ANÁLISIS DE UNA VARIABLE REAL II

chevron_left
chevron_right
Todo
Apuntes
Ejercicios
Exámenes
chevron_left
chevron_right

apuntes

-

Apuntes temario

He publicado nuevos apuntes de 1º ANÁLISIS DE UNA VARIABLE REAL II: Apuntes temario

Tema-1-Calculo-de-primitivas.pdf
Tema-2-La-integral-definida.pdf
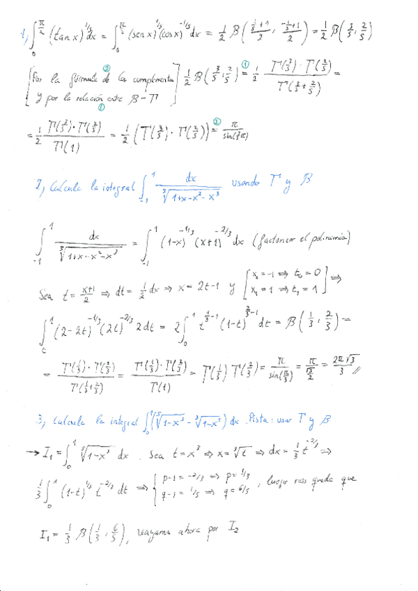
Tema-3-Integrales-impropias-funciones-de-Euler.pdf
Tema-4-Series-numericas.pdf

ejercicios

-

Tema 4: Series numéricas

He publicado nuevos ejercicios de 1º ANÁLISIS DE UNA VARIABLE REAL II: Tema 4: Series numéricas

Enunciados.pdf
Solucionario.pdf

ejercicios

-

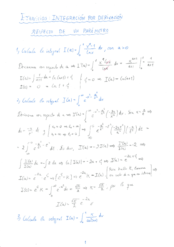
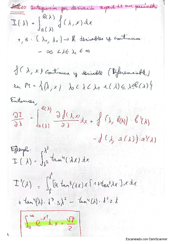
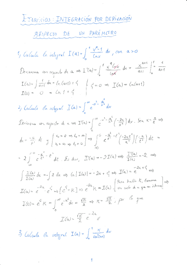
Funciones de Euler. Integración por derivación respecto de un parámetro.

He publicado nuevos ejercicios de 1º ANÁLISIS DE UNA VARIABLE REAL II: Funciones de Euler. Integración por derivación respecto de un parámetro.

Enunciados-funciones-de-Euler.pdf
Solucionario-funciones-de-Euler.pdf
Enunciados-Integracion-por-derivacion.pdf
Solucionario-Integracion-por-derivacion.pdf

ejercicios

-

Tema 3: Integrales impropias

He publicado nuevos ejercicios de 1º ANÁLISIS DE UNA VARIABLE REAL II: Tema 3: Integrales impropias

Enunciados.pdf
Solucionario.pdf

ejercicios

-

Cálculo de volúmenes y longitudes de curva

He publicado nuevos ejercicios de 1º ANÁLISIS DE UNA VARIABLE REAL II: Cálculo de volúmenes y longitudes de curva

Enunciados-areas-y-volumenes.pdf
Solucionario-areas-y-volumenes.pdf
Enunciados-calculo-de-longitudes-de-curvas.pdf
Solucionario-calculo-de-longitudes-de-curvas.pdf

ejercicios

-

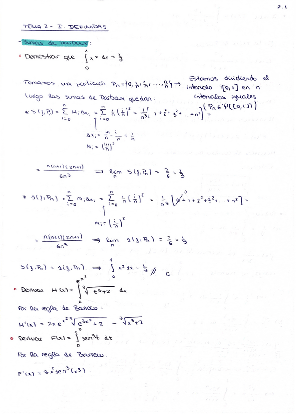
Tema 2: La integral definida

He publicado nuevos ejercicios de 1º ANÁLISIS DE UNA VARIABLE REAL II: Tema 2: La integral definida

