Análisis Químico e Instrumental

chevron_left
chevron_right
Todo
Apuntes
Ejercicios
Exámenes
Otros
Prácticas
Test
chevron_left
chevron_right

He publicado nuevos examenes de 1º Análisis Químico e Instrumental: Examen-2o-parcial-analisis-quimico.docx.pdf

1 página

apuntes

-

Teoría segundo examen (7-13)

He publicado nuevos apuntes de 1º Análisis Químico e Instrumental: Teoría segundo examen (7-13)

Tema-7-Equilibrio-Y-Volumetrias-De-Formacion-De-Complejos.pdf
Tema-8-Equilirio-Y-Volumetrias-Redox.pdf
Tema-9-Equilibrio-Y-Volumetrias-De-Precipitacion.pdf
Tema-10-Analisis-Gavimetrico.pdf
Tema-11-Apuntes.pdf
Tema-12-Intorduccion-A-Las-Tecnicas-Espectroscopicas-Opticas.pdf

apuntes

-

Apuntes teoría primer parcial (1-6)

He publicado nuevos apuntes de 1º Análisis Químico e Instrumental: Apuntes teoría primer parcial (1-6)

Tema-1-Introduccion-a-al-analisis-quimico-e-instrumental.pdf
Tema-2-El-proceso-analitico.pdf
Tema-3-Errores-en-el-analisis-quimico.pdf
Tema-4-Introduccion-al-equilibrio-quimico.pdf
Tema-5-Analisis-volumetrico.pdf
Tema-6-Equilibrios-y-volumetrias-acido-base.pdf

ejercicios

-

Ejercicios T5-T9

Ejercicios de los temas 5 al 9 de Análisis Químico Cuantitativo

Ejercicios-T5.pdf
Ejercicios-T6.pdf
Ejercicios-T7.pdf
Ejercicios-T9.pdf

He publicado nuevos ejercicios de 2º Análisis Químico e Instrumental: Ejercicios-Parcial-1-A.Qmco-T5-T9.pdf

13 páginas

He publicado nuevos practicas de 1º Análisis Químico e Instrumental: Practica-6.pdf

2 páginas

He publicado nuevos practicas de 1º Análisis Químico e Instrumental: Practica-5.pdf.pdf.pdf

2 páginas

He publicado nuevos practicas de 1º Análisis Químico e Instrumental: Practica-4.pdf

2 páginas

Resumen del tema 1 al 6. Lo más importante + todo lo que 100% cae en examen. Definiciones y fórmulas.

1 página

Estructura del primer examen 2025/2026 de análisis.

1 página

Hay ejemplos de todos los tipos de volumetrias acido base

5 páginas

Están todas las soluciones con explicación.

15 páginas

Análisis Químico e Instrumental T5

6 páginas

Análisis Químico e Instrumental T4

5 páginas

Análisis Químico e Instrumental T3

7 páginas

Análisis Químico e Instrumental T2

4 páginas

Análisis Químico e Instrumental T1.

5 páginas

He publicado nuevos apuntes de 1º Análisis Químico e Instrumental: Apuntes-analisis.pdf

60 páginas

Final de los contenidos del tema 6 en relación a la valoración de los ácidos dipróticos y sus cálculos.

2 páginas

He publicado nuevos ejercicios de 1º Análisis Químico e Instrumental: Seminario-analisis-volumetrico.pdf

4 páginas

He publicado nuevos ejercicios de 1º Análisis Químico e Instrumental: Ejercicio-propuesto.pdf

1 página

He publicado nuevos apuntes de 1º Análisis Químico e Instrumental: Tema-6.pdf

4 páginas

preguntas que entraron en los examenes

2 páginas

ejercicios

-

parte 1

He publicado nuevos ejercicios de 1º Análisis Químico e Instrumental: parte 1

Seminario-3.pdf
Seminario-4.pdf
Seminario-5.pdf
Formulario-parte-1.pdf
Seminario-6.pdf

