Análisis Matemático III

chevron_left
chevron_right
Todo
Apuntes
Ejercicios
Exámenes
Test
chevron_left
chevron_right

He publicado nuevos examenes de 2º Análisis Matemático III: EXAMEN-RESUELTO-2023-ENERO.pdf

8 páginas

He publicado nuevos examenes de 2º Análisis Matemático III: EXAMEN-RESUELTO-2024-ENERO.pdf

10 páginas

He publicado nuevos examenes de 2º Análisis Matemático III: EXAMEN-RESUELTO-2024-FEBRERO.pdf

9 páginas

He publicado nuevos examenes de 2º Análisis Matemático III: Teoría y Práctica-Enero-2026-Plan-Nuevo.pdf.pdf

21 páginas

He publicado nuevos examenes de 2º Análisis Matemático III: EXAMEN-RESUELTO-2024-OCTUBRE.pdf

33 páginas

He publicado nuevos examenes de 2º Análisis Matemático III: EXAMEN-ANALISIS-III-2022.pdf

2 páginas

He publicado nuevos examenes de 2º Análisis Matemático III: EXAMEN-RESUELTO-2025-ENERO.pdf

9 páginas

He publicado nuevos examenes de 2º Análisis Matemático III: EXAMEN-RESUELTO-2026-ENERO.pdf

10 páginas

He publicado nuevos examenes de 2º Análisis Matemático III: EXAMEN-RESUELTO-2025-OCTUBRE.pdf.pdf

8 páginas

He publicado nuevos examenes de 2º Análisis Matemático III: EXAMEN-RESUELTO-2025-FEBRERO.pdf

10 páginas
Anónimo

@Anónimo

examenes

-

EXAMEN ENERO 2026

He publicado nuevos examenes de 2º Análisis Matemático III: EXAMEN ENERO 2026

2026-ENERO-PRACTICA.pdf
2026-ENERO-TEORIA.pdf

He publicado nuevos examenes de 2º Análisis Matemático III: EXAMEN-ANALISIS-III-FEBRERO-2024.pdf

2 páginas

He publicado nuevos apuntes de 2º Análisis Matemático III: Tema-1-apuntes-de-clase.pdf

39 páginas

He publicado nuevos apuntes de 2º Análisis Matemático III: ANALISIS-3-TEMA-2.pdf

65 páginas

He publicado nuevos apuntes de 2º Análisis Matemático III: ANALISIS-3-TEMA-11.pdf

36 páginas

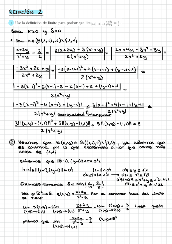
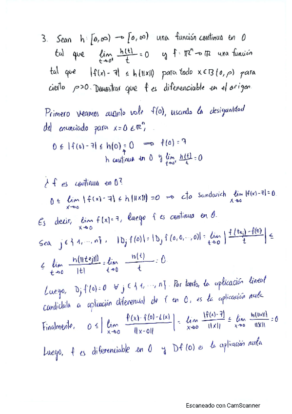
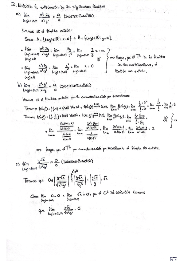
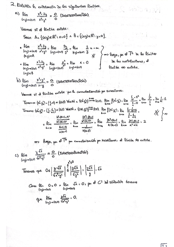
relación 2

7 páginas

He publicado nuevos ejercicios de 2º Análisis Matemático III: Relacion-1.pdf

4 páginas

Tema 1

14 páginas

He publicado nuevos examenes de 2º Análisis Matemático III: Parcial-curso-20242025.pdf

1 página

He publicado nuevos examenes de 2º Análisis Matemático III: EXAMEN-AMIII-FEB-2025.pdf

2 páginas

He publicado nuevos ejercicios de 2º Análisis Matemático III: relacion-9ejercicios-clase.pdf

5 páginas

He publicado nuevos ejercicios de 2º Análisis Matemático III: relacion-7ejercicios-clase.pdf

5 páginas

He publicado nuevos ejercicios de 2º Análisis Matemático III: relacion-8ejercicios-clase.pdf

6 páginas

He publicado nuevos ejercicios de 2º Análisis Matemático III: relacion-6ejercicios-clase.pdf

2 páginas

He publicado nuevos ejercicios de 2º Análisis Matemático III: relacion-5ejercicios-clase.pdf

