chevron_left
chevron_right
Todo
Apuntes
Exámenes
Prácticas
publication
chevron_left
chevron_right

He publicado nuevos practicas de 1º Análisis Matemático: Todas-las-practicas-de-AMA-explicadas-y-resueltas.pdf

23 páginas

Examen analisis matematico

4 páginas

Examen analisis matematico

4 páginas

Examen analisis matematico

4 páginas

examenes

-

Exámenes AMA - Primer Parcial infor

Exámenes AMA - Primer Parcial informática resueltos

EXAMENAMA11PRIMERPARCIAL.pdf
EXAMENAMA10PRIMERPARCIAL.pdf
EXAMENAMA9PRIMERPARCIAL.pdf
EXAMENAMA6PRIMERPARCIAL.pdf
EXAMENAMA12PRIMERPARCIAL.pdf
EXAMENAMA13PRIMERPARCIAL.pdf

He publicado nuevos practicas de 1º Análisis Matemático: AMA-practicas-manual.pdf

10 páginas

Apuntes segundo parcial AMA, Funciones de doble variable y sucesiones ( en el apartado de puntos criticos, los criterios estan al reves, es decir, los dos positivos es un mínimo y uno de cada signo es máximo)

4 páginas

Apuntes primer parcial AMA, Integracion y derivacion

4 páginas

examenes

-

Primeros parciales AMA años anteriores

Primeros parciales AMA años anteriores, con sus respectivas soluciones.

Primer-Par.-2021-AMA-B.pdf
Primer-Par.-2020-AMA.pdf
Primer-Par.-2021-AMAA.pdf
Primer-Par.-2021-AMA.pdf
Primer-Par.-22-23-AMA.pdf
Examen-final-2021-AMA.pdf

He publicado nuevos apuntes de 1º Análisis Matemático: Comandos-MATLAB-Practicas-AMA.pdf

4 páginas

UPV 1º CURSO GCiencia Datos CUESTIONARIO P3 RESUELTO Y EXPLICADO PRÁCTICAS

2 páginas

Primer pacial resuelto últimos años

4 páginas

He publicado nuevos apuntes de 1º Análisis Matemático: TEMA-1-AMA.pdf

18 páginas

He publicado nuevos apuntes de 1º Análisis Matemático: TEMA-3-AMA.pdf

20 páginas

He publicado nuevos apuntes de 1º Análisis Matemático: TEMA-4parte1-AMA.pdf

20 páginas

He publicado nuevos apuntes de 1º Análisis Matemático: TEMA-4parte-2-AMA.pdf

17 páginas

He publicado nuevos apuntes de 1º Análisis Matemático: TEMA-5-AMA.pdf

14 páginas

He publicado nuevos apuntes de 1º Análisis Matemático: TEMA-6-AMA.pdf

7 páginas

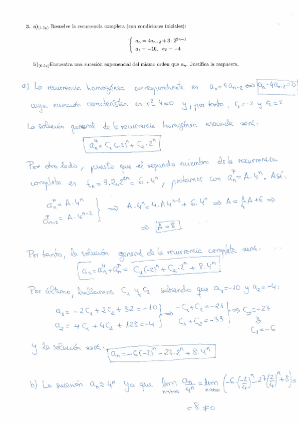
He publicado nuevos apuntes de 1º Análisis Matemático: RESOLUCIONRECURRENCIASAMA.pdf

3 páginas

He publicado nuevos apuntes de 1º Análisis Matemático: Apuntes-Practicas-AMA.pdf

2 páginas
Anónimo

@Anónimo

He publicado nuevos apuntes de 1º Análisis Matemático: CuestionarioPractica6.pdf

1 página
Anónimo

@Anónimo

He publicado nuevos apuntes de 1º Análisis Matemático: CuestionarioP5MatlabResuelto.pdf

1 página
Anónimo

@Anónimo

He publicado nuevos apuntes de 1º Análisis Matemático: CuestionarioP4MatlabResuelto.pdf

2 páginas
Anónimo

@Anónimo

He publicado nuevos apuntes de 1º Análisis Matemático: CuestionarioP4Matlab.pdf

2 páginas
Anónimo

@Anónimo

He publicado nuevos apuntes de 1º Análisis Matemático: CuestionarioP3Matlab.pdf

2 páginas
Anónimo

@Anónimo

He publicado nuevos apuntes de 1º Análisis Matemático: CuestionarioP3MatlabResuelto.pdf

