Análisis Matemático

Todo
Apuntes
Ejercicios
Exámenes
publication
Trabajos
chevron_left
chevron_right

apuntes

-

APUNTES Y EJERCICIOS RESUELTOS EN CLASE

He publicado nuevos apuntes de 1º Análisis Matemático: APUNTES Y EJERCICIOS RESUELTOS EN CLASE

Tema-1-Los-numeros-reales.pdf
Tema-10-Sucesiones-y-series.pdf
Tema-11-Introduccion-al-analisis-multivariable.pdf
Tema-12-Funcion-implicita-e-inversa.pdf
Tema-13-Integrales-multiples.pdf
Tema-2-Funciones-elementales.pdf

He publicado nuevos examenes de 1º Análisis Matemático: PRIMER-PARCIAL-ENERO-2023.pdf

2 páginas

He publicado nuevos examenes de 1º Análisis Matemático: EXAMEN-TEMAS-1-AL-5-2022.pdf

1 página

He publicado nuevos examenes de 1º Análisis Matemático: Primer-parcial-enero-2023.pdf

2 páginas

ejercicios

-

ejercicios 1er cuatri

He publicado nuevos ejercicios de 1º Análisis Matemático: ejercicios 1er cuatri

Problemas-Tema1.pdf
Problemas-Tema2.pdf
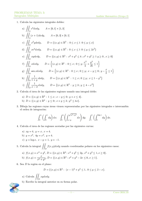
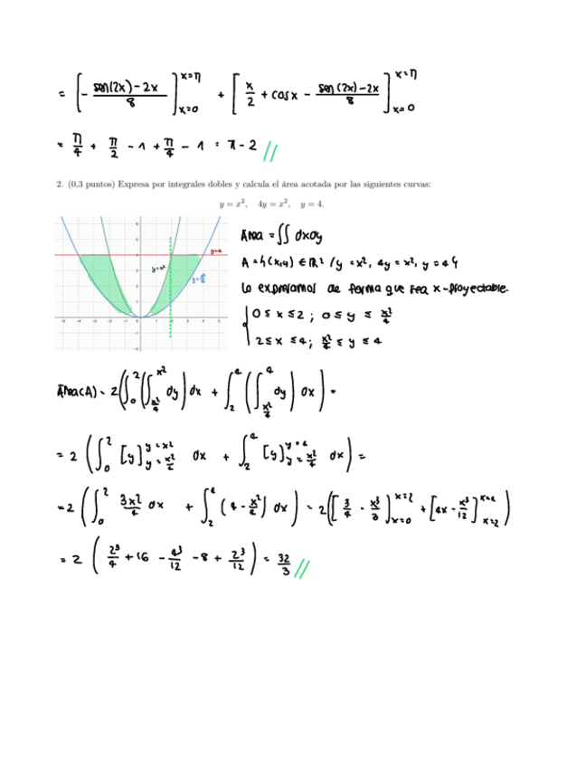
Problemas-Tema3.pdf
Problemas-Tema4.pdf
Soluciones-Tema1.pdf
Soluciones-Tema2.pdf

ejercicios

-

ejercicios 2nd cuatri

He publicado nuevos ejercicios de 1º Análisis Matemático: ejercicios 2nd cuatri

problemas-tema-1.pdf
Limitesdobles-24-25-ejercico.pdf
Problemas-Tema-2.pdf
Problemas-Tema-3.pdf
Problemas-Tema-4.pdf
Soluciones-Problemas-Tema-3.pdf

He publicado nuevos apuntes de 1º Análisis Matemático: Tema-2-Aplicaciones-del-calculo-diferencial.pdf

4 páginas

He publicado nuevos apuntes de 1º Análisis Matemático: Tema-1-Diferenciabilidad-de-funciones.pdf

3 páginas

He publicado nuevos apuntes de 1º Análisis Matemático: Resumen-Tema-4-Integrales-de-Linea-y-Superficie.pdf

6 páginas

He publicado nuevos apuntes de 1º Análisis Matemático: Resumen-Tema-3-Integrales-multiples.pdf

7 páginas

Enunciados examen 1 parcial 13-11-24 ANÁLISIS MATEMÁTICO 1

2 páginas

He publicado nuevos ejercicios de 1º Análisis Matemático: PROBLEMAS-TEMA-2-HECHOS-POR-EL-PROFESOR.pdf

33 páginas

He publicado nuevos ejercicios de 1º Análisis Matemático: PROBLEMAS-TEMA-1-HECHOS-POR-EL-PROFESOR.pdf

20 páginas

He publicado nuevos examenes de 1º Análisis Matemático: Parcial-Noviembre-resuelto.pdf

12 páginas

He publicado nuevos examenes de 1º Análisis Matemático: Parcial-enero-2024-RESUELTO-Temas-6-7-8-9-10.pdf

9 páginas

He publicado nuevos examenes de 1º Análisis Matemático: Parcial-enero-2024-RESUELTO-Temas-1-2-3-4-5.pdf