1 página

He publicado nuevos ejercicios de 2º Análisis Matemático III: relacion-4ejercicios-clase.pdf

7 páginas

He publicado nuevos ejercicios de 2º Análisis Matemático III: relacion-2ejercicios-clase.pdf

2 páginas

He publicado nuevos ejercicios de 2º Análisis Matemático III: relacion-3ejercicios-clase.pdf

4 páginas

He publicado nuevos apuntes de 2º Análisis Matemático III: t2-calculo-diferencial.pdf

38 páginas

He publicado nuevos apuntes de 2º Análisis Matemático III: t1-funciones-en-Rn.pdf

26 páginas

He publicado nuevos examenes de 2º Análisis Matemático III: ENERO-2024-AMIII-parte-practica.pdf

9 páginas

He publicado nuevos examenes de 2º Análisis Matemático III: ENERO-2025-AMIII-parte-teorica.pdf

3 páginas

He publicado nuevos examenes de 2º Análisis Matemático III: ENERO-2025-AMIII-parte-practica.pdf

6 páginas

He publicado nuevos apuntes de 2º Análisis Matemático III: Enero-2025-AMIII.pdf

2 páginas

He publicado nuevos ejercicios de 2º Análisis Matemático III: Relacion-extremos-corregida.pdf

7 páginas

He publicado nuevos ejercicios de 2º Análisis Matemático III: Relaciones-completas-corregidas.pdf

51 páginas

He publicado nuevos examenes de 2º Análisis Matemático III: Noviembre-2023.pdf

4 páginas

He publicado nuevos examenes de 2º Análisis Matemático III: Junio-2023.pdf

5 páginas

He publicado nuevos examenes de 2º Análisis Matemático III: Febrero-2024.pdf

4 páginas

He publicado nuevos examenes de 2º Análisis Matemático III: Enero-2024.pdf

6 páginas

He publicado nuevos examenes de 2º Análisis Matemático III: Ejercicios-importantes-de-varios-examenes.pdf

9 páginas

He publicado nuevos examenes de 2º Análisis Matemático III: DEMOSTRACIONES-EXAMEN.pdf

31 páginas

He publicado nuevos apuntes de 2º Análisis Matemático III: Relacion-7-AMIII.pdf

11 páginas
Anónimo

@Anónimo

He publicado nuevos ejercicios de 2º Análisis Matemático III: Relacion-6-Resuelta.pdf

3 páginas

He publicado nuevos apuntes de 2º Análisis Matemático III: AMIII-PRIMER-PARCIAL-RESUELTO.pdf

2 páginas
Anónimo

@Anónimo

He publicado nuevos ejercicios de 2º Análisis Matemático III: Ejercicios-resueltos-de-A.M.3.pdf

11 páginas

He publicado nuevos apuntes de 2º Análisis Matemático III: AMIII-Primer-Parcial.pdf

1 página

He publicado nuevos apuntes de 2º Análisis Matemático III: AMIII-Relacion-5-RESUELTO.pdf

3 páginas

He publicado nuevos ejercicios de 2º Análisis Matemático III: Relacion-3-AMIII.pdf

4 páginas

He publicado nuevos ejercicios de 2º Análisis Matemático III: Relacion-2-AMIII.pdf

5 páginas

Son monísimos y están tooodas las demostraciones (hasta las que dejan como ejercicio :0 )!

31 páginas

He publicado nuevos ejercicios de 2º Análisis Matemático III: Relacion-4-COMPLETA-RESUELTA.pdf

22 páginas

He publicado nuevos examenes de 2º Análisis Matemático III: EXAMEN-ENERO-2024.pdf

2 páginas

He publicado nuevos ejercicios de 2º Análisis Matemático III: Relacion-1-Analisis-3.pdf

2 páginas

He publicado nuevos ejercicios de 2º Análisis Matemático III: Relacion-2-SOLUCION.pdf

13 páginas

He publicado nuevos ejercicios de 2º Análisis Matemático III: Relacion-1-RESUELTA.pdf

12 páginas

He publicado nuevos ejercicios de 2º Análisis Matemático III: Relacion-1.pdf

6 páginas

He publicado nuevos examenes de 2º Análisis Matemático III: Mas-ejercicios-examenes.pdf

26 páginas

He publicado nuevos examenes de 2º Análisis Matemático III: Ejercicios-Examenes.pdf

83 páginas

He publicado nuevos apuntes de 2º Análisis Matemático III: Tema-2.pdf

52 páginas