Análisis del Discurso Oral en Español

chevron_left
chevron_right
Todo
Apuntes
chevron_left
chevron_right

Hay cosas de otros temas en "nociones básicas" porque el tema al que pertenezcan es irrelevante

15 páginas

He publicado nuevos apuntes de 4º Análisis del Discurso Oral en Español: Cortesiadescortesia-verbal-Leech-y-Lakoff.pdf

2 páginas

He publicado nuevos apuntes de 4º Análisis del Discurso Oral en Español: Grice-y-el-principio-de-cooperacion.pdf

7 páginas

He publicado nuevos apuntes de 4º Análisis del Discurso Oral en Español: La-teoria-de-la-relevancia-de-Sperber-y-Wilson.pdf

4 páginas

He publicado nuevos apuntes de 4º Análisis del Discurso Oral en Español: Metapragmatica-y-la-ironia.pdf

3 páginas

He publicado nuevos apuntes de 4º Análisis del Discurso Oral en Español: La-teoria-de-la-argumentacion-de-Anscombre-y-Ducot.pdf

5 páginas

apuntes

-

Análisis del discurso oral en español

He publicado nuevos apuntes de 4º Análisis del Discurso Oral en Español: Análisis del discurso oral en español

1.-LA-PRAGMATICA.pdf
2.-COMPONENTES-MATERIALES.pdf
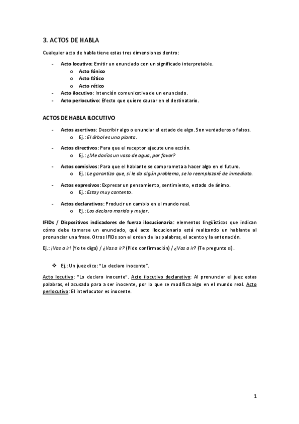
3.-ACTOS-DE-HABLA.pdf
4.-GRICE-Y-EL-PRINCIPIO-DE-COOPERACION.pdf
5.-PRAGMATICA-Y-METAPRAGMATICA.-LA-IRONIA-LINGUISTICA.pdf
6.-TEORIA-DE-LA-ARGUMENTACION.pdf

He publicado nuevos apuntes de 4º Análisis del Discurso Oral en Español: Analisis-del-Discurso-Oral.pdf

6 páginas

He publicado nuevos apuntes de 4º Análisis del Discurso Oral en Español: La-teoria-de-los-actos-de-habla-de-Searle.pdf

3 páginas

He publicado nuevos apuntes de 4º Análisis del Discurso Oral en Español: Introduccion-a-la-pragmatica-y-conceptos-basicos.pdf

4 páginas

He publicado nuevos apuntes de 4º Análisis del Discurso Oral en Español: Ejemplos-de-violaciones-de-maximas.pdf

1 página

He publicado nuevos apuntes de 4º Análisis del Discurso Oral en Español: Implicaturas-y-maximas.pdf

1 página

He publicado nuevos apuntes de 4º Análisis del Discurso Oral en Español: Implicaturas-conversacionales.pdf

1 página

He publicado nuevos apuntes de 4º Análisis del Discurso Oral en Español: Tipos-de-contenidos-implicitos.pdf

1 página

He publicado nuevos apuntes de 4º Análisis del Discurso Oral en Español: Principio-de-cooperacion-y-maximas-de-Grice.pdf

1 página

He publicado nuevos apuntes de 4º Análisis del Discurso Oral en Español: H.-P.-Grice.pdf

1 página

He publicado nuevos apuntes de 4º Análisis del Discurso Oral en Español: Problema-del-acto-indirecto.pdf

1 página

He publicado nuevos apuntes de 4º Análisis del Discurso Oral en Español: Condiciones-de-adecuacion-de-los-actos-ilocutivos.pdf

1 página

He publicado nuevos apuntes de 4º Análisis del Discurso Oral en Español: Tipos-de-actos-de-habla-ilocutivos.pdf

