Análisis químicos

chevron_left
chevron_right
Todo
Apuntes
Ejercicios
Exámenes
Prácticas
publication
chevron_left
chevron_right

ejercicios

-

Análisis Químicos

He publicado nuevos ejercicios de Análisis químicos: Análisis Químicos

Ejercicios-I.-UT2-Preparacion-de-disoluciones.pdf
Ejercicios-II.-UT2-Preparacion-de-disoluciones.pdf
Ejercicios-III.-UT2-Preparacion-de-disoluciones.pdf
Ejercicios-IV.-UT2-Preparacion-de-disoluciones.pdf
Ejercicios-I.-UT3-Estequiometria.-Ajuste-de-reacciones.pdf.pdf
Ejercicios-II.-UT3-Estequiometria.-Escribir-y-completar-reacciones.pdf.pdf

apuntes

-

Análisis Químicos

He publicado nuevos apuntes de Análisis químicos: Análisis Químicos

UT1.-Materiales-y-reactivos-de-laboratorio.pdf
UT2.-Preparacion-de-disoluciones.pdf
UT3.-Estequiometria-de-la-reacciones-quimicas.pdf
UT4.-Analisis-organico-cualitativo-y-cuantitativo.-Separacion-de-cationes-y-aniones.pdf
UT5.-Equilibrio-quimico.-Cinetica-de-reaccion.pdf
ETIQUETADO-Y-ALMACENAMIENTO.pdf

practicas

-

Análisis Químicos

He publicado nuevos practicas de Análisis químicos: Análisis Químicos

Analisis-de-cationes.-Ensayos-a-la-llama.pdf
Ensayo-con-perla-de-borax.pdf
Analisis-de-aniones-y-cationes-en-una-muestra-de-fertilizante.pdf
Cinetica-Quimica.-Influencia-de-la-concentracion.pdf
Estudio-de-distintos-tipos-de-reacciones-quimicas.pdf
Cinetica-Quimica.-Influencia-de-la-temperatura.pdf

Todos los apuntes de inorgánica, con breve explicación.

5 páginas

apuntes

-

Análisis Químico

He publicado nuevos apuntes de Análisis químicos: Análisis Químico

UD1-AQ-CLASIFICACION-DE-MATERIALES-Y-REACTIVOS-PARA-ANALISIS-QUIMICO.pdf
UD2-AQ-Preparacion-de-disoluciones.pdf
UD3-AQ-Conceptos-basicos-de-quimica.pdf
UD4-AQ-Aplicacion-de-tecnica-de-analisis-cualitativo-y-cuantitativo.pdf
UD5-AQ-Aplicacion-de-tecnicas-de-analisis-cuantitativo-I.pdf
UD6-AQ-Aplicacion-de-tecnicas-de-analisis-cuantitativo-II.pdf

examenes

-

Módulo optativo I

He publicado nuevos examenes de Análisis químicos: Módulo optativo I

examen-optativa-preparacion-de-disoluciones.pdf
examen-formulacion-inorganica.pdf

ejercicios

-

Módulo optativo I

He publicado nuevos ejercicios de Análisis químicos: Módulo optativo I

Ejercicios-disoluciones.pdf
factor-de-disolucion-ejercicios.pdf
preparacion-de-disoluciones-ejercicios.pdf
disoluciones-seriadas.pdf

He publicado nuevos apuntes de Análisis químicos: equilibrioprecipitacion.pdf

16 páginas

He publicado nuevos apuntes de Análisis químicos: Tema-8-precipitaciAn-completo.pdf

17 páginas

He publicado nuevos apuntes de Análisis químicos: problemas-resueltos-Tema7.pdf

4 páginas

He publicado nuevos apuntes de Análisis químicos: GravimetrAa-220322204314.pdf

11 páginas

He publicado nuevos apuntes de Análisis químicos: FormulaciAn-quAmica-orgAnica.pdf

37 páginas

He publicado nuevos apuntes de Análisis químicos: Quimica2bachexerciciosorganica.pdf

