Todo
Apuntes
Preguntas
Ejercicios
Exámenes
Otros
PEC
Prácticas
publication
Test
Trabajos
chevron_left
chevron_right

apuntes

-

Análisis Matemático II

He publicado nuevos apuntes de 1º Análisis Matemático I: Análisis Matemático II

Tema-2-Analisis-Integral-de-Riemann.pdf
Teoria-Parcial-sin-fondo.pdf

Modelo parcial de analisis matemático I (Funciones, limites, derivadas, teoremas)

Imagen

Modelo parcial de analisis matemático I (Funciones, limites, derivadas, teoremas)

Imagen

Apuntes completos del Tema 2 de Análisis Matemático I (25/26). Incluye teoría y ejercicios resueltos. Grado en Ingeniería Física y Matemática (ULPGC).

26 páginas

Apuntes completos del Tema 3 y 4 de Análisis Matemático I (25/26). Teoría y ejemplos + Ejercicios Tema 3 Grado en Ingeniería Física y Matemática (ULPGC).

12 páginas

He publicado nuevos ejercicios de 1º Análisis Matemático I: Guia-Introductoria-de-Axiomas-de-Cuerpo.pdf

2 páginas

He publicado nuevos ejercicios de 1º Análisis Matemático I: Guia-Introductoria-de-Ecuaciones.pdf

2 páginas

He publicado nuevos ejercicios de 1º Análisis Matemático I: Guia-Introductoria-de-Axiomas-de-Orden.pdf

2 páginas

He publicado nuevos ejercicios de 1º Análisis Matemático I: Guia-Introductoria-de-Valor-Absoluto.pdf

2 páginas

He publicado nuevos ejercicios de 1º Análisis Matemático I: Guia-Introductoria-de-Propiedad-del-SupremoNI.pdf

2 páginas

He publicado nuevos ejercicios de 1º Análisis Matemático I: Guia-Introductoria-de-Sucesiones.pdf

3 páginas

He publicado nuevos ejercicios de 1º Análisis Matemático I: Guia-Introductoria-de-Limites-de-Sucesiones.pdf

2 páginas

He publicado nuevos ejercicios de 1º Análisis Matemático I: Guia-Introductoria-de-Funciones.pdf

2 páginas

He publicado nuevos ejercicios de 1º Análisis Matemático I: Guia-Introductoria-de-Limites-de-Funciones.pdf

2 páginas

He publicado nuevos ejercicios de 1º Análisis Matemático I: Guia-Introductoria-de-Continuidad.pdf

2 páginas

He publicado nuevos ejercicios de 1º Análisis Matemático I: Guia-Introductoria-de-Continuidad-Uniforme.pdf

2 páginas

He publicado nuevos ejercicios de 1º Análisis Matemático I: Guia-Introductoria-de-Diferenciabilidad.pdf

3 páginas

He publicado nuevos ejercicios de 1º Análisis Matemático I: Guia-Introductoria-de-Regla-de-la-Cadena-y-Teorema-de-la-Funcion-Inversa.pdf

2 páginas

He publicado nuevos ejercicios de 1º Análisis Matemático I: Guia-Introductoria-de-Analisis-de-Curvas.pdf

2 páginas

He publicado nuevos ejercicios de 1º Análisis Matemático I: Guia-Introductoria-de-TVM-Rolle-y-Aplicaciones.pdf

2 páginas

He publicado nuevos ejercicios de 1º Análisis Matemático I: Guia-Introductoria-de-Regla-de-LHopital.pdf

2 páginas

He publicado nuevos ejercicios de 1º Análisis Matemático I: Guia-Introductoria-de-Derivadas-de-Orden-Superior-y-Series-de-Taylor.pdf

3 páginas

examenes

-

Examens Finals amb solució

En aquesta carpeta trobaràs exàmens finals d’AM I d’altres cursos per poder practicar amb el mateix nivell d’exigència que et trobaràs a la prova real. ? AM I és una assignatura exigent on molts estudiants tenen dificultats, especialment si no practiquen

