ANÁLISIS DE UNA VARIABLE REAL I

chevron_left
chevron_right
Todo
Apuntes
Ejercicios
Exámenes
chevron_left
chevron_right

examenes

-

Ejercicios de examen

He publicado nuevos examenes de 1º ANÁLISIS DE UNA VARIABLE REAL I: Ejercicios de examen

Enunciados.pdf
Solucionario.pdf

ejercicios

-

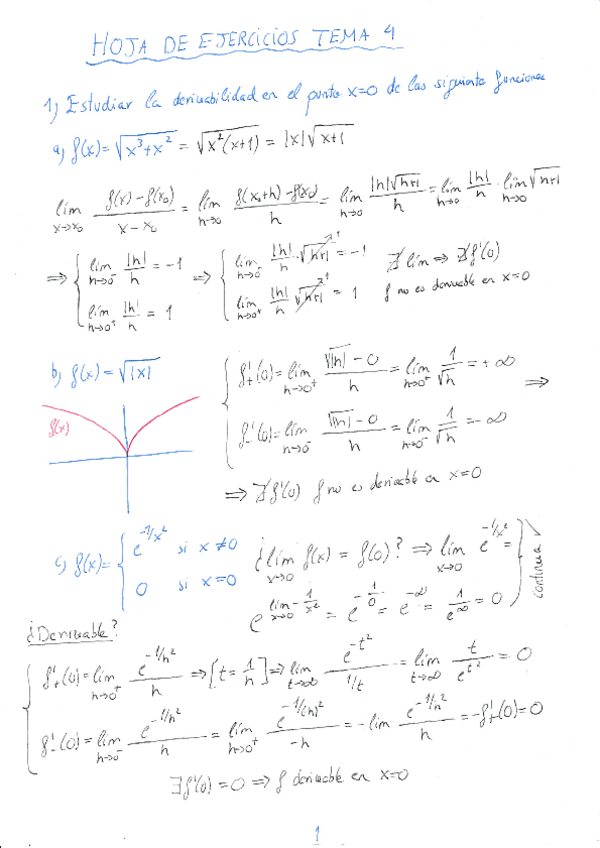
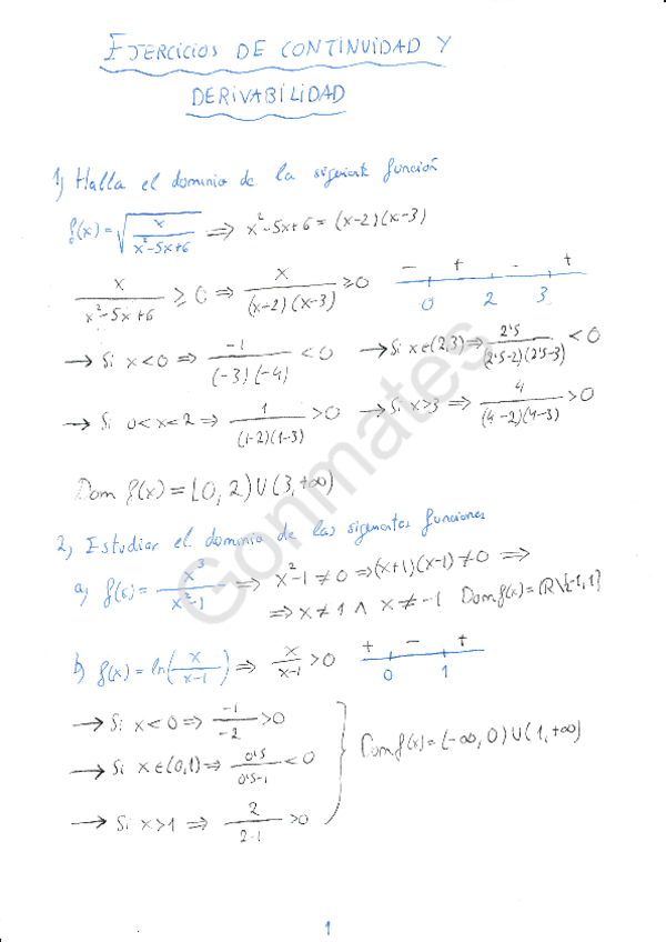
T4 Continuidad y derivabilidad de funciones