10 páginas

He publicado nuevos apuntes de Análisis químicos: hoja-4-ejercicios-haluros-de-acilo-sales-organicas-aminas-amidas-nitrilos-nitroderivados.pdf

1 página

He publicado nuevos apuntes de Análisis químicos: hoja-4-haluros-de-acilo-sales-organicas-aminas-amidas-nitrilos-nitroderivdos-solucion.pdf

1 página

He publicado nuevos apuntes de Análisis químicos: hoja-5-ejercicios-compuestos-polifuncionales.pdf

1 página

He publicado nuevos apuntes de Análisis químicos: hoja-5-ejercicios-compuestos-polifuncionales-solucion.pdf

1 página

He publicado nuevos apuntes de Análisis químicos: Tabla-periodica.pdf

1 página

Apuntes del tema 1 de análisis químico con imágenes sobre los materiales.

7 páginas

He publicado nuevos apuntes de Análisis químicos: vocabulario-material-laboratorio-castellano-ingles-y-catalan.pdf

6 páginas

Apuntes sobre formulación inorgánica

19 páginas

He publicado nuevos apuntes de Análisis químicos: Calcul-de-pH.pdf

14 páginas

He publicado nuevos apuntes de Análisis químicos: Redox.pdf

5 páginas

He publicado nuevos apuntes de Análisis químicos: PRECIPITACION.pdf

14 páginas

He publicado nuevos ejercicios de Análisis químicos: Ejercicios-volumetrias-de-complejacion.pdf

4 páginas

He publicado nuevos apuntes de Análisis químicos: Tema-10.-Volumetrias-de-precipitacion.pdf

8 páginas

He publicado nuevos ejercicios de Análisis químicos: EJERCICIOS-VOLUMETRIAS-DE-PRECIPITACION.pdf

1 página

He publicado nuevos ejercicios de Análisis químicos: EJERCICIOS-VOLUMETRIAS-OXIDO-REDUCCION.pdf

5 páginas

He publicado nuevos ejercicios de Análisis químicos: EJERCICIOS-VOLUMETRIAS-DE-COMPLEJACION.pdf

2 páginas

He publicado nuevos apuntes de Análisis químicos: Tema-9.-Volumetrias-de-complejacion.pdf

6 páginas

He publicado nuevos apuntes de Análisis químicos: Tema-8.-Volumetrias-oxido-reduccion.pdf

16 páginas

He publicado nuevos practicas de Análisis químicos: Practica-10-DETERMINACION-DE-LA-DUREZA-DEL-AGUA.pdf

3 páginas

He publicado nuevos practicas de Análisis químicos: Practica-9-DETERMINACION-YODOMETRICA-DE-CU.pdf

3 páginas

He publicado nuevos practicas de Análisis químicos: Practica-8.-Estandarizacion-de-permanganato-y-analisis-de-agua-oxigenada.pdf

16 páginas

He publicado nuevos practicas de Análisis químicos: Practica-8-2-DETERMINACION-DE-H2O2-EN-UN-AGUA-OXIGENADA-COMERCIAL.pdf

1 página

He publicado nuevos practicas de Análisis químicos: Practica-8-1-PREPARACION-Y-ESTANDARIZACION-DE-UNA-DISOLUCION-DE-KMNO4.pdf

1 página

He publicado nuevos ejercicios de Análisis químicos: Ejercicios-volumetrias-de-neutralizacion.pdf

10 páginas

He publicado nuevos ejercicios de Análisis químicos: EJERCICIOSUT7VOLUMETRIAS-DE-NEUTRALIZACION.pdf

3 páginas

He publicado nuevos apuntes de Análisis químicos: Tema-7.-Volumetrias-de-neutralizacion.pdf

12 páginas

He publicado nuevos apuntes de Análisis químicos: Tema-6.-Introduccion-a-las-volumetrias.pdf