Enunciados.pdf
Solucionario.pdf
Enunciados-integrales-como-sumas-infinitas.pdf
Solucionario-integrales-como-sumas-infinitas.pdf

ejercicios

-

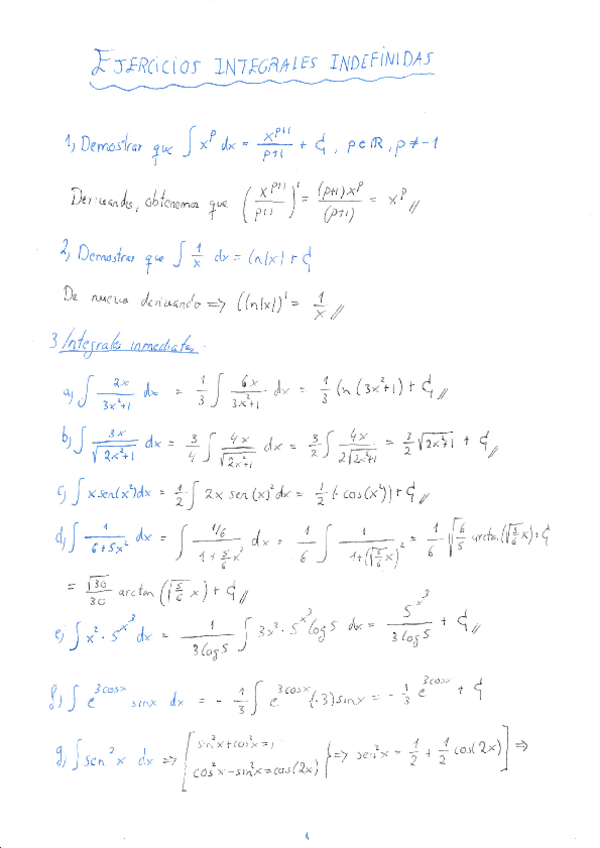
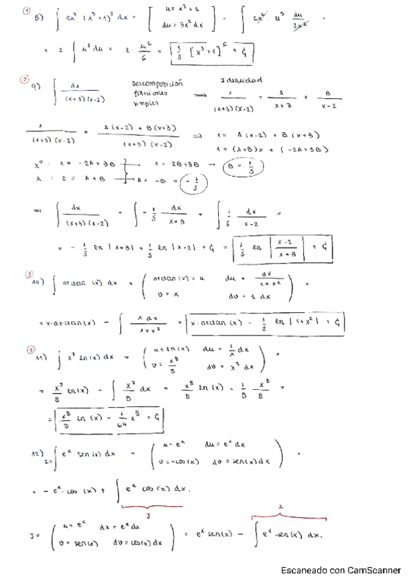
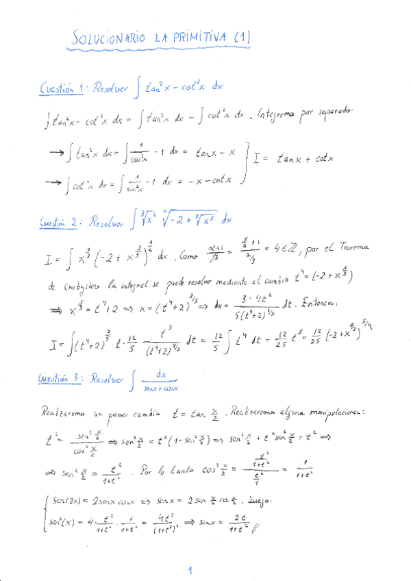
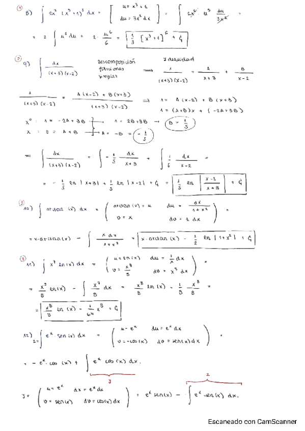
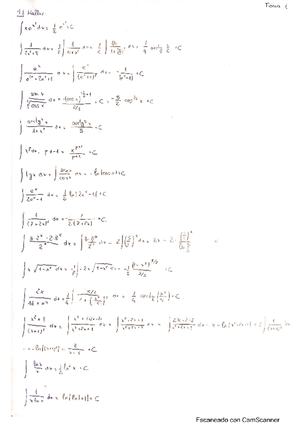
Tema 1: Cálculo de primitivas

He publicado nuevos ejercicios de 1º ANÁLISIS DE UNA VARIABLE REAL II: Tema 1: Cálculo de primitivas

