right

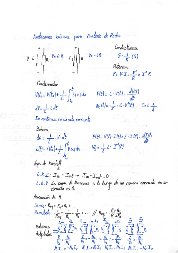
He publicado nuevos apuntes de 3º Análisis de Redes Eléctricas: Apuntes-clase-Ernesto.pdf

23 páginas

He publicado nuevos apuntes de 3º Análisis de Redes Eléctricas: Ejercicios-resonancia.pdf

20 páginas

He publicado nuevos apuntes de 3º Análisis de Redes Eléctricas: Ejercicios-transitorio-1.pdf

24 páginas

He publicado nuevos apuntes de 3º Análisis de Redes Eléctricas: Ejercicios-transitorio-2.pdf

10 páginas

ejercicios

-

Ejercicios y. Prácticas

He publicado nuevos ejercicios de 3º Análisis de Redes Eléctricas: Ejercicios y. Prácticas

Propuesto-ARE-1241031220923-1.pdf
Practica-TRIFASICACSB241101144758.pdf
T1-CSB1-Problemas-Sist-Trifasicos-Desequilibrado241003160329.pdf
Practica-Reso-Trabajo-Alumnos-2023241118162804.pdf
Propuesto-2425241023120831.pdf
R07RES-Enunciados241021200952.pdf

He publicado nuevos practicas de 3º Análisis de Redes Eléctricas: Practica-Reso-Trabajo-Alumnos-2024-David-Fernandez.pdf

9 páginas
Anónimo

@Anónimo

He publicado nuevos ejercicios de 3º Análisis de Redes Eléctricas: Ejercicios-analisisderedes.pdf

32 páginas
Anónimo

@Anónimo

He publicado nuevos apuntes de 3º Análisis de Redes Eléctricas: Formulario-analisisderedes.pdf

29 páginas

He publicado nuevos apuntes de 3º Análisis de Redes Eléctricas: Relacion-Transitoriocompleta.pdf

30 páginas
Anónimo

@Anónimo

He publicado nuevos examenes de 3º Análisis de Redes Eléctricas: 2023-JUNIO-EXTRAORDINARIA-Y-JULIO.pdf

10 páginas
Anónimo

@Anónimo

He publicado nuevos examenes de 3º Análisis de Redes Eléctricas: 2023-FEBRERO.pdf

11 páginas

He publicado nuevos apuntes de 3º Análisis de Redes Eléctricas: Resumen-cutre.pdf

11 páginas
Anónimo

@Anónimo

He publicado nuevos practicas de 3º Análisis de Redes Eléctricas: Practica-bipuertas.pdf

2 páginas
Anónimo

@Anónimo

apuntes

-

BIPUERTAS

He publicado nuevos apuntes de 3º Análisis de Redes Eléctricas: BIPUERTAS

Capitulo-13-Redes-Bipuerta-Asociacion-y-carga.pdf
Capitulo-12-Redes-Bipuerta-Parametros-y-triterminales.pdf
Anónimo

@Anónimo

apuntes

-

RESONANCIA

He publicado nuevos apuntes de 3º Análisis de Redes Eléctricas: RESONANCIA

Resonancia-paralelo.pdf
Resonancia-serie.pdf
Anónimo

@Anónimo

apuntes

-

CSB

He publicado nuevos apuntes de 3º Análisis de Redes Eléctricas: CSB

RESUMEN-TRIFASICA.pdf
Componentes-simetricas-Teoria.pdf
Anónimo

@Anónimo

practicas

-

PRACTICAS ANALISIS DE REDES

He publicado nuevos practicas de 3º Análisis de Redes Eléctricas: PRACTICAS ANALISIS DE REDES

01-COMPONENTE-SIMETRICA.pdf
P2-Cuadripolo.pdf
P2-Resonancia.pdf
P2-Resonancia.pdf
Practica-simulacion-Cuadripolos.pdf

He publicado nuevos apuntes de 3º Análisis de Redes Eléctricas: Formulario-resumen-Componente-simetrica-basica.pdf

3 páginas

He publicado nuevos ejercicios de 3º Análisis de Redes Eléctricas: Ejercicios-Resonancia.pdf

7 páginas

He publicado nuevos ejercicios de 3º Análisis de Redes Eléctricas: Ejercicios-Componente-simetrica-basica.pdf

