chevron_left
chevron_right
Todo
Apuntes
Ejercicios
Exámenes
Prácticas
chevron_left
chevron_right

He publicado nuevos ejercicios de 2º Análisis de redes: RESOLUCION-EJERCICIOS-TEMA-4.pdf

11 páginas

He publicado nuevos ejercicios de 2º Análisis de redes: RESOLUCION-EJERCICIOS-TEMA-3.pdf

17 páginas

He publicado nuevos ejercicios de 2º Análisis de redes: Ejercicios-Tema-1-Circuitos-Lineales.pdf

22 páginas

He publicado nuevos ejercicios de 2º Análisis de redes: EJERCICIOS-TEMA-5-ANALISIS-DE-REDES.pdf

8 páginas

He publicado nuevos examenes de 2º Análisis de redes: EJERCICIOS-EXAMENES-ANALISIS-DE-REDES.pdf

19 páginas

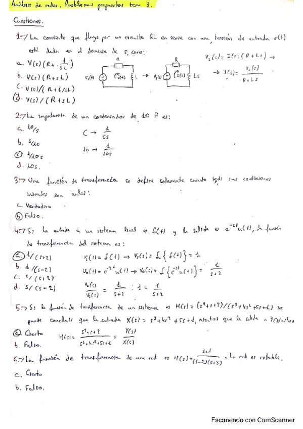
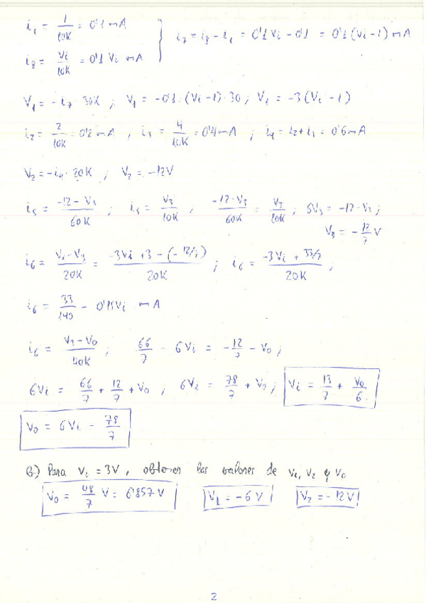
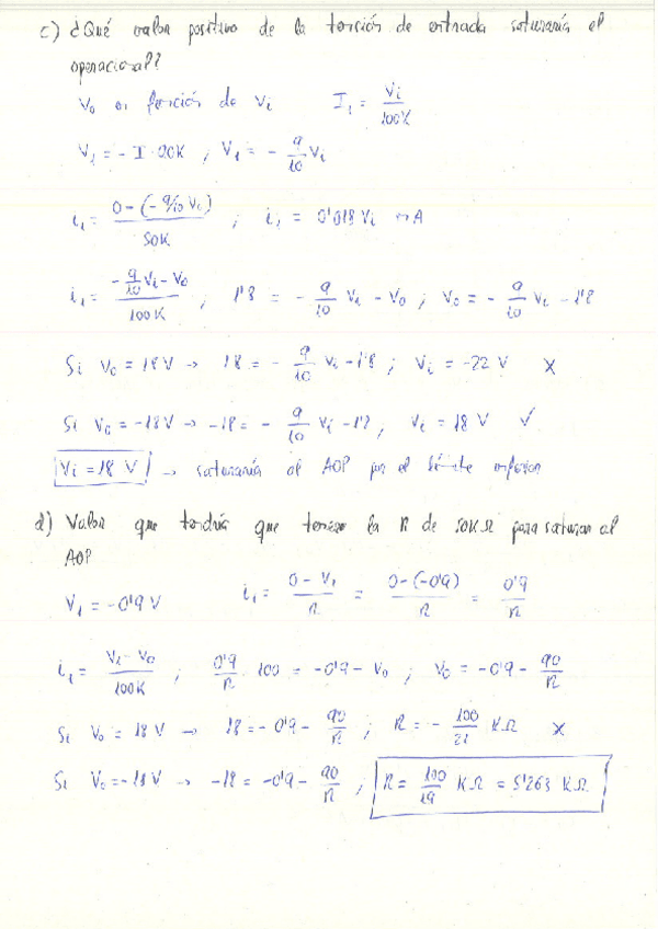
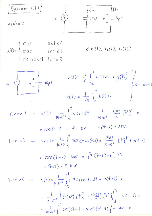
He publicado nuevos ejercicios de 2º Análisis de redes: PROBLEMAS-PROPUESTOS-TEMA-3.pdf

2 páginas

He publicado nuevos apuntes de 2º Análisis de redes: RESUMEN-TEMA-3-TRANSFORMADA-DE-LAPLACE-EN-CIRCUITOS.pdf

8 páginas

He publicado nuevos examenes de 2º Análisis de redes: ANALISIS-DE-REDES-PARCIAL-1.pdf

2 páginas

He publicado nuevos ejercicios de 2º Análisis de redes: PROBLEMAS-PROPUESTOS-TEMA-2.pdf

9 páginas

He publicado nuevos practicas de 2º Análisis de redes: PRACTICA-3-TRABAJO-PREVIO-Y-SIMULACION.pdf

9 páginas

He publicado nuevos ejercicios de 2º Análisis de redes: EJERCICIOS-TEMA-2-ANALISIS-DE-REDES.pdf

28 páginas

He publicado nuevos practicas de 2º Análisis de redes: PRACTICA-2-TRABAJO-PREVIO.pdf

4 páginas

He publicado nuevos ejercicios de 2º Análisis de redes: EJERCICIOS-PROPUESTOS-TEMA-1.pdf

10 páginas

He publicado nuevos ejercicios de 2º Análisis de redes: TEMA-1-EJERCICIOS.pdf

21 páginas

He publicado nuevos ejercicios de 2º Análisis de redes: 06AnalisisRedesEjerciciosSadiku.pdf

46 páginas

He publicado nuevos examenes de 2º Análisis de redes: 06AnalisisRedesParcial1Mayo2018.pdf

5 páginas

He publicado nuevos examenes de 2º Análisis de redes: 06AnalisisRedesParcial1Mayo2017.pdf

3 páginas

He publicado nuevos examenes de 2º Análisis de redes: 06AnalisisRedesParcial1Marzo2019.pdf

6 páginas

He publicado nuevos examenes de 2º Análisis de redes: 06AnalisisRedesParcial1Marzo2018.pdf

6 páginas

He publicado nuevos examenes de 2º Análisis de redes: 06AnalisisRedesParcial1Mayo2018.pdf

6 páginas

Cuadripolos,diodos,amplificadores...

35 páginas

He publicado nuevos practicas de 2º Análisis de redes: 06AnalisisRedesEjerciciosPracticas.pdf

15 páginas

He publicado nuevos apuntes de 2º Análisis de redes: 06AnalisisRedesResumenTeoria.pdf

7 páginas

He publicado nuevos ejercicios de 2º Análisis de redes: EjerciciosPropuestos1.pdf

8 páginas

apuntes

-

Ejercicio BODE

He publicado nuevos apuntes de 2º Análisis de redes: Ejercicio BODE

Ejercicios-Bode-2022-05-22-171735.pdf
Ejercicios-Bode-5-2022-05-22-172017.pdf
Ejercicios-Bode-4-2022-05-22-172016.pdf
¡Estás al día!

¡Estás al día!

Has visto todos los archivos