Enunciados.pdf
Solucionario.pdf
Enunciados-ejercicios-de-examen.pdf
Solucionarios-ejercicios-de-examen.pdf

He publicado nuevos apuntes de 1º ANÁLISIS DE UNA VARIABLE REAL II: Demos-AUVRII-T1-y-T2.pdf

18 páginas

He publicado nuevos apuntes de 1º ANÁLISIS DE UNA VARIABLE REAL II: Esquema-primitivas.pdf

2 páginas

He publicado nuevos apuntes de 1º ANÁLISIS DE UNA VARIABLE REAL II: Funciones-eulerianas.pdf

10 páginas

He publicado nuevos apuntes de 1º ANÁLISIS DE UNA VARIABLE REAL II: Integracion-por-derivacion-respecto-de-un-parametro.pdf

4 páginas

He publicado nuevos apuntes de 1º ANÁLISIS DE UNA VARIABLE REAL II: Integral-definida-e-impropia.pdf

47 páginas

He publicado nuevos apuntes de 1º ANÁLISIS DE UNA VARIABLE REAL II: Series-numericas.pdf

29 páginas

apuntes

-

Material clases Conde AUVRII

He publicado nuevos apuntes de 1º ANÁLISIS DE UNA VARIABLE REAL II: Material clases Conde AUVRII

Definidas-ejs-clases-conde.pdf
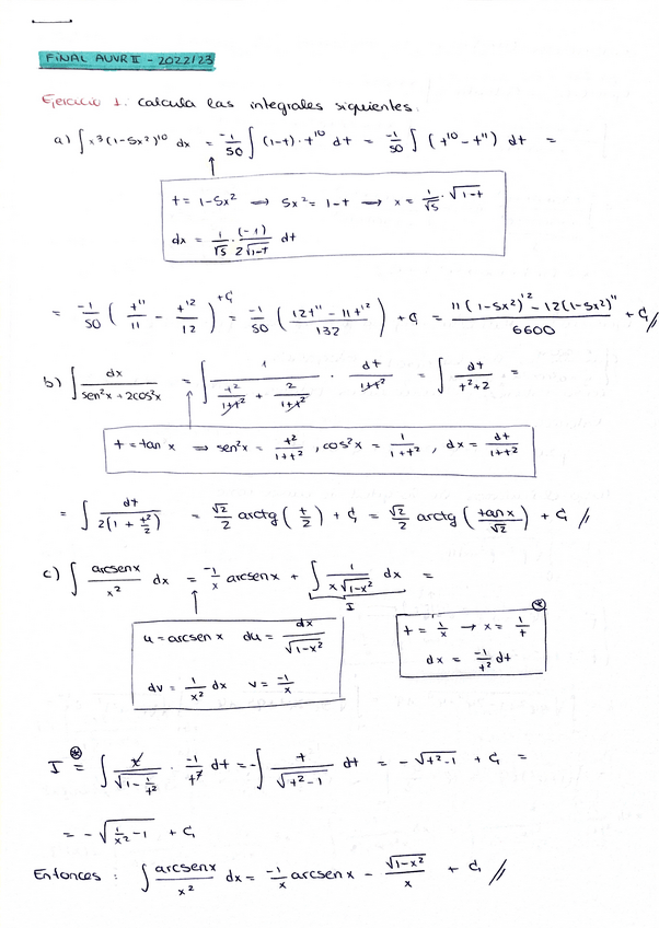
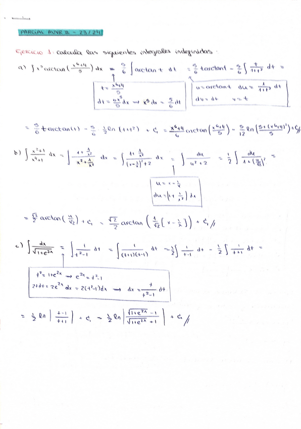
Examen-parcial-2023.pdf
Examen-Parcial-2024.pdf
Final-2023.pdf
Impropias-ejs-clases-conde.pdf
Indefinidas-ejs-clases-conde.pdf

He publicado nuevos ejercicios de 1º ANÁLISIS DE UNA VARIABLE REAL II: Ejercicios-clase-Tema-1.pdf