He publicado nuevos ejercicios de 1º ANÁLISIS DE UNA VARIABLE REAL I: T4 Continuidad y derivabilidad de funciones

Enunciados-Continuidad-y-derivabilidad-de-funciones.pdf
Miniatura no disponible
Sol-Continuidad-y-derivabilidad-de-funciones.pdf
Enunciados-Continuidad-y-derivabilidad-de-funciones-2.pdf
Sol-Derivabilidad-y-continuidad-2.pdf
Solucionario-continuidad-y-derivabilidad-de-funciones-1.pdf

ejercicios

-

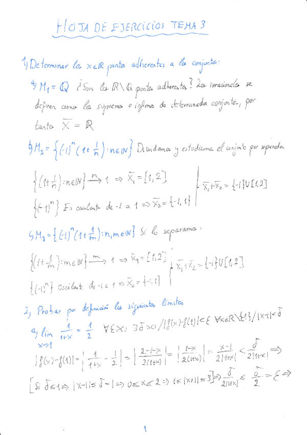
T3 Límites y continuidad de funciones

He publicado nuevos ejercicios de 1º ANÁLISIS DE UNA VARIABLE REAL I: T3 Límites y continuidad de funciones

Enunciados-Limites-y-continuidad-de-funciones.pdf
Sol-Limites-y-continuidad-de-funciones.pdf

ejercicios

-

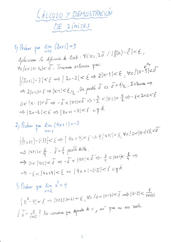
T2 Cálculo y demostración de límites

He publicado nuevos ejercicios de 1º ANÁLISIS DE UNA VARIABLE REAL I: T2 Cálculo y demostración de límites

Enunciados-calculo-y-demostracion-de-limites-1.pdf
Enunciados-y-resolucion-Calculo-y-demostracion-de-limites-2.pdf
Enunciados-y-resolucion-Calculo-y-demostracion-de-limites-3.pdf
Sol-Calculo-y-demostracion-de-limites-1.pdf

ejercicios

-

T4 Desarrollos de Taylor

He publicado nuevos ejercicios de 1º ANÁLISIS DE UNA VARIABLE REAL I: T4 Desarrollos de Taylor