1 página

He publicado nuevos apuntes de 4º Análisis del Discurso Oral en Español: Fuerza-ilocutiva-y-forma-linguistica.pdf

1 página

He publicado nuevos apuntes de 4º Análisis del Discurso Oral en Español: Searle-y-la-teoria-de-los-actos-de-habla.pdf

1 página

He publicado nuevos apuntes de 4º Análisis del Discurso Oral en Español: Acto-locutivo-ilocutivo-y-perlocutivo.pdf

1 página

He publicado nuevos apuntes de 4º Análisis del Discurso Oral en Español: Ejemplos-de-infortunio.pdf

1 página

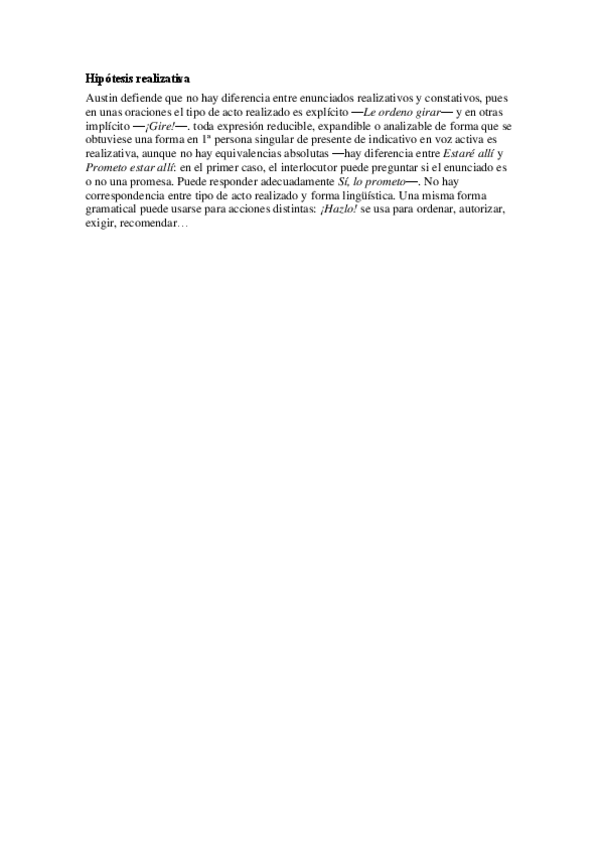
He publicado nuevos apuntes de 4º Análisis del Discurso Oral en Español: Hipotesis-realizativa.pdf

1 página

He publicado nuevos apuntes de 4º Análisis del Discurso Oral en Español: Infortunios.pdf

1 página

He publicado nuevos apuntes de 4º Análisis del Discurso Oral en Español: Palabras-y-acciones.pdf

1 página

He publicado nuevos apuntes de 4º Análisis del Discurso Oral en Español: Distincion-entre-oracion-y-enunciado.pdf

1 página

He publicado nuevos apuntes de 4º Análisis del Discurso Oral en Español: Falacia-descriptiva.pdf

1 página

He publicado nuevos apuntes de 4º Análisis del Discurso Oral en Español: Austin.-Contra-el-verificacionismo.pdf

1 página

He publicado nuevos apuntes de 4º Análisis del Discurso Oral en Español: actos-del-habla.pdf

11 páginas

He publicado nuevos apuntes de 4º Análisis del Discurso Oral en Español: EL-ESTUDIO-DE-LA-CORTESIA.pdf

7 páginas

He publicado nuevos apuntes de 4º Análisis del Discurso Oral en Español: principio-de-cooperacion.pdf

4 páginas

He publicado nuevos apuntes de 4º Análisis del Discurso Oral en Español: teoria.pdf

11 páginas

He publicado nuevos apuntes de 4º Análisis del Discurso Oral en Español: teoria-parte-1.pdf

11 páginas
¡Estás al día!

¡Estás al día!

Has visto todos los archivos