chevron_left
chevron_right
Todo
Apuntes
Ejercicios
Exámenes
Prácticas
Test
chevron_left
chevron_right
Anónimo

@Anónimo

apuntes

-

Apuntes con ejemplos

He publicado nuevos apuntes de 1º Análisis Matemático: Apuntes con ejemplos

Tema-2.pdf
Tema-1.pdf
Integrales-Definidas.pdf
Teoria-Integrales.pdf
Tema-3.pdf

ejercicios

-

Wolfram

He publicado nuevos ejercicios de 1º Análisis Matemático: Wolfram

EPD1-completa.pdf
EPD2-completa.pdf
EPD3-completa.pdf
Examen2021-completo.pdf
Examen2022-completo.pdf
Examen2023-completo.pdf

He publicado nuevos practicas de 1º Análisis Matemático: examenWolfram-2023-analisis.nb

Miniatura no disponible

Examen Wolfram 2023 resuelto y explicado

5 páginas

Problemas explicados wolfram 2022

6 páginas

Práctica 3 Wolfram

10 páginas

Práctica 2 Wolfram

16 páginas

Práctica 1 Wolfram

22 páginas

ejercicios

-

Problemas

He publicado nuevos ejercicios de 1º Análisis Matemático: Problemas

Problemas-Resueltos-Tema-1.pdf
Problemas-Resueltos-Tema-2.pdf
Problemas-Tema-3.pdf
Problemas-Tema-4.pdf

He publicado nuevos apuntes de 1º Análisis Matemático: Resumen-Wolfram.pdf

3 páginas

Esquemas dcomandos Práctica 3; El area en revolucion y la longitud no entran.

1 página

Esquemas comandos Práctica 2

1 página

Comandos Práctica 1

1 página

He publicado nuevos apuntes de 1º Análisis Matemático: Wolfram-resumen.pdf

14 páginas

practicas

-

Prácticas de Wolfram

He publicado nuevos practicas de 1º Análisis Matemático: Prácticas de Wolfram

Examen-de-2021-Wolfram.pdf
Examen-de-2022-Wolfram.pdf
Miniatura no disponible
Practica-3-Wolfram.nb
Miniatura no disponible
Practica-2-Wolfram.nb
Miniatura no disponible
Practica-1-I-Wolfram.nb
Miniatura no disponible
Practica-1-II-Wolfram.nb

ejercicios

-

Teoría resueltos

He publicado nuevos ejercicios de 1º Análisis Matemático: Teoría resueltos

T3-Teoria.pdf
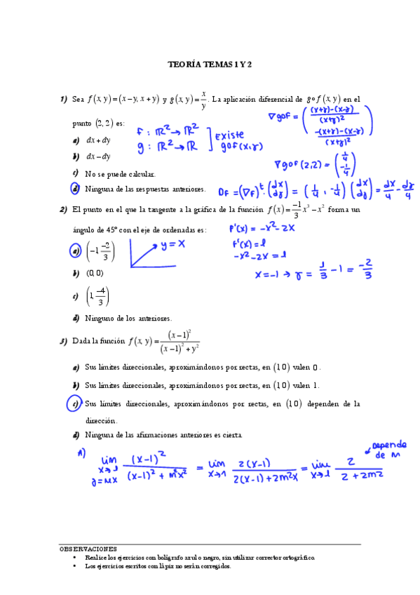
T1y2-Teoria.pdf

ejercicios

-

Ejercicios completos

He publicado nuevos ejercicios de 1º Análisis Matemático: Ejercicios completos

Tema-1-Problemas-resueltos-analisis.pdf
Tema-2-Problemas-resueltos-analisis.pdf

He publicado nuevos apuntes de 1º Análisis Matemático: 1.-LIMITES.-CONTINUIDAD.pdf