6 páginas

Segunda prueba parcial realizada el 27 de mayo de 2024 del contenido de todo el cuatrimestre (Temas 11, 12, 13, 14, 15, 16) Resuelta

7 páginas

Segunda prueba parcial realizada el 27 de mayo de 2024 de sólo los temas de integración del segundo cuatrimestre (Temas 14, 15, 16) Resuelta

6 páginas

examenes

-

Parciales primer cuatrimestre análisis

He publicado nuevos examenes de 1º Análisis Matemático: Parciales primer cuatrimestre análisis

Prueba-de-clase.pdf
Parcial-noviembre.pdf
ParcialeneroAMIBloqueII.pdf
ParcialeneroAMIBloqueI.pdf
Soluciones-Bloque-II.pdf
Soluciones-Bloque-I.pdf

He publicado nuevos examenes de 1º Análisis Matemático: Soluciones-del-2o-Parcial-Solo-Integracion.pdf

8 páginas

He publicado nuevos examenes de 1º Análisis Matemático: Soluciones-del-2o-Parcial-Todo-el-contenido.pdf

8 páginas

He publicado nuevos examenes de 1º Análisis Matemático: Solucion-de-la-1o-Parcial-Segundo-cuatri.pdf

5 páginas

He publicado nuevos examenes de 1º Análisis Matemático: Segundo-parcial-Analisis-Solo-integracion.pdf

1 página

He publicado nuevos apuntes de 1º Análisis Matemático: TODO-EL-TEMARIO-DE-ANALISIS-2-CUATRI.pdf

212 páginas

He publicado nuevos apuntes de 1º Análisis Matemático: APUNTES-con-MUCHOS-EJEMPLOS-T11-Limite-y-continuidad-de-funciones-de-varias-variables.pdf

35 páginas

He publicado nuevos apuntes de 1º Análisis Matemático: Apuntes-de-clase-primer-cuatri.pdf

19 páginas

He publicado nuevos apuntes de 1º Análisis Matemático: Resumen-Tema-9-Series-numericas.pdf

2 páginas

He publicado nuevos apuntes de 1º Análisis Matemático: Resumen-Tema-10-Series-de-potencias.pdf

2 páginas

He publicado nuevos apuntes de 1º Análisis Matemático: Resumen-Tema-7-Integrales-impropias.pdf

3 páginas

He publicado nuevos apuntes de 1º Análisis Matemático: Resumen-Tema-5-Metodos-de-integracion.pdf

1 página

He publicado nuevos apuntes de 1º Análisis Matemático: Resumen-Tema-6-Integral-de-Riemann.pdf

1 página

He publicado nuevos examenes de 1º Análisis Matemático: Segundo-examen-parcial-segundo-cuatri.pdf

1 página

He publicado nuevos apuntes de 1º Análisis Matemático: Hoja-4-resuelta-Nota10.pdf

5 páginas

He publicado nuevos ejercicios de 1º Análisis Matemático: Ejercicio-resueltos-tema-1.pdf

12 páginas

He publicado nuevos examenes de 1º Análisis Matemático: Examen-parcial-segundo-cuatri.pdf

1 página

apuntes

-

TEORÍA TODOS LOS TEMAS

He publicado nuevos apuntes de 1º Análisis Matemático: TEORÍA TODOS LOS TEMAS

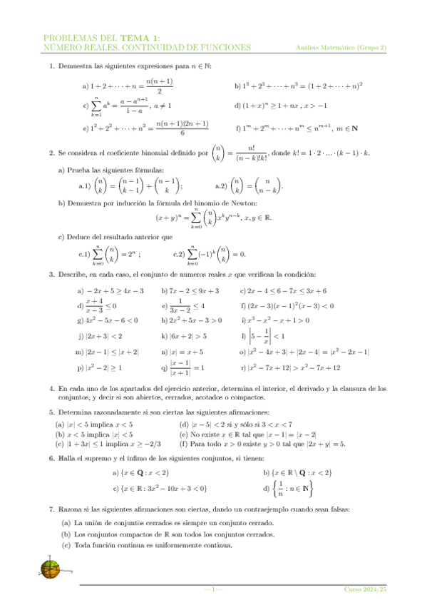
Tema-1.-Numeros-reales.-Continuidad-de-funciones.pdf
Tema-2.-Diferenciacion-de-funciones.pdf
Tema-3.-Integracion.-Aplicaciones.pdf
Tema-4.-Sucesiones-y-series-finitas.pdf
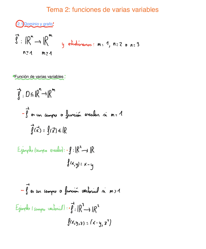
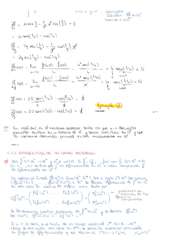
Tema-6.-Diferenciacion-de-funciones-de-varias-variables.pdf
Tema-7.-Aplicaciones-del-calculo-diferencial-Resumen.pdf

