Análisis Químico

Todo
Apuntes
Ejercicios
Prácticas
publication
chevron_left
chevron_right

Apuntes de los temas teóricos (T1 y T2) y del tema 5 parte teórica.

33 páginas

CURSOS INTENSIVOS CONVOCATORIA ORDINARIA

Si lo has dejado para última hora...listas abiertas ya! Exámenes de diciembre - Inicio 21 Noviembre Exámenes de enero - Inicio 22 Diciembre Más información y reserva de plaza 642488968 - 915492048

apuntes

-

ANALISIS QUÍMICO TEMAS

He publicado nuevos apuntes de 2º Análisis Químico: ANALISIS QUÍMICO TEMAS

TEMA-1-ANALISIS.pdf
TEMA-2-ANALISIS.pdf

apuntes

-

Apuntes parcial

He publicado nuevos apuntes de 2º Análisis Químico: Apuntes parcial

Tema-1-Analisis.pdf
Tema-3A-Analisis.pdf
Tema-3-Analisis.pdf
Tema-2-Analisis.pdf

ejercicios

-

Ejercicios

He publicado nuevos ejercicios de 2º Análisis Químico: Ejercicios

Ejercicios-Tema-3B.pdf
Ejercicios-Tema-3C.pdf
Ejercicios-Tema-5.pdf
Ejercicios-Tema-4.pdf
Ejercicios-Tema-3D.pdf
Anónimo

@Anónimo

He publicado nuevos apuntes de 2º Análisis Químico: Segundo-parcial-Analsis-quimico.pdf

48 páginas
Anónimo

@Anónimo

He publicado nuevos practicas de 2º Análisis Químico: Cuaderno-practicas-analisis-quimico.pdf

25 páginas

apuntes

-

APUNTES ANALISIS QUIMICO

He publicado nuevos apuntes de 2º Análisis Químico: APUNTES ANALISIS QUIMICO

APUNTES-ANALISIS-QUIMICO.pdf
EJERCICIOS-ANALISIS-QUIMICO.pdf

He publicado nuevos apuntes de 2º Análisis Químico: Tema2-AnalisisQuimico.pdf

15 páginas

He publicado nuevos apuntes de 2º Análisis Químico: tema1-AnalisisQuimico.pdf

10 páginas

ejercicios tema 3. precipitacion

3 páginas

apuntes

-

Análisis químico - apuntes efectivos

He publicado nuevos apuntes de 2º Análisis Químico: Análisis químico - apuntes efectivos

TEMA-2-MUESTREO.pdf
TEMA-3.1-VOLUMETRIAS-ACIDO-BASE.pdf
Anónimo

@Anónimo

He publicado nuevos apuntes de 2º Análisis Químico: Analisis-Quimico-primer-parcial.pdf

31 páginas

He publicado nuevos ejercicios de 2º Análisis Químico: Ejerciciosanalisisgrupo7.pdf

5 páginas

apuntes

-

CUADERNO LABORATORIO

He publicado nuevos apuntes de 2º Análisis Químico: CUADERNO LABORATORIO

PRACTICAS-ANALISIS-QUIMICO.pdf

He publicado nuevos apuntes de 2º Análisis Químico: CONSEJOS-2o-FARMACIA.pdf

3 páginas

He publicado nuevos apuntes de 2º Análisis Químico: TEMA-3-VOLUMETRIA.pdf

1 página

He publicado nuevos apuntes de 2º Análisis Químico: TEMA-2-TOMATRATAMIENTO-DE-MUESTRA.pdf

24 páginas

He publicado nuevos apuntes de 2º Análisis Químico: TEMA-1-INTRODUCCION-AL-ANALISIS-QUIMICO-Y-TRATAMIENTO-DE-DATOS.pdf

