Análisis Matemático III

chevron_left
chevron_right
Todo
Apuntes
Ejercicios
Exámenes
Prácticas
Test
chevron_left
chevron_right

apuntes

-

Apuntes tablet

análisis 3 (de 4), nunca fueron buenas las secuelas

anal3.pdf
anal31.pdf
pracanal.pdf
anal32.pdf
pracan2.pdf
anal33.pdf

He publicado nuevos examenes de 3º Análisis Matemático III: Segunda-convocatoria-2023.pdf

7 páginas

He publicado nuevos ejercicios de 3º Análisis Matemático III: Practica-vectorial.pdf

25 páginas

Última práctica del primer bloque de Análisis III completa. Todo lo que necesitas saber sobre la práctica de Fourier está aquí

8 páginas

Práctica 2 de Análisis Matemático III redactado completamente en Latex. Faltan solo un par de ejercicios que se dejaron como deber. Todo lo demás está completamente detallado para facilitar la comprensión.

13 páginas

Práctica 1 de Análisis III, ejercicios completos y redactados en Latex. Todo lo que necesitas saber sobre convergencia y sobre espacios prehilbertianos está aquí.

9 páginas

Apuntes de las clases de Análisis Matemático III tomados directamente a Latex. Espero que os sirvan de ayuda y que saquéis mucha nota en el examen

72 páginas

Teoría de las clases del profesor Alberto Montoya sobre las series de Fourier. Los apuntes redactados son basicamente los del profesor, pero escritos a ordenador

15 páginas

Ecuaciones diferenciales ordinarias

Imagen

Ecuaciones diferenciales ordinarias

Imagen

He publicado nuevos examenes de 2º Análisis Matemático III: EXAMEN-RESUELTO-2023-ENERO.pdf

8 páginas

He publicado nuevos examenes de 2º Análisis Matemático III: EXAMEN-RESUELTO-2024-ENERO.pdf

10 páginas

He publicado nuevos examenes de 2º Análisis Matemático III: EXAMEN-RESUELTO-2024-FEBRERO.pdf

9 páginas

He publicado nuevos examenes de 2º Análisis Matemático III: Teoría y Práctica-Enero-2026-Plan-Nuevo.pdf.pdf

21 páginas

He publicado nuevos examenes de 2º Análisis Matemático III: EXAMEN-RESUELTO-2024-OCTUBRE.pdf

33 páginas

He publicado nuevos examenes de 2º Análisis Matemático III: EXAMEN-ANALISIS-III-2022.pdf

2 páginas

He publicado nuevos examenes de 2º Análisis Matemático III: EXAMEN-RESUELTO-2025-ENERO.pdf

9 páginas

He publicado nuevos examenes de 2º Análisis Matemático III: EXAMEN-RESUELTO-2026-ENERO.pdf

10 páginas

He publicado nuevos examenes de 2º Análisis Matemático III: EXAMEN-RESUELTO-2025-OCTUBRE.pdf.pdf

8 páginas

He publicado nuevos examenes de 2º Análisis Matemático III: EXAMEN-RESUELTO-2025-FEBRERO.pdf

10 páginas
Anónimo

@Anónimo

examenes

-

EXAMEN ENERO 2026

He publicado nuevos examenes de 2º Análisis Matemático III: EXAMEN ENERO 2026

2026-ENERO-PRACTICA.pdf
2026-ENERO-TEORIA.pdf

He publicado nuevos examenes de 2º Análisis Matemático III: EXAMEN-ANALISIS-III-FEBRERO-2024.pdf

2 páginas

He publicado nuevos apuntes de 2º Análisis Matemático III: Tema-1-apuntes-de-clase.pdf

39 páginas

He publicado nuevos apuntes de 2º Análisis Matemático III: ANALISIS-3-TEMA-2.pdf

65 páginas

He publicado nuevos apuntes de 2º Análisis Matemático III: ANALISIS-3-TEMA-11.pdf

36 páginas

relación 2

7 páginas

He publicado nuevos ejercicios de 2º Análisis Matemático III: Relacion-1.pdf

4 páginas

Tema 1

14 páginas

He publicado nuevos examenes de 2º Análisis Matemático III: Parcial-curso-20242025.pdf

1 página

ejercicios

-

Ejercicios cálculo integral múltiple

He publicado nuevos ejercicios de 3º Análisis Matemático III: Ejercicios cálculo integral múltiple

Ejercicios-T1--La-integral-de-linea.pdf
Ejercicios-T2-P1-La-integral-doble-TaFubini.pdf
Ejercicios-T2-P2-La-integral-doble-Ta-Green.pdf
Ejercicios-T2-P3-Integrales-triples.pdf
Tema-3--La-integral-de-superficie.pdf
Demostraciones-Tema-1.pdf

examenes

-

Exámenes resueltos

He publicado nuevos examenes de 3º Análisis Matemático III: Exámenes resueltos

Final-Julio-2024.pdf
Final-Junio-2024.pdf

apuntes

-

Apuntes cálculo integral multivariable

He publicado nuevos apuntes de 3º Análisis Matemático III: Apuntes cálculo integral multivariable

