chevron_left
chevron_right
Todo
Apuntes
Ejercicios
Trabajos
chevron_left
chevron_right

He publicado nuevos apuntes de 1º Análisis Matemático: Analisis-Matematico-T.2.pdf

1 página

He publicado nuevos apuntes de 1º Análisis Matemático: Analisis-Matematico-T.1.pdf

1 página

Limpiando me he encontrado unos esquemas que nunca subi Tema 3 de analisis mataematico

9 páginas

He publicado nuevos apuntes de 1º Análisis Matemático: Analisis-matematico-5temas-5paginas.pdf

5 páginas

Estos son unos esquemas de toda la teoria que entra en al primer parcial de Algebra es decir los temas 1 y 2 (Matrices y aritmetica entera y modular)

7 páginas

Esta es la teoria del tema 4 de series . Recomiendo usarla tomando de apoyo los ejercicios del moodle

5 páginas

He publicado nuevos apuntes de 1º Análisis Matemático: Tema4-Series.pdf

4 páginas

He publicado nuevos apuntes de 1º Análisis Matemático: Tema3-Sucesiones.pdf

10 páginas

He publicado nuevos apuntes de 1º Análisis Matemático: Tema2-Calculo-Integral.pdf

Miniatura no disponible
4 páginas

He publicado nuevos apuntes de 1º Análisis Matemático: Tema1-Funcion-1-y-2-Variables.pdf

7 páginas

apuntes

-

Teoría

He publicado nuevos apuntes de 1º Análisis Matemático: Teoría

PuestaAPunto.pdf
Tema1Funcion1y2Variables22-236xpag.pdf
Tema2CalculoIntegral22-236xpag.pdf
Tema3Sucesiones2023Partes1-46xpag.pdf
Tema4Series22-23Parte1y26xpag.pdf
Tema5SeriesPotencias22-236xpag.pdf

He publicado nuevos apuntes de 1º Análisis Matemático: Tema-5.-Series-de-potencias.pdf

11 páginas

He publicado nuevos apuntes de 1º Análisis Matemático: Tema-4.-Series-de-numeros-reales.pdf

18 páginas

He publicado nuevos apuntes de 1º Análisis Matemático: Tema-3.-Sucesiones.pdf

21 páginas

He publicado nuevos apuntes de 1º Análisis Matemático: Tema-2.-Integracion.pdf

20 páginas

He publicado nuevos apuntes de 1º Análisis Matemático: Tema-1.-Calculo-diferencial.pdf

45 páginas

He publicado nuevos apuntes de 1º Análisis Matemático: APUNTEStema2.pdf

6 páginas

He publicado nuevos apuntes de 1º Análisis Matemático: APUNTEStema1.pdf

6 páginas

He publicado nuevos apuntes de 1º Análisis Matemático: APUNTEStema3.pdf

6 páginas

He publicado nuevos apuntes de 1º Análisis Matemático: T4Analisis.pdf

6 páginas

He publicado nuevos apuntes de 1º Análisis Matemático: T5Analisis.pdf

13 páginas

He publicado nuevos apuntes de 1º Análisis Matemático: Tema4-RESUMEN-de-resultados-sobre-Series-2.pdf

3 páginas

He publicado nuevos apuntes de 1º Análisis Matemático: SolucionesEv3-Curso1718.pdf

5 páginas

He publicado nuevos apuntes de 1º Análisis Matemático: Semana10Clase-de-problemasTema-4.pdf

5 páginas

He publicado nuevos apuntes de 1º Análisis Matemático: Tema4-SOLUCIONES-AA-OtrosCursos-2.pdf

18 páginas

He publicado nuevos apuntes de 1º Análisis Matemático: Tema5-RESUMEN-Series-de-potencias-1.pdf

3 páginas

He publicado nuevos apuntes de 1º Análisis Matemático: Semana13Clase-de-problemasTema-5-2.pdf

11 páginas

He publicado nuevos apuntes de 1º Análisis Matemático: Activad-de-aprendizaje-AM.pdf

27 páginas

apuntes

-

RESUMEN PARCIAL 1

He publicado nuevos apuntes de 1º Análisis Matemático: RESUMEN PARCIAL 1

RESUMEN-T1.pdf
RESUMEN-T2.pdf
RESUMEN-T3.pdf

ejercicios

-

Actividad de aprendizaje 21 22

He publicado nuevos ejercicios de 1º Análisis Matemático: Actividad de aprendizaje 21 22