12 páginas

apuntes

-

WUOLAH

He publicado nuevos apuntes de 1º Análisis Matemático: WUOLAH

Practicas-3-Resuelta.pdf

examenes

-

WOLFRAM

Examen resuelto

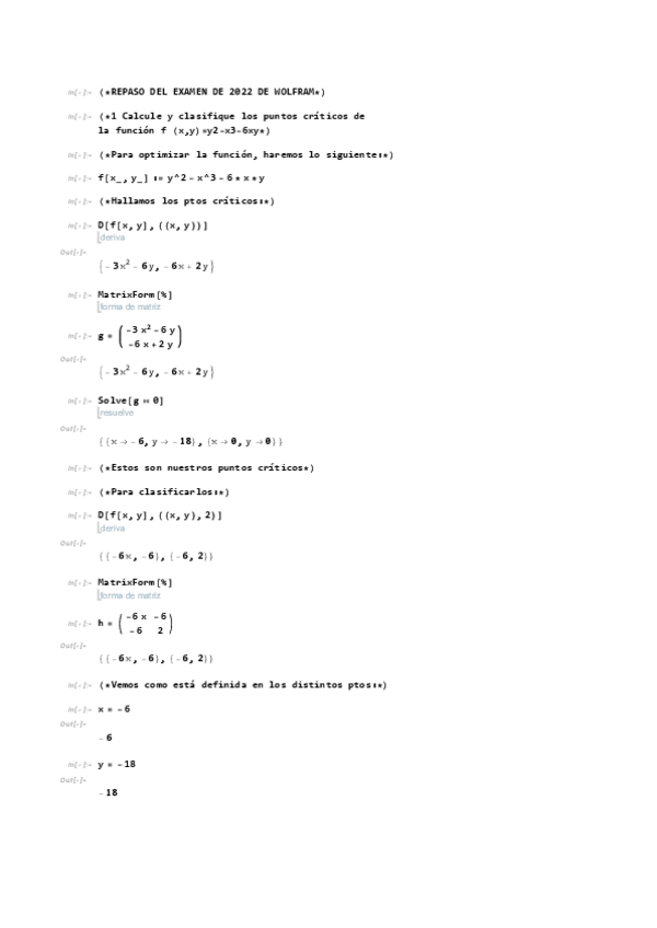
Examen-2022-Wolfram-Resuelto.pdf

apuntes

-

Wolfram

He publicado nuevos apuntes de 1º Análisis Matemático: Wolfram

Examenes-2021-2022-2023.pdf
Enunciados-21-22-23-Examenes.pdf

He publicado nuevos apuntes de 1º Análisis Matemático: 2.-DIFERENCIABILIDAD.pdf

10 páginas

He publicado nuevos apuntes de 1º Análisis Matemático: 4.-INTEGRALES.pdf

12 páginas

He publicado nuevos apuntes de 1º Análisis Matemático: 3.-OPTIMIZACION-1.pdf

11 páginas

apuntes

-

Análisis-apuntes+ejercicios

He publicado nuevos apuntes de 1º Análisis Matemático: Análisis-apuntes+ejercicios

Resumen-T1-Limites-y-continuidad.pdf

He publicado nuevos examenes de 1º Análisis Matemático: Ejercicios tipo examen Wolfram análisis.pdf

3 páginas

apuntes

-

WOLFRAM (EPDS+EXÁMENES)

Soluciones explicadas de las EPDS y Exámenes propuestos

Miniatura no disponible
Simulacro-Examen-2019.nb
Miniatura no disponible
Simulacro-Examen-2021.nb
Miniatura no disponible
Ejercicios-Practica-1-REPASO.nb
Miniatura no disponible
Ejercicios-Practica-2-REPASO.nb
Miniatura no disponible
Ejercicios-Practica-3-REPASO.nb

examenes

-

Exámenes wolfram resueltos

He publicado nuevos examenes de 1º Análisis Matemático: Exámenes wolfram resueltos

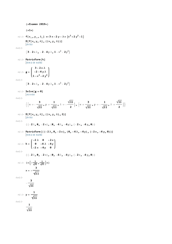
Wolfram examen 2019.pdf
Wolfram examen 2021.pdf
Anónimo

@Anónimo

apuntes

-

Teoría

He publicado nuevos apuntes de 1º Análisis Matemático: Teoría

resumen-formulas.pdf
comandos-de-wolfram.pdf
tema-3-teoria.pdf
tema-4-teoria.pdf
tema-2-teoria.pdf
Anónimo

@Anónimo

apuntes

-

Problemas

He publicado nuevos apuntes de 1º Análisis Matemático: Problemas

problemas-tema-3.pdf
problemas-tema-1.pdf
problemas-tema-3-corregidos-en-clase.pdf
problemas-tema-2.pdf
problemas-tema-4.pdf

apuntes

-

Apuntes completos

Apuntes completos cogidos en clase y con ejemplos. También archivos resúmenes

Tema-1-apuntes-y-anexo-ejemplos-de-clase.pdf
Tema-2-apuntes-y-anexo-ejemplos-de-clase.pdf
Tema-3-apuntes-y-ejemplos.pdf
Tema-4-apuntes-y-ejemplos.pdf
Resumen-esquema-Tema-1-A5.pdf
Resumen-esquema-Tema-2-A5.pdf

