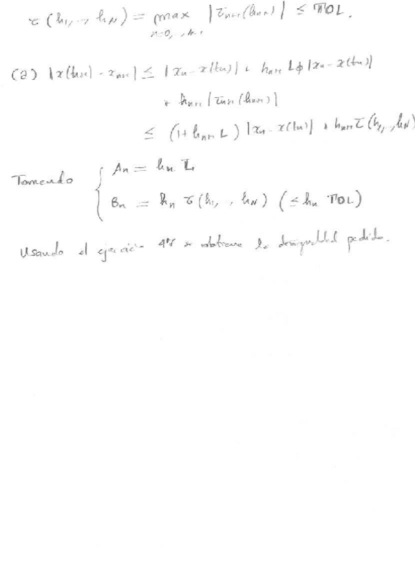
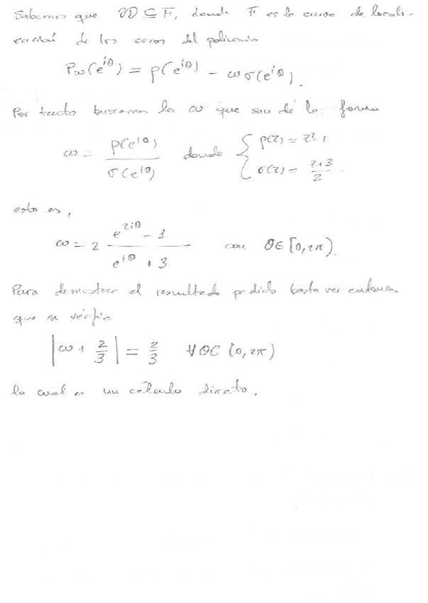
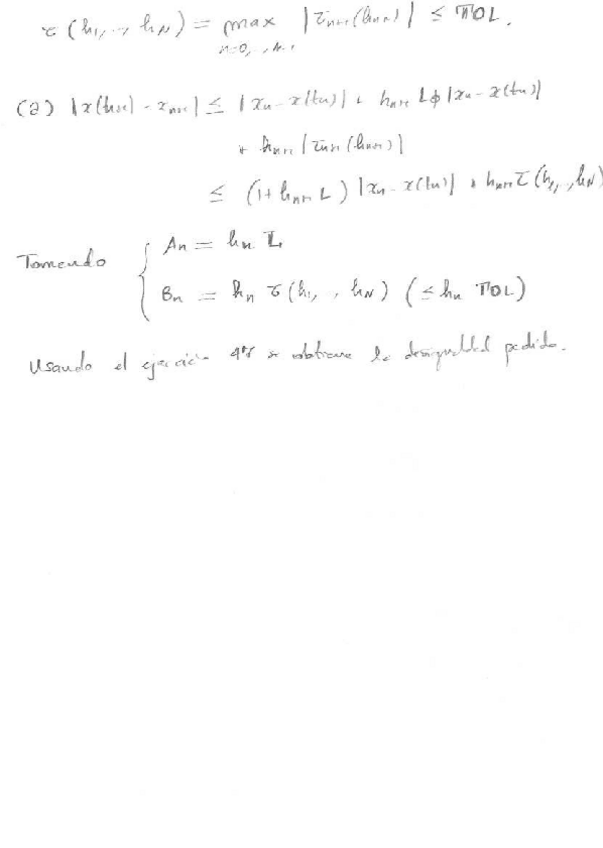
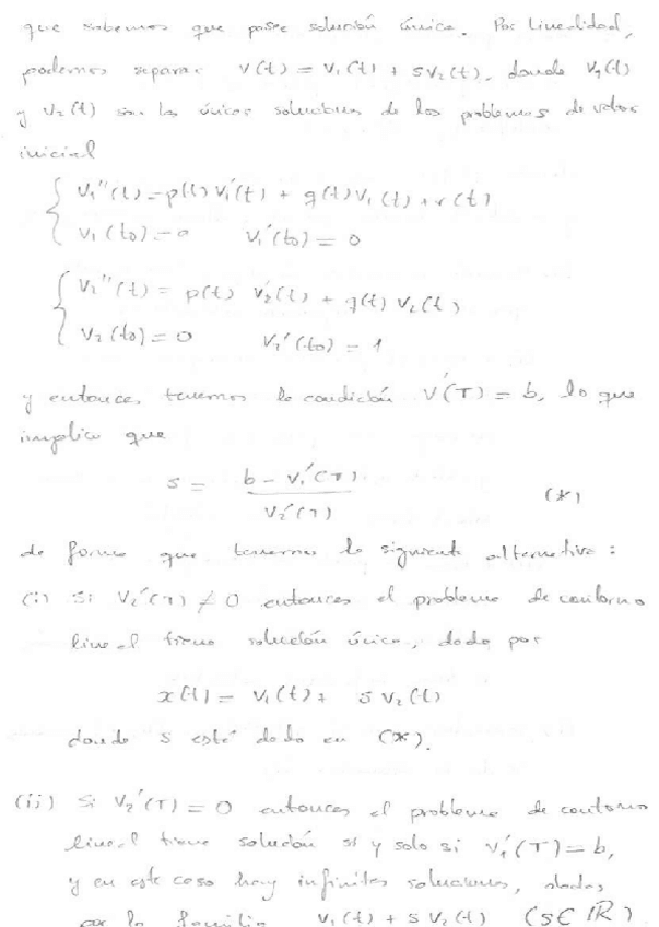
Todo
Apuntes
Ejercicios
chevron_left
chevron_right

ejercicios

-

Soluciones completas ANNU

He publicado nuevos ejercicios de 4º Análisis Numérico: Soluciones completas ANNU

SOLUCIONES-2.pdf
SOLUCIONES-5.pdf
SOLUCIONES-6.pdf
SOLUCIONES-1.pdf
SOLUCIONES-4.pdf
SOLUCIONES-3.pdf

apuntes

-

Solucion Examenes 2026

He publicado nuevos apuntes de 4º Análisis Numérico: Solucion Examenes 2026

Soluciones-Examenes-2.pdf
Soluciones-Examenes-1.pdf
¡Estás al día!

¡Estás al día!

Has visto todos los archivos