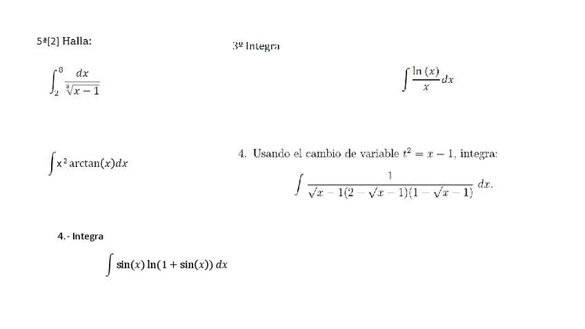
EyE00576
examen-integrales.pdf
1 página
Apuntes - Analisis-Matematico.pdf
pdf
11 páginas
65
3
Apuntes - Tema1-El-cuerpo-de-los-numeros-reales.pdf
10 páginas
37
1
Exámenes - examen-extraordinaria-2024.pdf
30
Exámenes - examen-analisis-enero-2024.pdf
Apuntes - correccion-del-examen-2023-serie-sucesiones.pdf
39
0
Apuntes - tema-5-Integralesejer.derivadas--resum.pdf
28 páginas
33
Apuntes - Resumen-sucesiones-series.pdf
2 páginas
29
Apuntes - Tema-4-Funciones-realesejercicios-sucesiones-series.pdf
14 páginas
19
Apuntes - Tema-3-Series.pdf
24
Apuntes - ejercicos-series--problemas-ecuaciones.pdf
4 páginas
22
Exámenes - examen.pdf
13
Exámenes - examen-enero.pdf
10
Exámenes - parcial-derivadas.pdf
8
Ejercicios - Calculo-de-Extremos-funcion-dos-variables.pdf
7
Exámenes - EyE-sucesiones-y-series-2023.pdf
4
Exámenes - examen-integral-resuelto.pdf
Apuntes - https://cdn.slidesharecdn.com/ss_thumbnails/tabladeintegralesinmediatas-131103114922-phpapp02-thumbnail-4.jpg?cb=1383479389
link
Apuntes - https://imgv2-2-f.scribdassets.com/img/document/582715067/original/9014bb5187/1658124097?v=1
Exámenes - examen-integrales.pdf
Ejercicios - ejercicios-derivadas.pdf
7 páginas