10 páginas

He publicado nuevos ejercicios de 3º Análisis de Redes Eléctricas: Ejercicios-Regimen-Transitorio.pdf

6 páginas

He publicado nuevos ejercicios de 3º Análisis de Redes Eléctricas: Ejercicios-Bipuertas.pdf

2 páginas

He publicado nuevos ejercicios de 3º Análisis de Redes Eléctricas: Ejercicio15 Componente Simétrica Básica.pdf

2 páginas

He publicado nuevos apuntes de 3º Análisis de Redes Eléctricas: FormularioTransitorio.pdf

3 páginas

He publicado nuevos apuntes de 3º Análisis de Redes Eléctricas: FormularioResonancia.pdf

1 página

He publicado nuevos examenes de 3º Análisis de Redes Eléctricas: Problema-examen-resonancia-1.pdf

1 página

He publicado nuevos examenes de 3º Análisis de Redes Eléctricas: Problema-Examen-resonancia-2.pdf

1 página
Anónimo

@Anónimo

He publicado nuevos examenes de 3º Análisis de Redes Eléctricas: Febrero-2022-Resuelto.pdf

4 páginas
Anónimo

@Anónimo

He publicado nuevos apuntes de 3º Análisis de Redes Eléctricas: Temario-Analisis-de-redes.pdf

105 páginas

examenes

-

Exámenes Resueltos

He publicado nuevos examenes de 3º Análisis de Redes Eléctricas: Exámenes Resueltos

2021Enero-Cuadripolos-Resonancia.pdf
2021Enero-Cuadripolos-Resonancia-Resuelto.pdf
2021Enero-CSB-RT.pdf
2021Enero-CSB-RT-Resuelto.pdf
2020Septiembre-R-C-Resuelto.pdf
2020Septiembre-Componentes-Simetricas.pdf

ejercicios

-

Relación Resonancia Resuelta

He publicado nuevos ejercicios de 3º Análisis de Redes Eléctricas: Relación Resonancia Resuelta

Parte-3.pdf
Parte-2.pdf
Parte-1.pdf
Parte-4.pdf

ejercicios

-

Relación Transitorio Resuelta

He publicado nuevos ejercicios de 3º Análisis de Redes Eléctricas: Relación Transitorio Resuelta

Parte-2.pdf
Parte-1.pdf
Parte-3.pdf
Enunciados.pdf

ejercicios

-

Relación Cuadripolos Resuelta

He publicado nuevos ejercicios de 3º Análisis de Redes Eléctricas: Relación Cuadripolos Resuelta

Relacion-2-Parte-1.pdf
Relacion-1-Parte-2.pdf
Tarea.pdf
Relacion-1-Parte-1.pdf
Relacion-2-Parte-2.pdf

practicas

-

Prácticas Resueltas

He publicado nuevos practicas de 3º Análisis de Redes Eléctricas: Prácticas Resueltas

ComponentesSimetricas.pdf
Transitorio.pdf
Resonancia.pdf

test

-

Tests y Kahoots

He publicado nuevos test de 3º Análisis de Redes Eléctricas: Tests y Kahoots

Tests-Ernesto-i.pdf
Tests-Ernesto-ii.pdf
Kahoot-iii.pdf
Kahoot-v.pdf
Kahoot-vii.pdf
Kahoot-i.pdf

apuntes

-

Análisis de Redes

He publicado nuevos apuntes de 3º Análisis de Redes Eléctricas: Análisis de Redes

Redes-practiccas-armonicos.pdf

examenes

-

Enunciado de Exámenes

He publicado nuevos examenes de 3º Análisis de Redes Eléctricas: Enunciado de Exámenes

ExamenARESep17.pdf
ExamenAREFeb17.pdf
ExamenAREDic16.pdf
Examen-Febrero-2019.pdf

He publicado nuevos examenes de 3º Análisis de Redes Eléctricas: imagetopdf3.pdf

15 páginas

He publicado nuevos ejercicios de 3º Análisis de Redes Eléctricas: imagetopdf2.pdf

20 páginas

He publicado nuevos ejercicios de 3º Análisis de Redes Eléctricas: imagetopdf.pdf

6 páginas
¡Estás al día!

¡Estás al día!

Has visto todos los archivos