Sol-Ejercicios-formula-Taylor.pdf
Enunciados-formula-Taylor.pdf

examenes

-

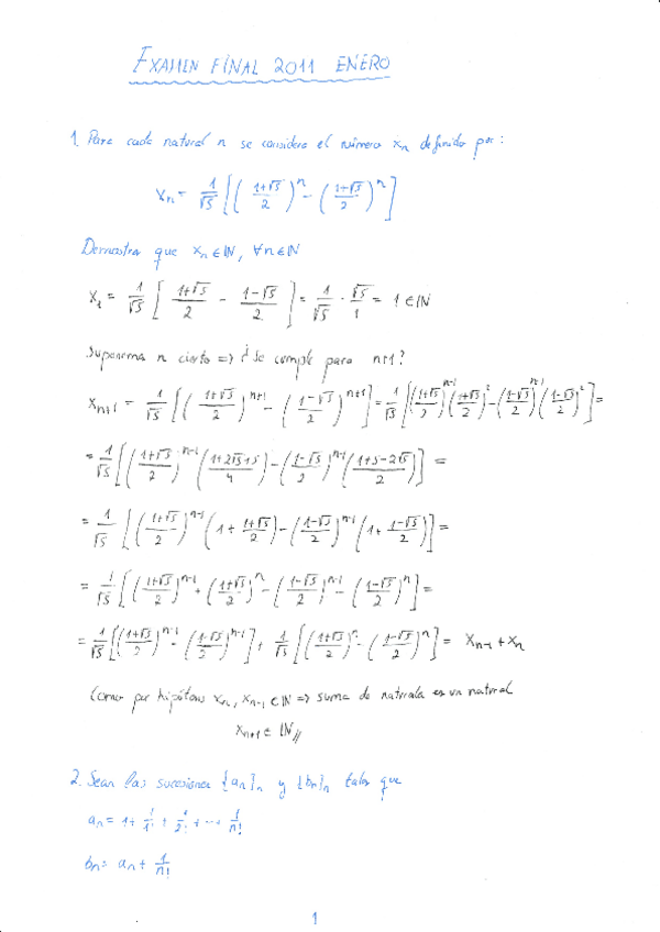
Exámenes resueltos

He publicado nuevos examenes de 1º ANÁLISIS DE UNA VARIABLE REAL I: Exámenes resueltos

Final-2011-Julio.pdf
Final-2019-Enero.pdf
Final-2021.pdf
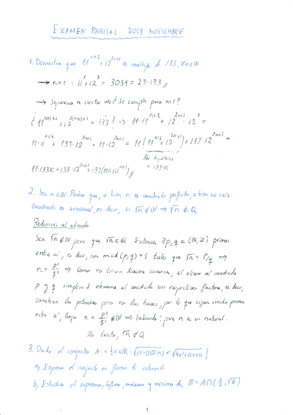
Parcial-2018-2019.pdf
Parcial-2018-Diciembre.pdf
Parcial-Nov-2019-2020.pdf

ejercicios

-

T1 Inducción matemática

He publicado nuevos ejercicios de 1º ANÁLISIS DE UNA VARIABLE REAL I: T1 Inducción matemática

Enunciados-induccion.pdf
Sol-Induccion.pdf
Ejercicios-de-induccion-y-sumatorios.pdf

apuntes

-

Apuntes Temario

He publicado nuevos apuntes de 1º ANÁLISIS DE UNA VARIABLE REAL I: Apuntes Temario

Apuntes-T1-T2-Los-No-Reales-Sucesiones.pdf
Apuntes-T3-Limites-y-continuidad-de-funciones.pdf

ejercicios

-

T1 Acotación de conjuntos

He publicado nuevos ejercicios de 1º ANÁLISIS DE UNA VARIABLE REAL I: T1 Acotación de conjuntos

Enunciados-Acotacion-de-conjuntos.pdf
Sol-Acotacion-de-conjuntos.pdf

He publicado nuevos apuntes de 1º ANÁLISIS DE UNA VARIABLE REAL I: Demos-AUVRI.pdf

59 páginas

He publicado nuevos apuntes de 1º ANÁLISIS DE UNA VARIABLE REAL I: Curso-completo-AUVRI.pdf

106 páginas

He publicado nuevos apuntes de 1º ANÁLISIS DE UNA VARIABLE REAL I: Herramientas-utiles-Tema-2.pdf

1 página

apuntes

-

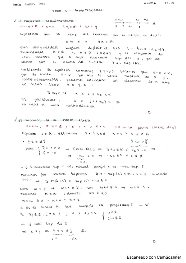
Demostraciones

He publicado nuevos apuntes de 1º ANÁLISIS DE UNA VARIABLE REAL I: Demostraciones

Demostraciones-Tema-1.pdf
Demostraciones-Tema-2.pdf
Demostraciones-Tema-3.pdf
Demostraciones-Tema-4.pdf

He publicado nuevos apuntes de 1º ANÁLISIS DE UNA VARIABLE REAL I: Demostraciones-T3.pdf

11 páginas

He publicado nuevos apuntes de 1º ANÁLISIS DE UNA VARIABLE REAL I: Demostraciones-T2.pdf

10 páginas

He publicado nuevos apuntes de 1º ANÁLISIS DE UNA VARIABLE REAL I: Demostraciones-T1.pdf

8 páginas

He publicado nuevos apuntes de 1º ANÁLISIS DE UNA VARIABLE REAL I: Tema-1.-Numeros-Reales.pdf