2na25-26VerAambsolucio.pdf
2na25-26VerBambsolucio.pdf
AnalisiMatematicaIURVA.pdf
AnalisiMatematicaIURVB.pdf
ExamenGlobal23-24Aambsolucio.pdf
ExamenGlobal23-24Bambsolucio.pdf

Apuntes completos del Tema 1 - Estructura Euclídea y Topología - Análisis Matemático I (25/26). Incluye teoría y ejercicios resueltos. Grado en Ingeniería Física y Matemática (ULPGC). ‼️También Disponible Temas 2, 3, 4 en mi perfil ‼️

23 páginas

He publicado nuevos ejercicios de 1º Análisis Matemático I: Guia-de-Teoremas-Relativos-a-Diferenciacion.pdf

2 páginas

He publicado nuevos ejercicios de 1º Análisis Matemático I: Guia-de-Calculo-de-Derivadas.pdf

2 páginas

He publicado nuevos ejercicios de 1º Análisis Matemático I: Guia-de-Diferenciabilidad.pdf

2 páginas

He publicado nuevos ejercicios de 1º Análisis Matemático I: Guia-de-Continuidad.pdf

2 páginas

He publicado nuevos ejercicios de 1º Análisis Matemático I: Guia-de-Limites-de-Funciones.pdf

2 páginas

He publicado nuevos ejercicios de 1º Análisis Matemático I: Guia-de-Sucesiones-de-Cauchy.pdf

2 páginas

He publicado nuevos ejercicios de 1º Análisis Matemático I: Guia-de-Sucesiones-y-Limites.pdf

2 páginas

He publicado nuevos ejercicios de 1º Análisis Matemático I: Guia-de-Propiedades-del-Supremo.pdf

2 páginas

He publicado nuevos ejercicios de 1º Análisis Matemático I: Guia-de-Axiomas-de-Cuerpo-y-Orden.pdf

2 páginas

examenes

-

Exámenes Finales Resueltos

He publicado nuevos examenes de 2º Análisis Matemático I: Exámenes Finales Resueltos

Enero-2025-Resuelto.pdf
Enero-2026-Resuelto.pdf
Febrero-2025-Resuelto.pdf
Enero-2022-Resuelto.pdf
Enero-2021-Resuelto.pdf
Febrero-2026-Resuelto.pdf

He publicado nuevos apuntes de 1º Análisis Matemático I: TrucosCalculoUNEDEsquemaMental.pdf

2 páginas

apuntes

-

Exámenes resueltos

He publicado nuevos apuntes de 1º Análisis Matemático I: Exámenes resueltos

ExamenFinalN1sol.pdf
ExamenFinalNUEGui2sol.pdf
ExamenFinal2sol.pdf
ExamenFinal1sol.pdf
Nacional.pdf

He publicado nuevos examenes de 1º Análisis Matemático I: Examen-Final-Analisis-1.pdf

1 página
Anónimo

@Anónimo

He publicado nuevos examenes de 1º Análisis Matemático I: Parcial-II-resuelto.pdf

5 páginas
Anónimo

@Anónimo

He publicado nuevos ejercicios de 1º Análisis Matemático I: Entregas-analisis-G.6.pdf

32 páginas

He publicado nuevos apuntes de 1º Análisis Matemático I: Apuntes-clase-Analisis-I.pdf

95 páginas
Anónimo

@Anónimo

Examen extraordinario 2026 resuelto por el profesor

5 páginas

He publicado nuevos apuntes de 1º Análisis Matemático I: Formulario-examen.pdf

6 páginas

Apuntes desde derivadas hasta integrales

22 páginas

He publicado nuevos apuntes de 1º Análisis Matemático I: FORMULARIO-ANALISIS-MATEMATICA-1.pdf

1 página

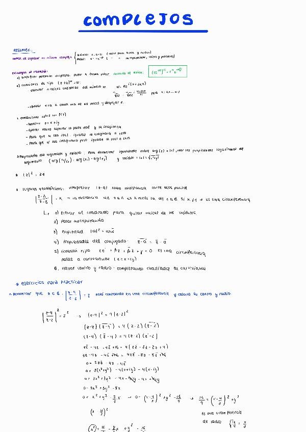
He publicado nuevos apuntes de 1º Análisis Matemático I: NUMEROS-COMPLEJOS.pdf