2 páginas
Anónimo

@Anónimo

He publicado nuevos apuntes de 1º Análisis Matemático: AMA-ut3Datos.pdf

30 páginas
Anónimo

@Anónimo

He publicado nuevos apuntes de 1º Análisis Matemático: AMA-ut2.2Datos.pdf

30 páginas
Anónimo

@Anónimo

He publicado nuevos apuntes de 1º Análisis Matemático: AMA-ut1Datos.pdf

20 páginas
Anónimo

@Anónimo

He publicado nuevos apuntes de 1º Análisis Matemático: AMA-ut2.1Datos.pdf

30 páginas

apuntes

-

Apuntes AMA

He publicado nuevos apuntes de 1º Análisis Matemático: Apuntes AMA

Ejercicios-Matlab-Esquema.pdf
Resumen-1oParcial.pdf
Resumen-2oParcial.pdf

apuntes

-

Ejercicios resueltos

He publicado nuevos apuntes de 1º Análisis Matemático: Ejercicios resueltos

AMAUT1SolucionesReales.pdf
AMAUT1UT2Resueltos.pdf
AMAUT2.2Resueltos.pdf
AMAut2SolucionesFunciones.pdf
AMAUT4Resueltosrecurrencias.pdf
AMAUT5-UT6Resueltos.pdf

apuntes

-

MATERIAL_Explicado_por_Unidades_Temáticas

He publicado nuevos apuntes de 1º Análisis Matemático: MATERIAL_Explicado_por_Unidades_Temáticas

AMAut1ProblemasPropuestos.pdf
AMAut1Soluciones.pdf
AMAut2ProblemasPropuestos.pdf
AMAut2Soluciones.pdf
AMAut2Presentacion.pdf
Cuatro-ejemplos.pdf

apuntes

-

GUION

He publicado nuevos apuntes de 1º Análisis Matemático: GUION

AMASesion2.pdf
AMASesion4-1.pdf
AMASesion6.pdf
AMASesion10-11-1.pdf
AMASesion10-11-1.pdf
AMAsesion1.pdf

examenes

-

Exámenes resueltos

He publicado nuevos examenes de 1º Análisis Matemático: Exámenes resueltos

AMA-Primerparcial2021ModelosAyB-Resueltos..pdf
amaDatos2122Parcial2Resuelto.pdf
AMAParcial12122DatosResueltoA.pdf
AMAParcial12122DatosResueltoB.pdf
SegundoParcialAMA2021Resuelto.pdf

He publicado nuevos apuntes de 1º Análisis Matemático: Resumen-asignatura-completa.pdf

15 páginas

He publicado nuevos practicas de 1º Análisis Matemático: Matlab.pdf

6 páginas
Anónimo

@Anónimo

examenes

-

EXÁMENES AMA

He publicado nuevos examenes de 1º Análisis Matemático: EXÁMENES AMA

2021-1-AMA-Primer-Parcial-Resuelto.pdf
2021-3-AMA-Examen-final-Resuelto.pdf
D14.pdf
D13.pdf
D12.pdf
D11.pdf

apuntes

-

AMA temas 1-6

He publicado nuevos apuntes de 1º Análisis Matemático: AMA temas 1-6

AMA-Integracion.pdf
AMA-T1.pdf
AMA-T2.pdf
AMA-T3.pdf
AMA-T4.pdf
AMA-T5.pdf

He publicado nuevos apuntes de 1º Análisis Matemático: Matlab.pdf

29 páginas

Entrevista a alumn@

Hola! Para un proyecto del colegio tengo que entrevistar a alguien que estudie algo relacionado con Ciencias de datos, o mejor aún si es específicamente esa carrera. Si alguien está interesado, por favor, díganme, se los agradecería bastante:))

apuntes

-

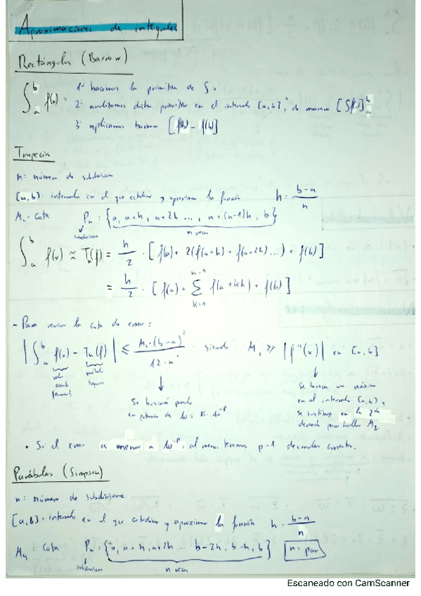
Apuntes Ama 1

He publicado nuevos apuntes de 1º Análisis Matemático: Apuntes Ama 1

Apuntes-Ama-1.jpg
Apuntes-Ama-2.jpg
Apuntes-Ama-3.jpg
Apuntes-Ama-4.jpg
Apuntes-Ama-5.jpg
Apuntes-Ama-6.jpg
¡Estás al día!

¡Estás al día!

Has visto todos los archivos