He publicado nuevos apuntes de 2º Análisis Químico e Instrumental: AQ-Tema-3.pdf

3 páginas

He publicado nuevos apuntes de 2º Análisis Químico e Instrumental: AQ-Tema-2.pdf

5 páginas

He publicado nuevos apuntes de 2º Análisis Químico e Instrumental: AQ-Tema-1.pdf

8 páginas

He publicado nuevos apuntes de 2º Análisis Químico e Instrumental: Temario-1er-examen.pdf

29 páginas
Anónimo

@Anónimo

He publicado nuevos examenes de 2º Análisis Químico e Instrumental: Examenes.pdf

36 páginas
Anónimo

@Anónimo

He publicado nuevos apuntes de 2º Análisis Químico e Instrumental: T9.-Volumetrias-de-precipitacion.pdf

11 páginas
Anónimo

@Anónimo

He publicado nuevos apuntes de 2º Análisis Químico e Instrumental: T8.-Volumetrias-redox.pdf

8 páginas
Anónimo

@Anónimo

He publicado nuevos apuntes de 2º Análisis Químico e Instrumental: T7.-Reacciones-de-formacion-de-complejos.pdf

9 páginas
Anónimo

@Anónimo

He publicado nuevos apuntes de 2º Análisis Químico e Instrumental: T6.-Volumetrias-acido-base.pdf

14 páginas
Anónimo

@Anónimo

He publicado nuevos apuntes de 2º Análisis Químico e Instrumental: T5.-Fundamentos-del-analisis-volumetrico.pdf

4 páginas
Anónimo

@Anónimo

He publicado nuevos apuntes de 2º Análisis Químico e Instrumental: T4.-Separaciones-analiticas.pdf

14 páginas
Anónimo

@Anónimo

He publicado nuevos apuntes de 2º Análisis Químico e Instrumental: T3.-Aspectos-analiticos-de-las-reacciones.pdf

2 páginas
Anónimo

@Anónimo

He publicado nuevos apuntes de 2º Análisis Químico e Instrumental: T2.-Etapas-de-un-proceso-analitico-y-tratamiento-de-la-muestra.pdf

3 páginas
Anónimo

@Anónimo

He publicado nuevos apuntes de 2º Análisis Químico e Instrumental: T1.-Introduccion.pdf

8 páginas

He publicado nuevos apuntes de 2º Análisis Químico e Instrumental: T0.-Introduccion.pdf

5 páginas

He publicado nuevos apuntes de 2º Análisis Químico e Instrumental: Problemas-Propuestos-2425.pdf

10 páginas

He publicado nuevos apuntes de 1º Análisis Químico e Instrumental: Formulario-parte2.pdf

1 página

ejercicios

-

Parte 2

He publicado nuevos ejercicios de 1º Análisis Químico e Instrumental: Parte 2

Seminario-12.pdf
Seminario-7.pdf
Seminario-13.pdf
Seminario-8.pdf
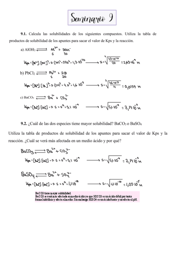
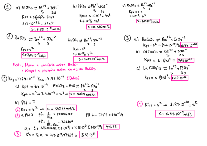
Seminario-9.pdf
Seminario-11.pdf

He publicado nuevos apuntes de 1º Análisis Químico e Instrumental: Prueba-Evaluable.pdf

1 página

ejercicios

-

Ejercicios seminario segundo parcial

He publicado nuevos ejercicios de 1º Análisis Químico e Instrumental: Ejercicios seminario segundo parcial

Seminario-Tema-10.pdf
Seminario-Tema11.pdf
Seminario-Tema-12.pdf
Seminario-Tema-13.pdf
Seminario-Tema-8.pdf
Seminario-Tema-9.pdf

apuntes

-

Apuntes segundo parcial

He publicado nuevos apuntes de 1º Análisis Químico e Instrumental: Apuntes segundo parcial