18 páginas

He publicado nuevos apuntes de 1º ANÁLISIS DE UNA VARIABLE REAL I: Tema-2.-Sucesiones-De-Numeros-Reales.pdf

27 páginas

He publicado nuevos apuntes de 1º ANÁLISIS DE UNA VARIABLE REAL I: Tema-3.pdf

28 páginas

He publicado nuevos ejercicios de 1º ANÁLISIS DE UNA VARIABLE REAL I

https://www.wuolah.com/apuntes/matematicas-2/ejercicios-funciones-derivadas-integrales-t-5-integrales-calculo-areas-pdf-9845789?utm_source=wuolah&utm_medium=referral&utm_campaign=file-sharefile&referral=Mga09041

He publicado nuevos ejercicios de 1º ANÁLISIS DE UNA VARIABLE REAL I

https://www.wuolah.com/apuntes/matematicas-2/ejercicios-funciones-derivadas-integrales-t-3-aplicaciones-derivada-docx-pdf-9845787?utm_source=wuolah&utm_medium=referral&utm_campaign=file-sharefile&referral=Mga09041

He publicado nuevos ejercicios de 1º ANÁLISIS DE UNA VARIABLE REAL I

https://www.wuolah.com/apuntes/matematicas-2/ejercicios-funciones-derivadas-integrales-t-4-representacion-funciones-pdf-9845788?utm_source=wuolah&utm_medium=referral&utm_campaign=file-sharefile&referral=Mga09041

He publicado nuevos ejercicios de 1º ANÁLISIS DE UNA VARIABLE REAL I

https://www.wuolah.com/apuntes/matematicas-2/ejercicios-funciones-derivadas-integrales-t-2-derivadas-derivabilidad-l-hopital-docx-pdf-9845786?utm_source=wuolah&utm_medium=referral&utm_campaign=file-sharefile&referral=Mga09041

He publicado nuevos ejercicios de 1º ANÁLISIS DE UNA VARIABLE REAL I

https://www.wuolah.com/apuntes/matematicas-2/ejercicios-funciones-derivadas-integrales-pau-analisis-i-funciones-num-pdf-9845783?utm_source=wuolah&utm_medium=referral&utm_campaign=file-sharefile&referral=Mga09041

He publicado nuevos ejercicios de 1º ANÁLISIS DE UNA VARIABLE REAL I

https://www.wuolah.com/apuntes/matematicas-2/ejercicios-funciones-derivadas-integrales-t-1-limites-continuidad-bolzano-pdf-9845785?utm_source=wuolah&utm_medium=referral&utm_campaign=file-sharefile&referral=Mga09041

He publicado nuevos ejercicios de 1º ANÁLISIS DE UNA VARIABLE REAL I

https://www.wuolah.com/apuntes/matematicas-2/ejercicios-funciones-derivadas-integrales-pau-analisis-i-optimizacion-pdf-9845784?utm_source=wuolah&utm_medium=referral&utm_campaign=file-sharefile&referral=Mga09041

examenes

-

Exámenes Parciales + Final Grado Mates

Exámenes resueltos a partir de alguna indicación del profesor

C2-AUVRI-23-24-Mates.pdf
Parcial-3-AUVRI-23-24.pdf
Parcial-2-AUVRI-23-24.pdf
Parcial-1-AUVRI-23-24.pdf
Anónimo

@Anónimo

He publicado nuevos ejercicios de 1º ANÁLISIS DE UNA VARIABLE REAL I: Ejerciciosapuntes-y-examenes.pdf

98 páginas

He publicado nuevos apuntes de 1º ANÁLISIS DE UNA VARIABLE REAL I: T-3.-Limites-y-continuidad.pdf

45 páginas

He publicado nuevos apuntes de 1º ANÁLISIS DE UNA VARIABLE REAL I: T-1.-Introduccion-axiomatica-de-los-reales..pdf