25 páginas

He publicado nuevos examenes de 1º ANÁLISIS DE UNA VARIABLE REAL II: ParcialAUVRII24Conde.pdf

6 páginas

He publicado nuevos apuntes de 1º ANÁLISIS DE UNA VARIABLE REAL II: ResumenT5AUVRII.pdf

4 páginas

He publicado nuevos apuntes de 1º ANÁLISIS DE UNA VARIABLE REAL II: ResumenT4AUVRII.pdf

10 páginas

He publicado nuevos apuntes de 1º ANÁLISIS DE UNA VARIABLE REAL II: ResumenT1AUVRII.pdf

8 páginas

He publicado nuevos apuntes de 1º ANÁLISIS DE UNA VARIABLE REAL II: ResumenT2AUVRII.pdf

9 páginas

apuntes

-

Apuntes Análisis 2

He publicado nuevos apuntes de 1º ANÁLISIS DE UNA VARIABLE REAL II: Apuntes Análisis 2

T1-Primitivas.pdf
T2-Integral-Definida.pdf
T3-Impropias.pdf
T4-Series.pdf

He publicado nuevos examenes de 1º ANÁLISIS DE UNA VARIABLE REAL II: Parcial-2022-2023.pdf

1 página
Anónimo

@Anónimo

examenes

-

Exámenes Análisis II

He publicado nuevos examenes de 1º ANÁLISIS DE UNA VARIABLE REAL II: Exámenes Análisis II

ExamenFinalJulio13072020.pdf
ExamenFinalJunio10062020-1.pdf
ExamenFinalJunio10062020.pdf

He publicado nuevos apuntes de 1º ANÁLISIS DE UNA VARIABLE REAL II: AUVRIIapuntes.pdf

40 páginas
Anónimo

@Anónimo

apuntes

-

Apuntes clase, resumen, ejercicios

He publicado nuevos apuntes de 1º ANÁLISIS DE UNA VARIABLE REAL II: Apuntes clase, resumen, ejercicios

T.1.-Apuntes-resumen-ejercicios.pdf
T.2.-Apuntes-resumen-ejercicios.pdf
T.3-Apuntes-resumen-ejercicios.pdf
T.4.-Apuntes-resumen-ejercicios.pdf
T.5.-Apuntes-resumen-ejercicios.pdf
T.6.-Apuntes-ejercicios.pdf

examenes

-

Exámenes 2014/2016

He publicado nuevos examenes de 1º ANÁLISIS DE UNA VARIABLE REAL II: Exámenes 2014/2016

Examenes-y-Parciales-2014-y-2015.pdf
Examen-Final-Mayo-2015.pdf
Examen-Final-Junio-2016.pdf

He publicado nuevos ejercicios de 1º ANÁLISIS DE UNA VARIABLE REAL II: Hoja-de-ejercicios-repaso-hasta-el-tema-2.pdf

8 páginas
Anónimo

@Anónimo

apuntes

-

Apuntes

He publicado nuevos apuntes de 1º ANÁLISIS DE UNA VARIABLE REAL II: Apuntes

Tema-2-ejercicios-1.pdf
Tema-1.pdf
Tema-4-ejercicios.pdf
Tema-2.pdf
Tema-3.pdf
Tema-5-ejercicios.pdf

He publicado nuevos apuntes de 1º ANÁLISIS DE UNA VARIABLE REAL II: integral-de-riemman.pdf

2 páginas
Anónimo

@Anónimo

He publicado nuevos apuntes de 1º ANÁLISIS DE UNA VARIABLE REAL II: Doc-Jul-01-2021.pdf

18 páginas
Anónimo

@Anónimo

apuntes

-

Material AUVR II

Apuntes y ejercicios de AUVR II

Tema-1.pdf
Tema-2.pdf
Tema-3-ejercicios.pdf
Tema-3.pdf
Tema-4-ejercicios.pdf
Tema-1-ejercicios.pdf
Anónimo

@Anónimo

He publicado nuevos apuntes de 1º ANÁLISIS DE UNA VARIABLE REAL II: integral.pdf

2 páginas

He publicado nuevos apuntes de 1º ANÁLISIS DE UNA VARIABLE REAL II: Tema1.zip

zip
¡Estás al día!

¡Estás al día!

Has visto todos los archivos