chevron_left
chevron_right
Todo
Apuntes
Ejercicios
Exámenes
chevron_left
chevron_right

examenes

-

Examens Finals amb solució

En aquesta carpeta trobaràs exàmens finals d’AM I d’altres cursos per poder practicar amb el mateix nivell d’exigència que et trobaràs a la prova real. ? AM I és una assignatura exigent on molts estudiants tenen dificultats, especialment si no practiquen

2na25-26VerAambsolucio.pdf
2na25-26VerBambsolucio.pdf
AnalisiMatematicaIURVA.pdf
AnalisiMatematicaIURVB.pdf
ExamenGlobal23-24Aambsolucio.pdf
ExamenGlobal23-24Bambsolucio.pdf

He publicado nuevos apuntes de 1º Análisis Matemático I: FORMULARIO-ANALISIS-MATEMATICA-1.pdf

1 página

He publicado nuevos apuntes de 1º Análisis Matemático I: NUMEROS-COMPLEJOS.pdf

9 páginas

He publicado nuevos apuntes de 1º Análisis Matemático I: NUMEROS-REALES.pdf

7 páginas

He publicado nuevos apuntes de 1º Análisis Matemático I: PARCIAL-2025.pdf

2 páginas

apuntes

-

apunts:// TARDA AM1

He publicado nuevos apuntes de 1º Análisis Matemático I: APUNTS: TARDA AM1

u4.Derivales.pdf
U3bis.limitsalgebraindeterminacions.pdf
U3funcreals.pdf
U3func.elementals.pdf
U2Complexosv1.pdf
U1Realsv12.pdf

examenes

-

Primer_Parcial_25-26_amb_solucio

He publicado nuevos examenes de 1º Análisis Matemático I: Primer_Parcial_25-26_amb_solucio

PrimerParcial25-26VerBambsolucio.pdf
PrimerParcial25-26VerAambsolucio.pdf

Notación Binómica, Operaciones con complejos, Propiedades, Radianes, Conversión de Binómica a Polar, Operaciones en Notación polar, Forma exponencial.

5 páginas

He publicado nuevos apuntes de 1º Análisis Matemático I: T1.-Numeros-reales.pdf

8 páginas

apuntes

-

Reals TEMA 1 AM1

He publicado nuevos apuntes de 1º Análisis Matemático I: Reals TEMA 1 AM1

Reales.pdf
PruebaTeoremaValorAbosluto.pdf
Problemes.pdf
U1Realsv11.pdf
1-Classe-Induccio.pdf

apuntes

-

TEORIA_AM_I

He publicado nuevos apuntes de 1º Análisis Matemático I: TEORIA_AM_I

02NumeroComplex-modificado.pdf
03FuncionsReals.pdf
05Derivacio.pdf
06ApDerivada.pdf
07OptimtzacioTaylor.pdf
09FuncionsPrimitives-Teoria.pdf

apuntes

-

CLASSE_AM_I

He publicado nuevos apuntes de 1º Análisis Matemático I: CLASSE_AM_I

8-Classe-Derivada-Part-1.pdf
9-Classe-Derivada-Part-2.pdf
10-Classe-Taylor.pdf
11-Classe-Infinitesims.pdf
12-Classe-AplicacionsDerivadaPart1.pdf
13-Classe-AplicacionsDerivadaPart2.pdf

ejercicios

-

EXERCICICS_AM_I

He publicado nuevos ejercicios de 1º Análisis Matemático I: EXERCICICS_AM_I

1704964386050.pdf
08PPrimitives.pdf
1698078922114.pdf
probfunctotal.pdf

He publicado nuevos examenes de 1º Análisis Matemático I: AMIsol2naconvVerA.pdf

7 páginas

He publicado nuevos examenes de 1º Análisis Matemático I: ExfinalsolverB.pdf

7 páginas

He publicado nuevos examenes de 1º Análisis Matemático I: AMIsol2naconvVerB.pdf

7 páginas

He publicado nuevos examenes de 1º Análisis Matemático I: ExfinalsolverB.pdf

2 páginas

He publicado nuevos examenes de 1º Análisis Matemático I: ExfinalsolverA.pdf

6 páginas

He publicado nuevos examenes de 1º Análisis Matemático I: PrimerParcial24-25VarBambsolucio.pdf

4 páginas

He publicado nuevos examenes de 1º Análisis Matemático I: PrimerParcial24-25VarAambsolucio.pdf

5 páginas

He publicado nuevos examenes de 1º Análisis Matemático I: 1rParcialmodel2.pdf

3 páginas

He publicado nuevos examenes de 1º Análisis Matemático I: 1rParcialmodel1.pdf

3 páginas

examenes

-

Exámenes.jpeg

He publicado nuevos examenes de 1º Análisis Matemático I: Exámenes.jpeg

1r-parcial-Analisis-2021.jpeg.pdf
2a-Convocatoria.pdf
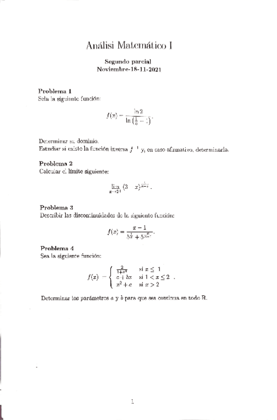
Segon-Parcial.pdf
Tercer-Parcial.pdf

He publicado nuevos apuntes de 1º Análisis Matemático I: Apuntes-de-clase-M3.pdf

139 páginas

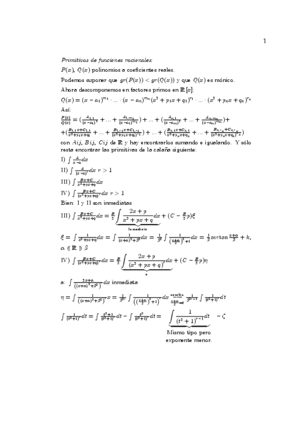
He publicado nuevos apuntes de 1º Análisis Matemático I: racionales.pdf

2 páginas

He publicado nuevos apuntes de 1º Análisis Matemático I: Tabla-de-derivadas.pdf

2 páginas
Anónimo

@Anónimo

He publicado nuevos examenes de 1º Análisis Matemático I: Prueba-Parcial-1-MD-I-2020.pdf

3 páginas

He publicado nuevos apuntes de 1º Análisis Matemático I: Analisis-Matematico-2n-parcial-2023.jpg

Imagen
Anónimo

@Anónimo

examenes

-

Exámenes

He publicado nuevos examenes de 1º Análisis Matemático I: Exámenes

Examen20222023.pdf
¡Estás al día!

¡Estás al día!

Has visto todos los archivos