Análisis Matemático II A

chevron_left
chevron_right
Todo
Apuntes
chevron_left
chevron_right

He publicado nuevos apuntes de 2º Análisis Matemático II A: Resolucion-Int-18feb2020-Tema1.pdf

3 páginas

He publicado nuevos apuntes de 2º Análisis Matemático II A: Resolucion-Int-17dic2019-Tema1.pdf

3 páginas

He publicado nuevos apuntes de 2º Análisis Matemático II A: Resolucion-Int-17dic2019-Tema-2.pdf

3 páginas

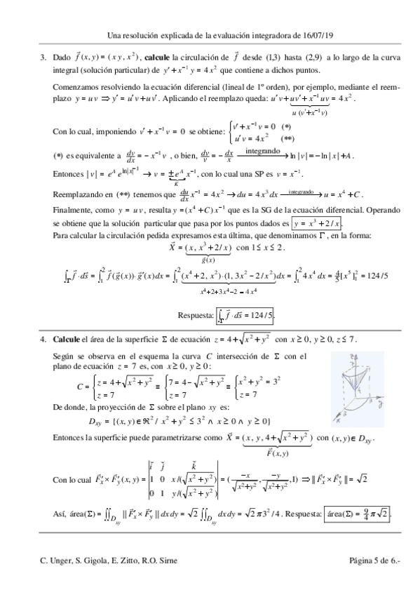
He publicado nuevos apuntes de 2º Análisis Matemático II A: Resolucion-Int-16julio2019-Tema-2.pdf

3 páginas

He publicado nuevos apuntes de 2º Análisis Matemático II A: Resolucion-Int-16julio2019-Tema-1.pdf

3 páginas

He publicado nuevos apuntes de 2º Análisis Matemático II A: Resolucion-Int-10dic2019-Tema2.pdf

3 páginas

He publicado nuevos apuntes de 2º Análisis Matemático II A: Resolucion-Int-10dic2019-Tema1.pdf

3 páginas

He publicado nuevos apuntes de 2º Análisis Matemático II A: Resolucion-Int-06agosto2019-Tema-2.pdf

3 páginas

He publicado nuevos apuntes de 2º Análisis Matemático II A: Resolucion-Int-06agosto2019-Tema-1.pdf

3 páginas

He publicado nuevos apuntes de 2º Análisis Matemático II A: Res-Int-260219-Tema-2.pdf

3 páginas

He publicado nuevos apuntes de 2º Análisis Matemático II A: Res-Int-260219-Tema-1.pdf

3 páginas

He publicado nuevos apuntes de 2º Análisis Matemático II A: Res-Int-190219-Tema-2.pdf

3 páginas

He publicado nuevos apuntes de 2º Análisis Matemático II A: Res-Int-190219-Tema-1.pdf

3 páginas

He publicado nuevos apuntes de 2º Análisis Matemático II A: Res-Int-181218-Tema-2.pdf

3 páginas

He publicado nuevos apuntes de 2º Análisis Matemático II A: Res-Int-181218-Tema-1.pdf

3 páginas

He publicado nuevos apuntes de 2º Análisis Matemático II A: Final-tomado-el-27-2-18-tema-2.pdf

5 páginas

He publicado nuevos apuntes de 2º Análisis Matemático II A: Final-tomado-el-20-2-18.pdf

6 páginas

He publicado nuevos apuntes de 2º Análisis Matemático II A: Final-tomado-el-9-2-18-tems-2.pdf

4 páginas

He publicado nuevos apuntes de 2º Análisis Matemático II A: Final-tomado-el-3-7-18-tema-2-resuelto.pdf

6 páginas

He publicado nuevos apuntes de 2º Análisis Matemático II A: final-del-2012-resuelto-en-clase.pdf

8 páginas

He publicado nuevos apuntes de 2º Análisis Matemático II A: AMII-final-tomado-el-15-9-20-2da-parte-resuelto-por-Proyecto-Ingenieria.pdf