Tema-1-Integrales-de-linea.pdf
Tema-2-La-integral-doble.pdf
Apuntes-T3-La-integral-de-superficie.pdf

examenes

-

Exàmens d'altres anys resolts

He publicado nuevos examenes de 3º Análisis Matemático III: Exàmens d'altres anys resolts

3-juny-2024.pdf
8-setembre-2010.pdf
19-gener-2010.pdf
26-juny-2024.pdf

practicas

-

Pràctiques

He publicado nuevos practicas de 3º Análisis Matemático III: Pràctiques

1.pdf
2.pdf
3.pdf
4-GREEN.pdf
5.pdf
7-GAUSS.pdf

He publicado nuevos apuntes de 3º Análisis Matemático III: Tema-1.pdf

7 páginas

He publicado nuevos apuntes de 3º Análisis Matemático III: Tema-4.pdf

10 páginas

He publicado nuevos apuntes de 3º Análisis Matemático III: Tema-2.pdf

10 páginas

He publicado nuevos apuntes de 3º Análisis Matemático III: Tema-3.pdf

8 páginas

He publicado nuevos examenes de 2º Análisis Matemático III: EXAMEN-AMIII-FEB-2025.pdf

2 páginas

He publicado nuevos ejercicios de 2º Análisis Matemático III: relacion-9ejercicios-clase.pdf

5 páginas

He publicado nuevos ejercicios de 2º Análisis Matemático III: relacion-8ejercicios-clase.pdf

6 páginas

He publicado nuevos ejercicios de 2º Análisis Matemático III: relacion-7ejercicios-clase.pdf

5 páginas

He publicado nuevos ejercicios de 2º Análisis Matemático III: relacion-6ejercicios-clase.pdf

2 páginas

He publicado nuevos ejercicios de 2º Análisis Matemático III: relacion-5ejercicios-clase.pdf

1 página

He publicado nuevos ejercicios de 2º Análisis Matemático III: relacion-4ejercicios-clase.pdf

7 páginas

He publicado nuevos ejercicios de 2º Análisis Matemático III: relacion-3ejercicios-clase.pdf

4 páginas

He publicado nuevos ejercicios de 2º Análisis Matemático III: relacion-2ejercicios-clase.pdf

2 páginas

He publicado nuevos apuntes de 2º Análisis Matemático III: t2-calculo-diferencial.pdf

38 páginas

He publicado nuevos apuntes de 2º Análisis Matemático III: t1-funciones-en-Rn.pdf

26 páginas

He publicado nuevos examenes de 2º Análisis Matemático III: ENERO-2024-AMIII-parte-practica.pdf

9 páginas

He publicado nuevos examenes de 2º Análisis Matemático III: ENERO-2025-AMIII-parte-teorica.pdf

3 páginas

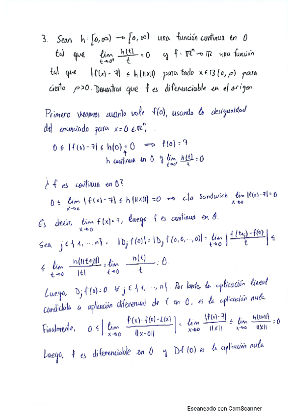
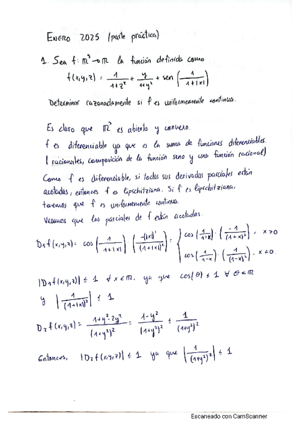
He publicado nuevos examenes de 2º Análisis Matemático III: ENERO-2025-AMIII-parte-practica.pdf

6 páginas

He publicado nuevos apuntes de 2º Análisis Matemático III: Tema-2-Integracion-multiple.pdf

8 páginas

He publicado nuevos ejercicios de 2º Análisis Matemático III: Tema-2-Ejercicios-practicos.pdf

24 páginas

He publicado nuevos ejercicios de 2º Análisis Matemático III: Tema-1-Ejercicios-practicos.pdf

5 páginas

He publicado nuevos apuntes de 2º Análisis Matemático III: Tema-1-Integral-impropia.pdf

4 páginas

He publicado nuevos apuntes de 2º Análisis Matemático III: Enero-2025-AMIII.pdf

2 páginas

He publicado nuevos ejercicios de 2º Análisis Matemático III: Relacion-extremos-corregida.pdf

7 páginas

He publicado nuevos ejercicios de 2º Análisis Matemático III: Relaciones-completas-corregidas.pdf

51 páginas

He publicado nuevos examenes de 2º Análisis Matemático III: Noviembre-2023.pdf

4 páginas