16 páginas

He publicado nuevos apuntes de 1º ANÁLISIS DE UNA VARIABLE REAL I: T-2.-Sucesiones-de-numeros-reales..pdf

28 páginas

He publicado nuevos apuntes de 1º ANÁLISIS DE UNA VARIABLE REAL I: EJERCICIOS-DE-DERIVADAS.pdf

3 páginas

He publicado nuevos apuntes de 1º ANÁLISIS DE UNA VARIABLE REAL I: APRENDIENDO-A-DERIVAR.pdf

6 páginas

He publicado nuevos apuntes de 1º ANÁLISIS DE UNA VARIABLE REAL I: RESUMEN-DE-ANALISIS-Y-REPRESENTACION-GRAFICA-DE-FUNCIONES.pdf

2 páginas

apuntes

-

apuntes Análisis I (por tema)

He publicado nuevos apuntes de 1º ANÁLISIS DE UNA VARIABLE REAL I: apuntes Análisis I (por tema)

Tema-1.-Analisis-de-una-variable-Real-I.pdf
t1-Introduccion-axiomatica-de-R.pdf
Combinatorios-Y-Binomio-De-Newton.pdf
t2-Sucesiones.pdf
t3-Continuidad.pdf
continuidadlimitefuncional.pdf

apuntes

-

apuntes Análisis I (toda la asignatura)

He publicado nuevos apuntes de 1º ANÁLISIS DE UNA VARIABLE REAL I: apuntes Análisis I (toda la asignatura)

APUNTES-ANIBAL.pdf
medias.pdf

He publicado nuevos examenes de 1º ANÁLISIS DE UNA VARIABLE REAL I: ejercicios-de-examen-AUVR-I.pdf

15 páginas
Anónimo

@Anónimo

examenes

-

Exámenes Análisis I

He publicado nuevos examenes de 1º ANÁLISIS DE UNA VARIABLE REAL I: Exámenes Análisis I

examen-C2-fisica-202122-corregido-1.pdf
Control-1.pdf
Parcial-11-11-2021.pdf
Parcial-corregido.pdf
Control-2-ampliado.pdf

He publicado nuevos apuntes de 1º ANÁLISIS DE UNA VARIABLE REAL I: ANALISISUNAVARIABLEREAL1apuntes.pdf

32 páginas

He publicado nuevos apuntes de 1º ANÁLISIS DE UNA VARIABLE REAL I: Ejs-W-de-Lambert.pdf

1 página

He publicado nuevos examenes de 1º ANÁLISIS DE UNA VARIABLE REAL I: parcial-mates-22-23.pdf

1 página

Parcial sucesión de Fibonacci resuelto

4 páginas

He publicado nuevos examenes de 1º ANÁLISIS DE UNA VARIABLE REAL I: Parcial-AUVR-I-noviembre-2020.pdf

7 páginas
Anónimo

@Anónimo

apuntes

-

Apuntes

He publicado nuevos apuntes de 1º ANÁLISIS DE UNA VARIABLE REAL I: Apuntes

Tema-4.pdf
Tema-3-Limites-y-continuidad-de-funciones-de-variable-real.pdf
Tema-4-Derivacion-de-funciones-reales-de-variable-real.pdf
Tema-1-Axiomatica-de-los-numeros-reales.pdf
Resumen-Temas-1-2-y-3.pdf
Resumen-Tema-4.pdf
Anónimo

@Anónimo

He publicado nuevos apuntes de 1º ANÁLISIS DE UNA VARIABLE REAL I: analisis-I.pdf

3 páginas
Anónimo

@Anónimo

apuntes

-

Material AUVR I

He publicado nuevos apuntes de 1º ANÁLISIS DE UNA VARIABLE REAL I: Material AUVR I

Resumen-Temas-1-2-y-3.pdf
Segundo-parcial.pdf
Resumen-Tema-4.pdf
Tema-3.pdf
Tema-4.pdf
Tema-2.pdf
¡Estás al día!

¡Estás al día!

Has visto todos los archivos