chevron_left
chevron_right
Todo
Exámenes
chevron_left
chevron_right

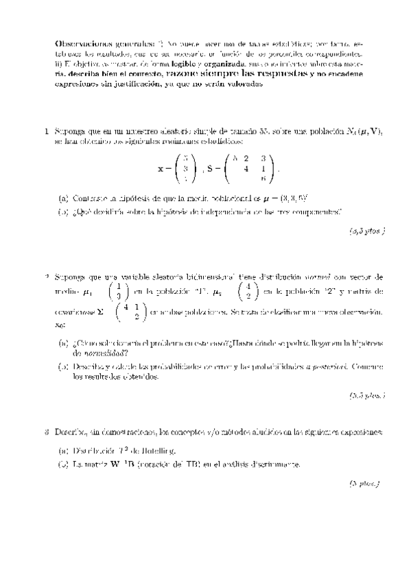
He publicado nuevos examenes de 4º Análisis Multivariante: Analisis-Multivariante-Primera-Semana-Curso-18-19.pdf

1 página

He publicado nuevos examenes de 4º Análisis Multivariante: Analisis-Multivariante-Segunda-Semana-Curso-18-19.pdf

1 página

He publicado nuevos examenes de 4º Análisis Multivariante: Analisis-Multivariante-Recuperacion-Curso-18-19.pdf

1 página

He publicado nuevos examenes de 4º Análisis Multivariante: Analisis-Multivariante-Segunda-Semana-Curso-22-23.pdf

1 página

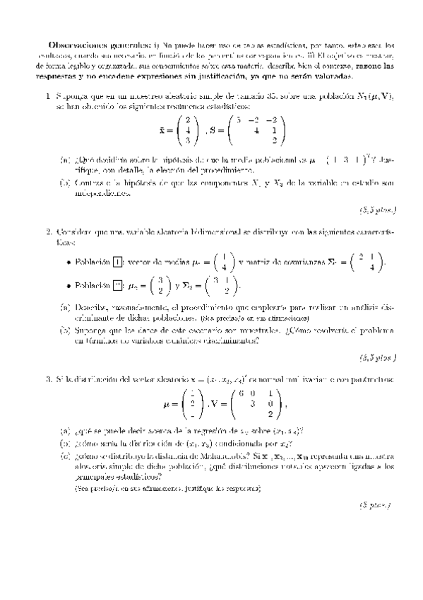
He publicado nuevos examenes de 4º Análisis Multivariante: Analisis-Multivariante-Primera-Semana-Curso-22-23.pdf

1 página
¡Estás al día!

¡Estás al día!

Has visto todos los archivos