He publicado nuevos apuntes de 1º Análisis Matemático: Examen-junio-2019.pdf

2 páginas
Anónimo

@Anónimo

He publicado nuevos examenes de 1º Análisis Matemático: Preguntas-de-teoria-Tema-4.pdf

2 páginas

He publicado nuevos examenes de 1º Análisis Matemático: Preguntas-de-teoria-Tema-3.pdf

2 páginas
Anónimo

@Anónimo

He publicado nuevos examenes de 1º Análisis Matemático: Preguntas-de-teoria-Temas-1-y-2.pdf

2 páginas

apuntes

-

Ejercicios Wolfram

He publicado nuevos apuntes de 1º Análisis Matemático: Ejercicios Wolfram

Miniatura no disponible
derivadas.nb
Miniatura no disponible
EXAMEN-2021.nb
Miniatura no disponible
integrales.nb
Miniatura no disponible
examen-2019.nb
Miniatura no disponible
limites.nb
Miniatura no disponible
EXAMENES.nb

examenes

-

WOLFRAM Exámenes Repaso

He publicado nuevos examenes de 1º Análisis Matemático: WOLFRAM Exámenes Repaso

Examen-2018.pdf
Examen-2014.pdf
Examen-2012.pdf
Examen-repaso-Juan.pdf

ejercicios

-

WOLFRAM Práctica 3

He publicado nuevos ejercicios de 1º Análisis Matemático: WOLFRAM Práctica 3

3.pdf

ejercicios

-

WOLFRAM Práctica 2

He publicado nuevos ejercicios de 1º Análisis Matemático: WOLFRAM Práctica 2

2.pdf
2.pdf
2.pdf

ejercicios

-

WOLFRAM Práctica 1

He publicado nuevos ejercicios de 1º Análisis Matemático: WOLFRAM Práctica 1

1.pdf
1.pdf
1.pdf
1.pdf

apuntes

-

Teoría

He publicado nuevos apuntes de 1º Análisis Matemático: Teoría

Problemas.pdf
Problemas.pdf
Problemas.pdf
Problemas.pdf
UD-4.pdf
UD-1.pdf

He publicado nuevos apuntes de 1º Análisis Matemático: CamScanner-05-18-2020-22.pdf

23 páginas

apuntes

-

Prácticas- EPD WOLFRAM

He publicado nuevos apuntes de 1º Análisis Matemático: Prácticas- EPD WOLFRAM

Wolfram-EPD1-resuelta.pdf
Wolfram-EPD2-resuelta.pdf
Wolfram-EPD3-resuelta.pdf

He publicado nuevos apuntes de 1º Análisis Matemático: WolframApuntes.pdf

3 páginas

He publicado nuevos apuntes de 1º Análisis Matemático: CamScanner-05-08-2020-11.pdf

2 páginas

practicas

-

Prácticas Análisis

He publicado nuevos practicas de 1º Análisis Matemático: Prácticas Análisis

practica3.pdf
Practica2.pdf
practica1.pdf

apuntes

-

WOLFRAM(PRÁCTICAS)

He publicado nuevos apuntes de 1º Análisis Matemático: WOLFRAM(PRÁCTICAS)

REPRESENTACIÓN DE FUNCIONES.pdf
USO DEL WOLFRAM PRÁCTICA 1.pdf
PRÁCTICA 1 WOLFRAM ANÁLISIS REPRESENTACIÓN.pdf
PRÁCTICA 1 WOLFRAM ANÁLISIS.pdf
USO DEL WOLFRAM PRÁCTICA 2.pdf
PRÁCTICA 2 ANÁLISIS.pdf

Apuntes simples hechos a mano y escaneados de la asignatura completa.

12 páginas

He publicado nuevos test de 1º Análisis Matemático: Examen análisis.pdf

3 páginas

He publicado nuevos ejercicios de 1º Análisis Matemático: Ejercicios Resueltos Matrices.pdf

11 páginas

He publicado nuevos ejercicios de 1º Análisis Matemático: Ejercicios Resueltos Varias variables.pdf

33 páginas

He publicado nuevos ejercicios de 1º Análisis Matemático: Ejercicios Resueltos Una variable.pdf

20 páginas
¡Estás al día!

¡Estás al día!

Has visto todos los archivos