5 páginas

He publicado nuevos apuntes de 2º Análisis Matemático II A: AMII-final-tomado-el-15-9-20-1era-parte-resuelto-por-Proyecto-Ingenieria.pdf

pdf

He publicado nuevos apuntes de 2º Análisis Matemático II A: 2019-12-20-1.pdf

5 páginas

He publicado nuevos apuntes de 2º Análisis Matemático II A: AMII-final-tomado-el-8-9-20-1era-parte-resuelto-por-Proyecto-Ingenieria.pdf

11 páginas

He publicado nuevos apuntes de 2º Análisis Matemático II A: 2019-07-25-1-resuelto.pdf

6 páginas

He publicado nuevos apuntes de 2º Análisis Matemático II A: Resuelto-de-Sylvina-8.9.20.pdf

5 páginas

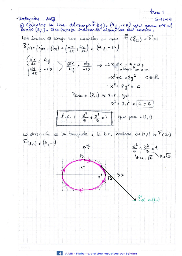
He publicado nuevos apuntes de 2º Análisis Matemático II A: 2017-12-06-1-resuelto.pdf

6 páginas

He publicado nuevos apuntes de 2º Análisis Matemático II A: Resolucion-Int-30julio2019-Tema-1.pdf

3 páginas

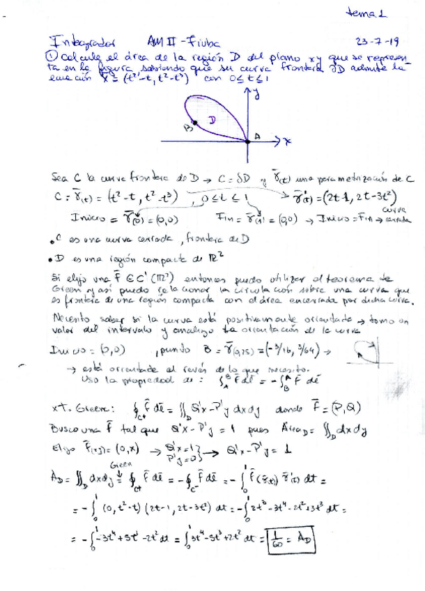
He publicado nuevos apuntes de 2º Análisis Matemático II A: Resolucion-Int-23julio2019-Tema-1.pdf

3 páginas

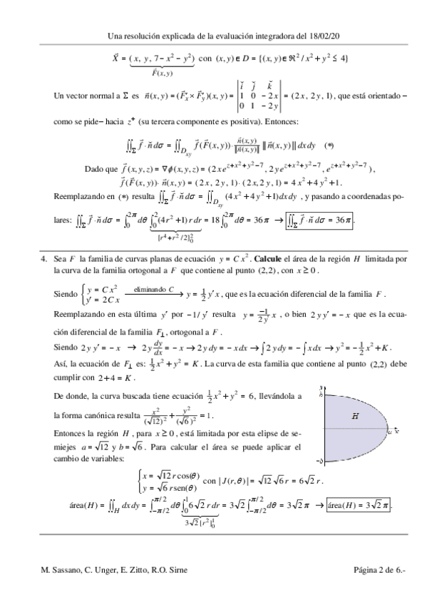
He publicado nuevos apuntes de 2º Análisis Matemático II A: Resolucion-Int-18feb2020-Tema2.pdf

3 páginas

He publicado nuevos apuntes de 2º Análisis Matemático II A: 3-Interpretacion-de-la-definicion-de-limite.pdf

Miniatura no disponible
pdf

He publicado nuevos apuntes de 2º Análisis Matemático II A: 4-Tres-ejemplos-de-calculo-de-limites-dobles.pdf

Miniatura no disponible
pdf

He publicado nuevos apuntes de 2º Análisis Matemático II A: 6-Dos-ejemplos-resueltos.pdf

3 páginas

He publicado nuevos apuntes de 2º Análisis Matemático II A: 5-Conicas.pdf

20 páginas

He publicado nuevos apuntes de 2º Análisis Matemático II A: 4-Ecuaciones-de-las-conicas.pdf

6 páginas

He publicado nuevos apuntes de 2º Análisis Matemático II A: 3-Topologia.pdf

8 páginas

He publicado nuevos apuntes de 2º Análisis Matemático II A: 2-Ecuaciones-de-rectas-y-planos.pdf

1 página
¡Estás al día!

¡Estás al día!

Has visto todos los archivos