9 páginas

He publicado nuevos apuntes de 1º Análisis Matemático I: NUMEROS-REALES.pdf

7 páginas

He publicado nuevos apuntes de 1º Análisis Matemático I: PARCIAL-2025.pdf

2 páginas

Enunciados de la primera parte del examen de Análisis I de la segunda convocatoria

1 página

Enunciados de la segunda parte del examen de Análisis I de la segunda convocatoria

1 página

He publicado nuevos examenes de 2º Análisis Matemático I: ExtraordinarioAnalisisMatematicoI2526.pdf

1 página
Anónimo

@Anónimo

Ejercicios tipo examen sobre integrales.

12 páginas

examenes

-

Exámenes Análisis I

He publicado nuevos examenes de 1º Análisis Matemático I: Exámenes Análisis I

Examen-Analisis-I-Evaluacion-ordinaria.pdf
Examen-Primer-Parical-Analisis-I.pdf
Examen-Segundo-Parcial-Analisis-I.pdf

Teoría fundamental para el examen

12 páginas

He publicado nuevos examenes de 1º Análisis Matemático I: Ex-Enero-AMI-202526.pdf

6 páginas
Anónimo

@Anónimo

Resumen teórico y ejercicios tipo examen del tema de funciones. Incluye estudios de monotonía con derivadas, optimización, funciones integrales con el TFC y buscar número de 0 (usando los teoremas).

12 páginas
Anónimo

@Anónimo

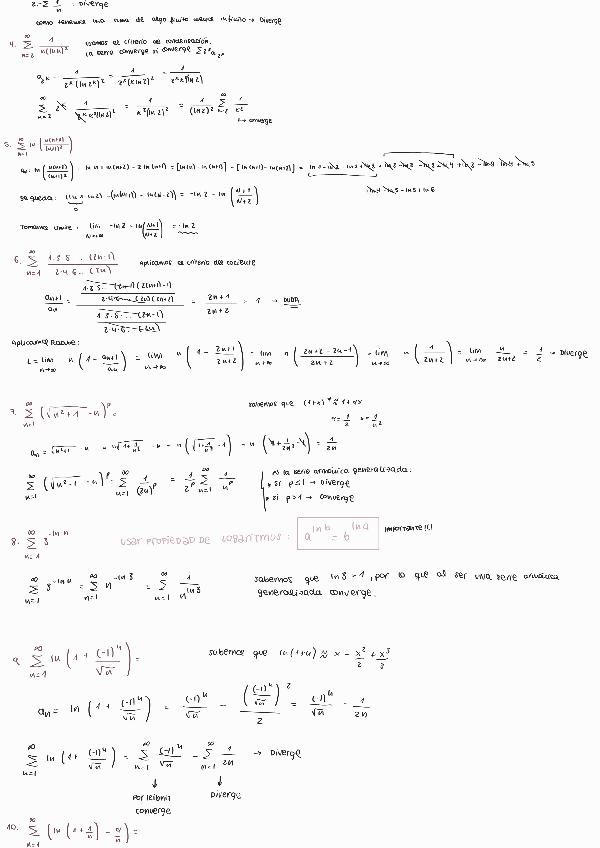
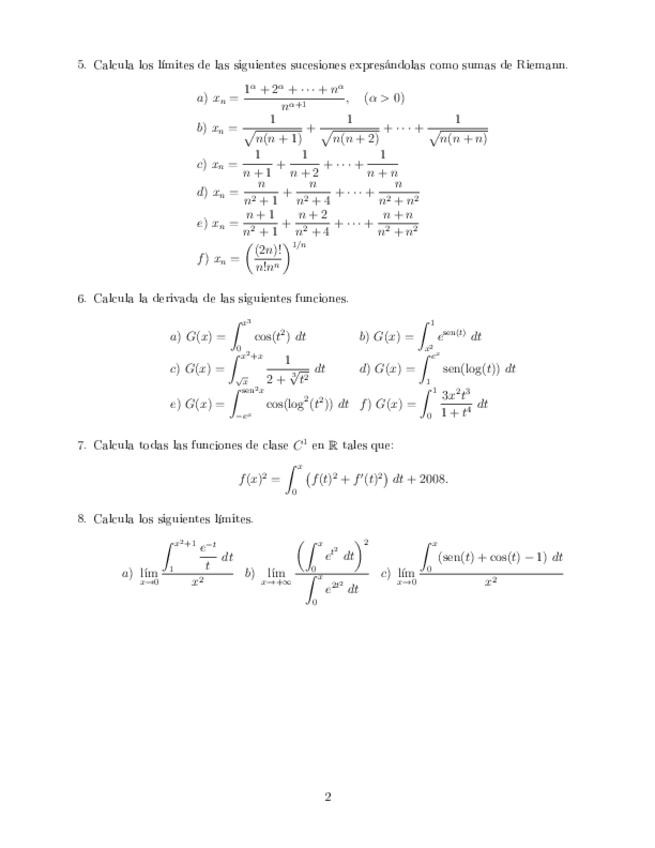
Ejercicios tipo examen sobre series: series con parámetros, taylor, criterios, cálculo de sumas...