17 páginas
Anónimo

@Anónimo

ejercicios

-

Problemas de Validación

He publicado nuevos ejercicios de 2º Análisis Químico: Problemas de Validación

6.-Problemas-Validacion.pdf
Resueltos-validacion.pdf
Anónimo

@Anónimo

ejercicios

-

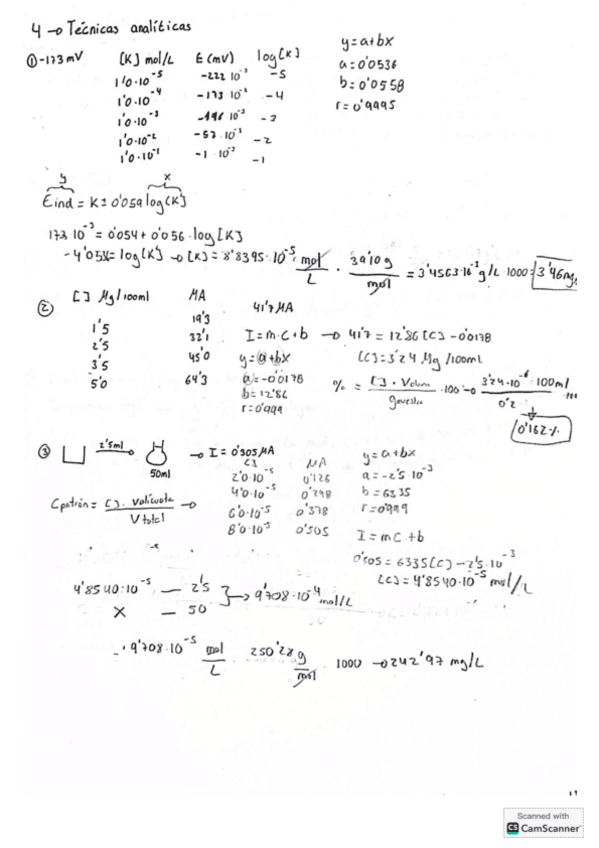
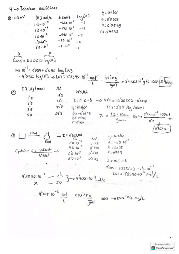
Problemas Métodos electroquímicos

He publicado nuevos ejercicios de 2º Análisis Químico: Problemas Métodos electroquímicos

5.-Problemas-metodos-electroquimicos.pdf
Resueltos-Metodos-electroquimicos.pdf
Anónimo

@Anónimo

ejercicios

-

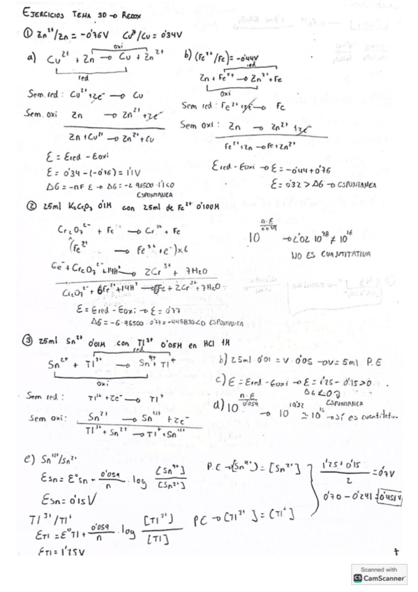
Problemas Redox

He publicado nuevos ejercicios de 2º Análisis Químico: Problemas Redox

4.-Problemas-redox.pdf
Resueltos-Redox.pdf
Anónimo

@Anónimo

ejercicios

-

Problemas de Precipitación

He publicado nuevos ejercicios de 2º Análisis Químico: Problemas de Precipitación

3.-Problemas-valoraciones-de-precipitacion.pdf
Resueltos-precipitacion.pdf
Anónimo

@Anónimo

ejercicios

-

Problemas de Complejos

He publicado nuevos ejercicios de 2º Análisis Químico: Problemas de Complejos

2.-Problemas-de-complejos.pdf
Resueltos-complejos.pdf
Anónimo

@Anónimo

ejercicios

-

Problemas ácido-base

He publicado nuevos ejercicios de 2º Análisis Químico: Problemas ácido-base

1.-Problemas-acido-base.pdf
Resueltos-acido-base.pdf
Anónimo

@Anónimo

He publicado nuevos apuntes de 2º Análisis Químico: EQUILIBRIOSYVOLUMETRASDECOMPLEJACION.pdf