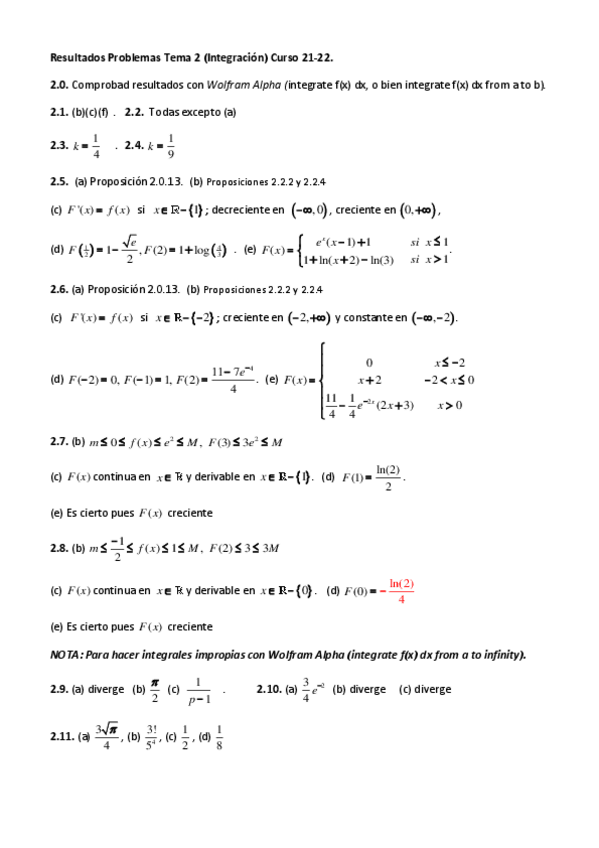
Tema-2-RESULTADOS-Problemas-2021-22-29-09-2021-20211004-190516-UTC.pdf
AM-AATema121-22-20211004-190516-UTC.pdf
AM-AATema221-22-20211004-190516-UTC.pdf
RESULTADOS-AA-Tema1-21-22-21-09-2021-20211004-190516-UTC.pdf
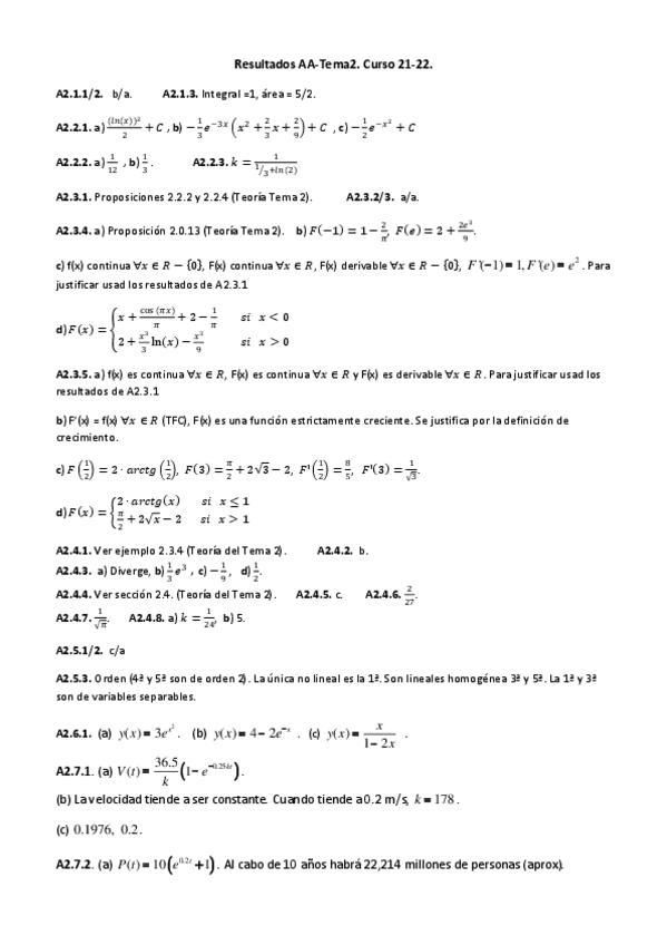
RESULTADOS-AA-Tema2-2021-22-20211004-190516-UTC.pdf

He publicado nuevos apuntes de 1º Análisis Matemático: TEMA-5.pdf

6 páginas

He publicado nuevos apuntes de 1º Análisis Matemático: TEMA-4.pdf

8 páginas

He publicado nuevos apuntes de 1º Análisis Matemático: TEMA-3.pdf

15 páginas

He publicado nuevos apuntes de 1º Análisis Matemático: TEMA-2.pdf

8 páginas

He publicado nuevos apuntes de 1º Análisis Matemático: TEMA-1.pdf

5 páginas

He publicado nuevos apuntes de 1º Análisis Matemático: Tema-4-Sucesiones-Numericas.pdf

4 páginas

He publicado nuevos apuntes de 1º Análisis Matemático: Tema-3-EDOs.pdf

3 páginas

He publicado nuevos trabajos de 1º Análisis Matemático: INTRODUCCIÓN AL ALGORITMO DE SELECCIÓN.pdf

9 páginas

He publicado nuevos apuntes de 1º Análisis Matemático: Tema0-SOLUCIONES-ConceptosGeneralesFunciones.pdf

5 páginas

He publicado nuevos apuntes de 1º Análisis Matemático: Temas01-TEORIA-ComparacionUnayVariasVariables.pdf

3 páginas

He publicado nuevos trabajos de 1º Análisis Matemático: Trabajo.pdf

29 páginas
¡Estás al día!

¡Estás al día!

Has visto todos los archivos