ANÁLISIS DE VARIABLE COMPLEJA

chevron_left
chevron_right
Todo
Apuntes
Ejercicios
Exámenes
Trabajos
chevron_left
chevron_right

He publicado nuevos apuntes de 3º ANÁLISIS DE VARIABLE COMPLEJA: ApuntesanalisiscomplejoInaky.pdf

61 páginas

He publicado nuevos apuntes de 3º ANÁLISIS DE VARIABLE COMPLEJA: Final-2023-resuelto.pdf

3 páginas

He publicado nuevos apuntes de 3º ANÁLISIS DE VARIABLE COMPLEJA: Final-2024-resuelto.pdf

3 páginas

He publicado nuevos apuntes de 3º ANÁLISIS DE VARIABLE COMPLEJA: Final-2022-resuelto.pdf

3 páginas

He publicado nuevos apuntes de 3º ANÁLISIS DE VARIABLE COMPLEJA: Final-2021-resuelto.pdf

3 páginas

He publicado nuevos apuntes de 3º ANÁLISIS DE VARIABLE COMPLEJA: Final-2020-resuelto.pdf

4 páginas

He publicado nuevos apuntes de 3º ANÁLISIS DE VARIABLE COMPLEJA: Final-2015-resuelto.pdf

4 páginas

He publicado nuevos apuntes de 3º ANÁLISIS DE VARIABLE COMPLEJA: final-2024-ie.pdf

7 páginas

He publicado nuevos examenes de 3º ANÁLISIS DE VARIABLE COMPLEJA: final-2022-ie.pdf

9 páginas

He publicado nuevos examenes de 3º ANÁLISIS DE VARIABLE COMPLEJA: final-2023-ie.pdf

9 páginas

He publicado nuevos examenes de 3º ANÁLISIS DE VARIABLE COMPLEJA: final-2015-ie.pdf

Miniatura no disponible
7 páginas

He publicado nuevos examenes de 3º ANÁLISIS DE VARIABLE COMPLEJA: final-2021-ie.pdf

9 páginas

He publicado nuevos apuntes de 3º ANÁLISIS DE VARIABLE COMPLEJA: pruebascomplejo2223.pdf

1 página

He publicado nuevos apuntes de 3º ANÁLISIS DE VARIABLE COMPLEJA: pruebascomplejo2324.pdf

2 páginas

He publicado nuevos trabajos de 3º ANÁLISIS DE VARIABLE COMPLEJA: fractales.pdf

5 páginas

apuntes

-

Teoría y Ejercicios Análisis Complejo

He publicado nuevos apuntes de 3º ANÁLISIS DE VARIABLE COMPLEJA: Teoría y Ejercicios Análisis Complejo

Bloque-1-El-cuerpo-de-los-numeros-complejos.pdf
Bloque-2-Integracion-compleja.pdf
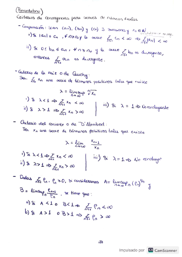
Bloque-3-Convergencia-de-series.pdf
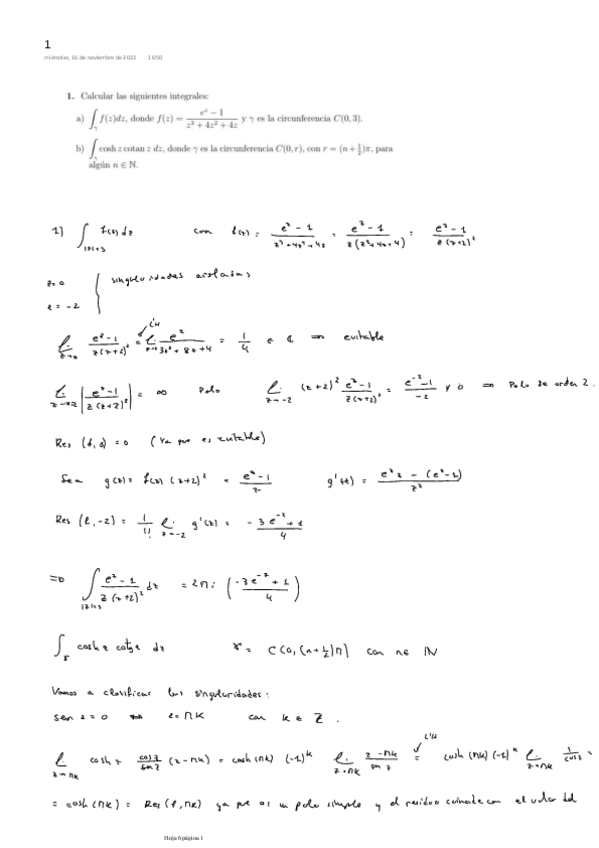
Bloque-4-Teoria-de-residuos.pdf
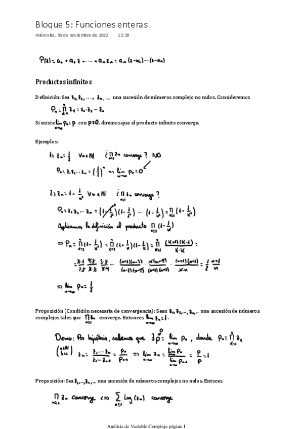
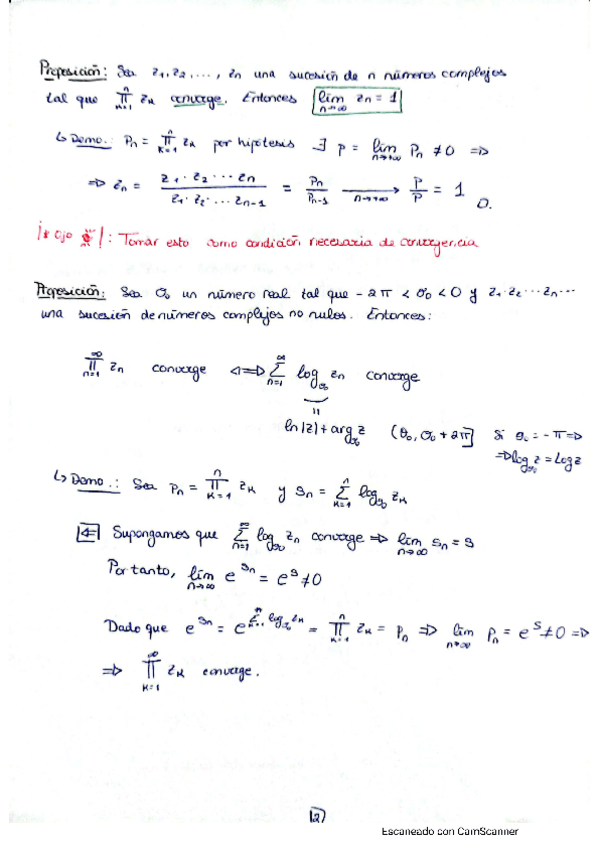
Bloque-5-Funciones-enteras.pdf
Hoja-1.pdf