Tema-9.pdf
TEMA-7.pdf
Tema-8.pdf
TEMA-10.pdf
Tema-11.pdf
Tema-13.pdf

apuntes

-

ANÁLISIS - SEGUNDA PARTE

He publicado nuevos apuntes de 1º Análisis Químico e Instrumental: ANÁLISIS - SEGUNDA PARTE

TEMA-7Formacion-de-complejos.pdf
TEMA-8REDOX.pdf
TEMA-10Gravimetrias.pdf
TEMA-11Tecnicas-instrumentales.pdf
TEMA-9Precipitacion.pdf
TEMA-12Espectroscopia-optica.pdf

apuntes

-

Autoevaluaciones

autoevaluaciones temas 11-13

autoevaluacion-tema-11.pdf
autoevaluacion-tema-12.pdf
autoevaluacion-tema-13.pdf

apuntes

-

ANÁLISIS - PRIMERA PARTE

He publicado nuevos apuntes de 1º Análisis Químico e Instrumental: ANÁLISIS - PRIMERA PARTE

TEMA-1Introduccion-al-analisis-quimico-e-instrumental.pdf
TEMA-2El-proceso-analitico.pdf
TEMA-3Errores.pdf
TEMA-4Equilibrio-quimico.pdf
TEMA-5Volumetrias.pdf
TEMA-6Acido-base.pdf

He publicado nuevos test de 1º Análisis Químico e Instrumental: Prueba-Evaluble.pdf

2 páginas

He publicado nuevos apuntes de 1º Análisis Químico e Instrumental: TEMA-4-INTRODUCCION-AL-EQUILIBRIO-QUIMICO.pdf

4 páginas

ejercicios

-

Seminarios

He publicado nuevos ejercicios de 1º Análisis Químico e Instrumental: Seminarios

Seminario-Tema-3.pdf
Seminario-Tema-4.pdf
Seminario-Tema-5.pdf
Seminario-Tema-6.pdf

He publicado nuevos apuntes de 1º Análisis Químico e Instrumental: TEMA-5-ANALISIS-VOLUMETRICO.pdf

3 páginas

apuntes

-

Apuntes primer parcial

He publicado nuevos apuntes de 1º Análisis Químico e Instrumental: Apuntes primer parcial

Tema-1.pdf
Tema-2.pdf
Tema-3.pdf
Tema-4.pdf
Tema-5.pdf
Tema-6.pdf

He publicado nuevos apuntes de 1º Análisis Químico e Instrumental: TEMA-3-ERRORES-EN-EL-ANALISIS-QUIMICO.pdf

2 páginas

He publicado nuevos apuntes de 1º Análisis Químico e Instrumental: TEMA-2-EL-PROCESO-ANALITICO.pdf

2 páginas

He publicado nuevos apuntes de 1º Análisis Químico e Instrumental: TEMA-1-INTRODUCCION-AL-ANALISIS-QUIMICO-E-INSTRUMENTAL.pdf

2 páginas

He publicado nuevos apuntes de 2º Análisis Químico e Instrumental: INTERPRETACION-CURVA-VALORACION-ACIDO-BASE.pdf

7 páginas

He publicado nuevos apuntes de 2º Análisis Químico e Instrumental: Analisis-Instrumental.pdf

18 páginas

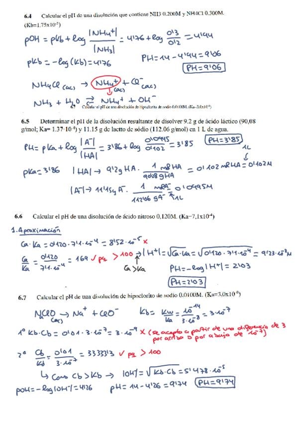
He publicado nuevos ejercicios de 1º Análisis Químico e Instrumental: Seminario-tema-6.pdf

5 páginas

He publicado nuevos ejercicios de 1º Análisis Químico e Instrumental: Seminario-tema-5.pdf

3 páginas