Análisis Instrumental
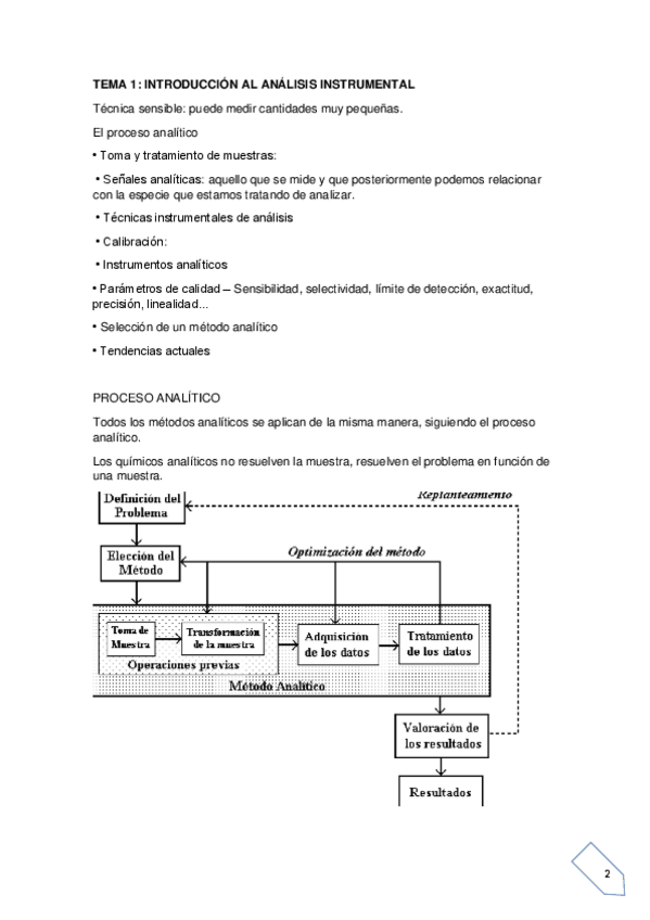
Todo
Apuntes
chevron_left
chevron_right
He publicado nuevos apuntes de 3º Análisis Instrumental: ANALISIS-INSTRUMENTAL-APUNTES.pdf
He publicado nuevos apuntes de 3º Análisis Instrumental: Apuntes-completos.pdf
He publicado nuevos apuntes de 3º Análisis Instrumental: ANALISIS-INSTRUMENTAL-APUNTES.pdf
He publicado nuevos apuntes de 3º Análisis Instrumental: Apuntes-completos.pdf