apuntes

-

Apuntes Complejo

He publicado nuevos apuntes de 3º ANÁLISIS DE VARIABLE COMPLEJA: Apuntes Complejo

Bloque-III-convergencia-de-series.pdf
Bloque-II-integracion-compleja.pdf
Bloque-I-el-cuerpo-de-los-numeros-complejos.pdf

examenes

-

Exámenes

He publicado nuevos examenes de 3º ANÁLISIS DE VARIABLE COMPLEJA: Exámenes

Control-de-clase-24-de-septiembre.pdf
Enero-2015.pdf
Examen-diciembre-2020.pdf
Examen-octubre-2020.pdf
ExamenOctubre2019.pdf
Final-enero-2020.pdf

He publicado nuevos apuntes de 3º ANÁLISIS DE VARIABLE COMPLEJA: Bloque-V-Funciones-Enteras-teoria-y-ejercicios.pdf

26 páginas

He publicado nuevos apuntes de 3º ANÁLISIS DE VARIABLE COMPLEJA: Bloque-IV-Teoria-de-Residuos-teoria-y-ejercicios.pdf

26 páginas

He publicado nuevos apuntes de 3º ANÁLISIS DE VARIABLE COMPLEJA: Bloque-III-Convergencia-de-series-teoria-y-ejercicios.pdf

20 páginas

He publicado nuevos apuntes de 3º ANÁLISIS DE VARIABLE COMPLEJA: Bloque-II-Integracion-compleja-sin-ejercicios.pdf

23 páginas

He publicado nuevos apuntes de 3º ANÁLISIS DE VARIABLE COMPLEJA: Bloque-I-El-cuerpo-de-los-numeros-comple-teoria-y-ejercicios.pdf

30 páginas

He publicado nuevos apuntes de 3º ANÁLISIS DE VARIABLE COMPLEJA: AVCapuntes.pdf

39 páginas

Apuntes pasados a latex de los 5 bloques

58 páginas
Anónimo

@Anónimo

ejercicios

-

Ejercicios Variable Compleja

He publicado nuevos ejercicios de 3º ANÁLISIS DE VARIABLE COMPLEJA: Ejercicios Variable Compleja

Hoja-1.pdf
Hoja-2.pdf
Hoja-3.pdf
Hoja-4.pdf
Hoja-5.pdf
Hoja-6.pdf
Anónimo

@Anónimo

apuntes

-

Apuntes Completos Variable Compleja

He publicado nuevos apuntes de 3º ANÁLISIS DE VARIABLE COMPLEJA: Apuntes Completos Variable Compleja

Tema-1.pdf
Tema-2.pdf
Tema-3.pdf
Tema-4.pdf
Tema-5.pdf
Anónimo

@Anónimo

apuntes

-

Apuntes completos

He publicado nuevos apuntes de 3º ANÁLISIS DE VARIABLE COMPLEJA: Apuntes completos

Hoja-4.pdf
Hoja-5.pdf
Hoja-1.pdf
Hoja-2.pdf
Hoja-7.pdf
Hoja-6.pdf
¡Estás al día!

¡Estás al día!

Has visto todos los archivos