1 página

He publicado nuevos apuntes de 2º Análisis Químico: TEMA-3D.-analisis.pdf

16 páginas

He publicado nuevos apuntes de 2º Análisis Químico: tema-3c-analisis.pdf

11 páginas

He publicado nuevos apuntes de 2º Análisis Químico: TEMA-4.-analisis.pdf

14 páginas

He publicado nuevos practicas de 2º Análisis Químico: practicas-analisis-quimico-chemical-analisis.pdf

67 páginas
Anónimo

@Anónimo

apuntes

-

Esquemas teoría

He publicado nuevos apuntes de 2º Análisis Químico: Esquemas teoría

Esquema-T1-Metodo-de-analisis.pdf
AUTOEVALUACION-TEMA-1-sin-corregir.docx
Esquema-T1-Tratamiento-de-datos.pdf
Esquema-T2-Ejecucion-del-metodo.pdf
Esquema-T2-SPE-Fases.pdf

apuntes

-

ejercicios CORREGIDOS

He publicado nuevos apuntes de 2º Análisis Químico: ejercicios CORREGIDOS

T1-ejercicios-resueltos.pdf
T3a-ejercicios-resueltos.pdf
T3b-ejercicios-resueltos.pdf
T3c-ejercicios-resueltos.pdf
T3d-ejercicios-resueltos.pdf
T4-ejercicios-resueltos.pdf

He publicado nuevos apuntes de 2º Análisis Químico: Resumen-practicas.pdf

12 páginas

ejercicios

-

Problemas de toda la asignatura

He publicado nuevos ejercicios de 2º Análisis Químico: Problemas de toda la asignatura

problemas-tema-1.pdf
Problemas-T2.pdf
Problemas-cuantitativo-acido-base.pdf
Problemas-T3.pdf
Problemas-T3-Redox.pdf
Problemas-T3-Precipitacion.pdf

apuntes

-

Resumenes T1 y 2

He publicado nuevos apuntes de 2º Análisis Químico: Resumenes T1 y 2

Resumen-T1-introduccion-al-metodo-optico.pdf
Resumen-T2-toma-y-tratamiento-de-muestra.pdf

ejercicios

-

Problemas Análisis Químico Corregidos

He publicado nuevos ejercicios de 2º Análisis Químico: Problemas Análisis Químico Corregidos

Tema-3a-acido-base-problemas.pdf
Tema-3a-cuantitativa-ac-b-problemas.pdf
Problemas-Complejos.pdf
Problemas-Redox.pdf
Problemas-Tecnicas-electroanaliticas.pdf
Problemas-Precipitacion.pdf

apuntes

-

Apuntes de análisis completos

He publicado nuevos apuntes de 2º Análisis Químico: Apuntes de análisis completos

T1- analítica
T2- muestreo
T3D-redox
T4- electroanalítica
T3C- solubilidad y precipitación
T3-B-complejos

He publicado nuevos ejercicios de 2º Análisis Químico: Ejercicios-Tema-3.pdf

11 páginas

He publicado nuevos apuntes de 2º Análisis Químico: Apuntes Análisis químico primer parcial

27 páginas

He publicado nuevos practicas de 2º Análisis Químico: Prácticas Analisis químico.pdf

6 páginas

apuntes

-

Apuntes Análisis químico

He publicado nuevos apuntes de 2º Análisis Químico: Apuntes Análisis químico

Tema-1-Introduccion-al-metodo-analitico.pdf
Tema-3-Introduccion-al-analisis-volumetrico.pdf
Tema-3a-Volumetrias-acido-base.pdf
Tema-2-Toma-y-tratamiento-de-la-muestra.pdf
Anónimo