He publicado nuevos ejercicios de 1º Análisis Matemático: Ejercicios-primer-trabajo-2-cuatri.pdf

5 páginas

He publicado nuevos apuntes de 1º Análisis Matemático: Ejercicios-resueltos-profesor-tema7.pdf

7 páginas

He publicado nuevos ejercicios de 1º Análisis Matemático: Ejercicios-resueltos-profesor.pdf

12 páginas

apuntes

-

RESÚMENES ANÁLISIS

He publicado nuevos apuntes de 1º Análisis Matemático: RESÚMENES ANÁLISIS

Tema-1-El-numero-real.pdf
Tema-2-Funciones-reales-elementales.pdf
Tema-3-Limites-y-continuidad-de-funciones.pdf
Tema-4-Diferenciacion-de-funciones.pdf
Tema-5-Derivadas-de-orden-superior.pdf
Tema-6-Calculo-de-primitivas.pdf

He publicado nuevos apuntes de 1º Análisis Matemático: AMRafaVilla.pdf

54 páginas

examenes

-

Examenes RESUELTOS por el profesor

He publicado nuevos examenes de 1º Análisis Matemático: Examenes RESUELTOS por el profesor

SOL-2PIntegracion2.pdf
SOL-2Ptodo.pdf
SOL-PrInter.pdf

examenes

-

Examenes analisis

He publicado nuevos examenes de 1º Análisis Matemático: Examenes analisis

P1.pdf
P3.pdf
P2.pdf

Apuntes de clase y algunos ejemplos

20 páginas

Teoría de clase y algunos ejemplos

37 páginas

apuntes

-

Todos los temas del 2cuatri con ejemplos

He publicado nuevos apuntes de 1º Análisis Matemático: Todos los temas del 2cuatri con ejemplos

TEMA8.pdf
TEMA10.pdf
TEMA9Parte2.pdf
TEMA9Parte1.pdf
TEMA13.pdf
TEMA-11.pdf

He publicado nuevos apuntes de 1º Análisis Matemático: Teoria-primer-cuatri.pdf

pdf

apuntes

-

Recopilación ejercicios

He publicado nuevos apuntes de 1º Análisis Matemático: Recopilación ejercicios

Problemas-Tema1.pdf
Problemas-Tema2.pdf
Problemas-Tema3.pdf
Problemas-Tema7.pdf
Problemas-Tema5.pdf
Problemas-Tema6.pdf

apuntes

-

Exámenes de años anteriores

He publicado nuevos apuntes de 1º Análisis Matemático: Exámenes de años anteriores

be3773f1-7332-41cb-bfef-af655ad12a01.jpg
c0a3e80c-45d5-49e3-953c-2567b97df72f.jpg
00c26460-382b-4ab7-83cb-dc158fe0a8c7.jpg
fa8b8f14-ea0b-4323-b393-8ae32ffe89ec.jpg
85797d74-8850-48cd-aac9-fc5009d69a8f-1.jpg
85797d74-8850-48cd-aac9-fc5009d69a8f.jpg

He publicado nuevos apuntes de 1º Análisis Matemático: ResumenTemas910.pdf

6 páginas

He publicado nuevos apuntes de 1º Análisis Matemático: Resumen-Formulario-Tema-7-Diferenciabilidad.pdf

1 página

ejercicios

-

EJERCICIOS RESUELTOS SEGUNDO CUATRI

He publicado nuevos ejercicios de 1º Análisis Matemático: EJERCICIOS RESUELTOS SEGUNDO CUATRI

Ejs-T9.pdf
Teoria-Tema-10.pdf
Teoria-T9.pdf
Ejs-Tema-10.pdf
Ejs-T8-1.pdf
Teoria-T8.pdf

apuntes

-

APUNTES SEGUNDO PARCIAL 2 CUATRI

He publicado nuevos apuntes de 1º Análisis Matemático: APUNTES SEGUNDO PARCIAL 2 CUATRI

T13.pdf
T11.pdf
T12.pdf

examenes

-

Exámenes Segundo Cuatrimestre

He publicado nuevos examenes de 1º Análisis Matemático: Exámenes Segundo Cuatrimestre

Mario-Perez-Diego-Ej-2.pdf
Mario-Perez-Diego-Ej-1.pdf
Mario-Perez-Diego-17-18-19.pdf
PARCIALITO-TEMAS-141516-V2-Envio-1.pdf

He publicado nuevos apuntes de 1º Análisis Matemático: Analisis-matematico-Gr.mp4

video

He publicado nuevos apuntes de 1º Análisis Matemático: Tema-8-Aplicaciones-de-la-diferenciabilidad.pdf

1 página

He publicado nuevos apuntes de 1º Análisis Matemático: Tema-7-Funciones-en-varias-variables.pdf

2 páginas

He publicado nuevos apuntes de 1º Análisis Matemático: Series-numericas.pdf

2 páginas

He publicado nuevos apuntes de 1º Análisis Matemático: Temas-45-y-6.pdf

3 páginas