7 páginas

He publicado nuevos apuntes de 1º Análisis Matemático I: Tema-2-Sucesiones-y-Series.pdf

14 páginas

He publicado nuevos apuntes de 1º Análisis Matemático I: Tema-1-Numeros.pdf

9 páginas
Anónimo

@Anónimo

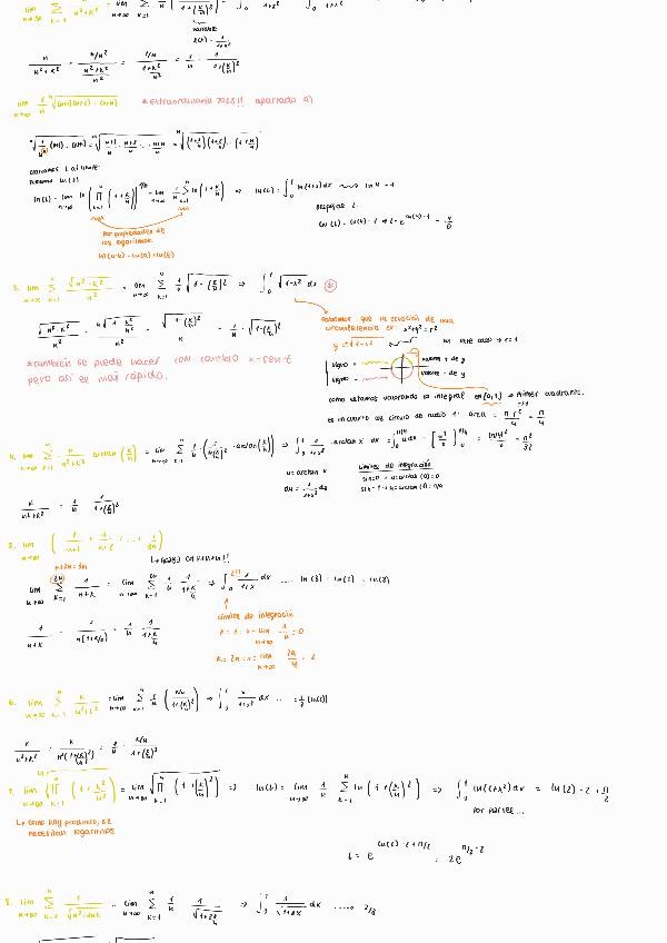
Ejercicios sobre el tema de sucesiones, de límites por Stolz, cociente, regla del número e... También incluye ejercicios de demostrar convergencia y de sumas de Riemann y polinomios de Taylor para resolver límites.

8 páginas

examenes

-

Exámenes finales resueltos

Exámenes ordinarios y extraordinarios de otros años resueltos analisis

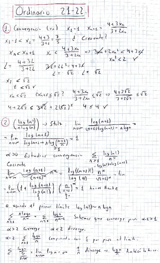
Extraordinario-21-22.pdf
Extraordinario-24-25.pdf
Ordinario-19-20.pdf
Ordinario-21-22-otro.pdf
Ordinario-21-22.pdf
Ordinario-22-23.pdf