@Anónimo

apuntes

-

Analisis quimico

He publicado nuevos apuntes de 2º Análisis Químico: Analisis quimico

Tema-1-analisis-quimico.pdf
Tema-2-Analisis.pdf
Clase-magistral-analisis.pdf
Tema-3.pdf
Tema-3-ANALISIS.pdf
tema-4-ANALISIS-.pdf

apuntes

-

CHEMICAL ANALYSIS

He publicado nuevos apuntes de 2º Análisis Químico: CHEMICAL ANALYSIS

Miniatura no disponible
RED-OX-TITRATIONS.rtf
LESSON-2.pdf
SOLUBILITY-TITRATIONS.pdf
ACID-BASE-TITRATIONS.pdf
COMPLEX-FORMATION-PROBLEMS.pdf
COMPLEX-TITRATIONS.pdf

apuntes

-

Chemical analysis

He publicado nuevos apuntes de 2º Análisis Químico: Chemical analysis

Sample-collection-and-Treatment-.pdf
acid-base-titration-.pdf

apuntes

-

Teoría a ordenador

He publicado nuevos apuntes de 2º Análisis Químico: Teoría a ordenador

Tema-2.pdf
Tema-4-1.pdf
Tema-1-Apuntes.pdf
Control-de-calidad.pdf

apuntes

-

Apuntes de teoría y prácticas

He publicado nuevos apuntes de 2º Análisis Químico: Apuntes de teoría y prácticas

Soluciones.pdf
T3.pdf
T5.pdf
T2.pdf
T3.pdf
T3.pdf

apuntes

-

Análisis químico - ejercicios resueltos

He publicado nuevos apuntes de 2º Análisis Químico: Análisis químico - ejercicios resueltos

Ejercicios-complejos.pdf
Ejercicios-tratamiento-de-muestra.pdf
Ejercicios-acido-base.pdf
Ejercicios-tecnicas-electroanaliticas.pdf
Ejercicios-redox.pdf
Ejercicios-solubilidad.pdf

apuntes

-

Análisis químico - Todos los temas

He publicado nuevos apuntes de 2º Análisis Químico: Análisis químico - Todos los temas

Tema-4-Analisis.pdf
Tema-7-analisis.pdf
Tema-5-Analisis.pdf
Tema-1-analisis.pdf
Tema-3-Analisis.pdf
Tema-2-analisis.pdf
Anónimo

@Anónimo

apuntes

-

Teoria a ordenador Analisis

He publicado nuevos apuntes de 2º Análisis Químico: Teoria a ordenador Analisis

TEMA 7 MAGISTRAL .pdf
TEMA 4 Solubilidad.pdf
TEORIA TEMA 5 volumetrias redox.pdf
TEMA 3 Complejos.pdf
TEMA 6 Toma y tratamiento de muestras.pdf

apuntes

-

temas de bio

He publicado nuevos apuntes de 2º Análisis Químico: temas de bio

Tema 1 bio.docx
Tema 2 bio.docx
Tema 3 bio.docx

apuntes

-

temas bio 3

He publicado nuevos apuntes de 2º Análisis Químico: temas bio 3

Tema 7 bio.docx
Tema 8 bio.docx
Tema 9 bio.docx

apuntes

-

temas bio 4

He publicado nuevos apuntes de 2º Análisis Químico: temas bio 4

Tema 10 bio.docx
Tema 11 bio.docx
Tema 12 bio.docx

apuntes

-

temas bio 2

He publicado nuevos apuntes de 2º Análisis Químico: temas bio 2

Tema 4 bio.docx
tema 5 bio.docx
Tema 6 bio.docx
Anónimo

@Anónimo

ejercicios

-

Ejercicios Varios (2)

Son de un libro de análisis químico

20161002_110750.jpg
20161002_110755.jpg
20161002_110809.jpg
20161002_110827.jpg
20161002_110835.jpg
20161002_110924.jpg
Anónimo

@Anónimo

ejercicios

-

Ejercicios Varios (3)

Son de un libro de análisis químico

20161002_110929.jpg
20161002_110953.jpg
20161002_111003.jpg
20161002_111054.jpg
20161002_111105.jpg
Anónimo

@Anónimo

ejercicios

-

Ejercicios Varios (1)

Son de un libro de análisis químico

20161002_110111.jpg
20161002_110121.jpg
20161002_110124.jpg
20161002_110134_001.jpg
20161002_110638.jpg
20161002_110643.jpg