5 páginas

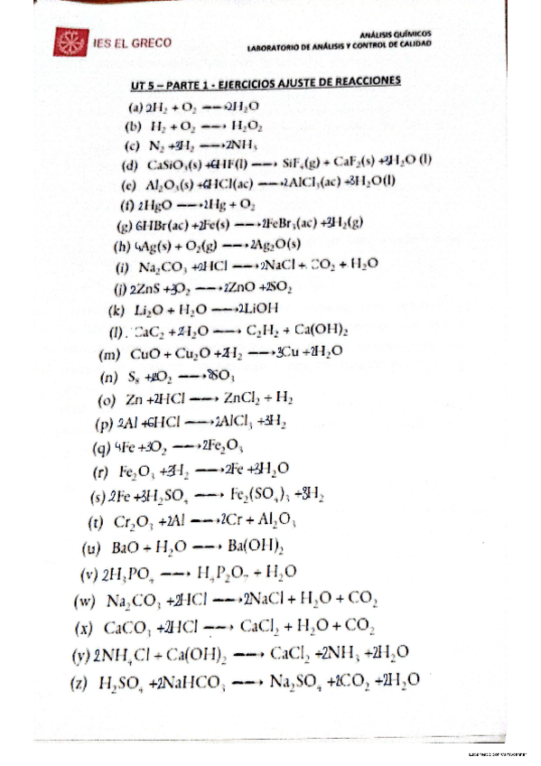
He publicado nuevos ejercicios de Análisis químicos: Ejercicios-ajuste-de-reacciones.pdf

1 página

He publicado nuevos ejercicios de Análisis químicos: Ejercicios-de-equilibrio-quimico.pdf

4 páginas

He publicado nuevos ejercicios de Análisis químicos: Ejercicios-cinetica-quimica.pdf

5 páginas

He publicado nuevos ejercicios de Análisis químicos: Ejercicios-reactivos-limitantes-y-rendimiento-de-la-reaccion.pdf

6 páginas

He publicado nuevos ejercicios de Análisis químicos: Ejercicios-concentraciones.pdf

11 páginas

He publicado nuevos ejercicios de Análisis químicos: EJERCICIOS-AJUSTES-DE-REACCIONES.pdf

2 páginas

He publicado nuevos ejercicios de Análisis químicos: CINETICA-QUIMICA.pdf

4 páginas

He publicado nuevos ejercicios de Análisis químicos: EQUILIBRIO-QUIMICO.pdf

2 páginas

He publicado nuevos ejercicios de Análisis químicos: EJERCICIOS-REACTIVOS-LIMITANTES-Y-RENDIMIENTO-DE-LA-REACCION.pdf

2 páginas

He publicado nuevos apuntes de Análisis químicos: Tema-5.-Introduccion-a-la-quimica-analitica.pdf

13 páginas

He publicado nuevos practicas de Análisis químicos: Practica-6.-Determinacion-del-grado-de-acidez-de-un-aceite.pdf

16 páginas

He publicado nuevos practicas de Análisis químicos: Practica-6Determinacion-del-grado-de-acidez-de-un-aceite.pdf

1 página

He publicado nuevos practicas de Análisis químicos: Practica-5Determinacion-de-la-acidez-de-un-vinagre.pdf

1 página

He publicado nuevos practicas de Análisis químicos: Practica-5.-Determinacion-de-la-acidez-de-un-vinagre.pdf

18 páginas

He publicado nuevos practicas de Análisis químicos: Practica-4GuionPreparacion-y-normalizacion-de-NaOH.pdf

2 páginas

He publicado nuevos practicas de Análisis químicos: Practica-4.-Preparacion-y-normalizacion-de-NaOH-01N.pdf

17 páginas

He publicado nuevos apuntes de Análisis químicos: Tema-4.-Preparacion-de-disoluciones.pdf

7 páginas

He publicado nuevos apuntes de Análisis químicos: TEMA-3.-ANALISIS-QUIMICOS.pdf

3 páginas

He publicado nuevos apuntes de Análisis químicos: Tema-2.-Tratamiento-e-interpretacion-de-datos-en-analisis-quimicos.pdf

10 páginas

He publicado nuevos ejercicios de Análisis químicos: Ejercicios-estadistica.pdf

8 páginas