ANÁLISIS REAL DE VARIAS VARIABLES II

chevron_left
chevron_right
Todo
Apuntes
Ejercicios
Exámenes
chevron_left
chevron_right

ejercicios

-

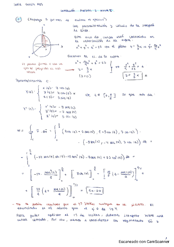
Ejercicios T1: La integral de línea

He publicado nuevos ejercicios de 2º ANÁLISIS REAL DE VARIAS VARIABLES II: Ejercicios T1: La integral de línea

Enunciados.pdf
Solucionario.pdf

examenes

-

Exámenes resueltos

He publicado nuevos examenes de 2º ANÁLISIS REAL DE VARIAS VARIABLES II: Exámenes resueltos

Final-2024-Junio.pdf
Final-2024-Julio.pdf

apuntes

-

Apuntes temario

He publicado nuevos apuntes de 2º ANÁLISIS REAL DE VARIAS VARIABLES II: Apuntes temario

Tema-1-Integrales-de-linea.pdf
Tema-2-Integracion-multiple.pdf
Tema-3-Integrales-de-superficie.pdf

ejercicios

-

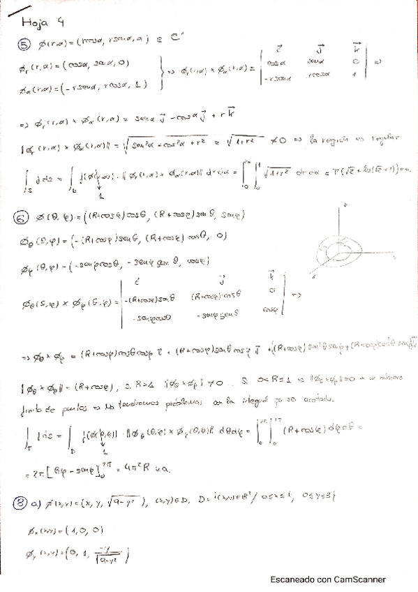
Tema 3: Integrales de superficie

He publicado nuevos ejercicios de 2º ANÁLISIS REAL DE VARIAS VARIABLES II: Tema 3: Integrales de superficie

Enunciados.pdf
Solucionario.pdf

ejercicios

-

Ejercicios T2 Parte 3: Integrales triples

He publicado nuevos ejercicios de 2º ANÁLISIS REAL DE VARIAS VARIABLES II: Ejercicios T2 Parte 3: Integrales triples

Enunciados.pdf
Solucionario.pdf

ejercicios

-

Tema 2 Parte II: Integrales dobles, Tª Green

He publicado nuevos ejercicios de 2º ANÁLISIS REAL DE VARIAS VARIABLES II: Tema 2 Parte II: Integrales dobles, Tª Green

Enunciados.pdf
Solucionario.pdf

ejercicios

-

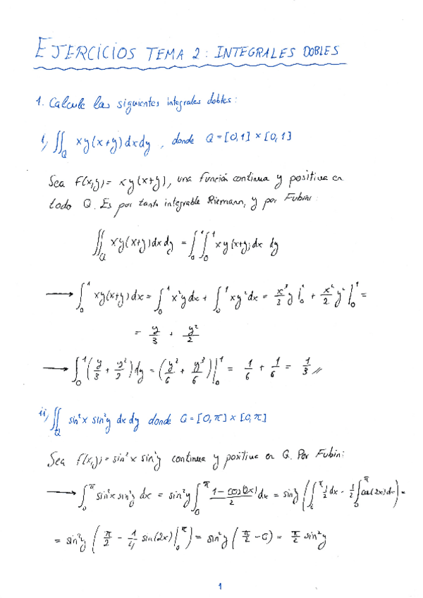
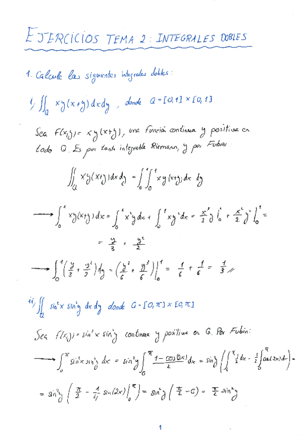
Tema 2 Parte I: Integrales dobles, Tª Fubini

He publicado nuevos ejercicios de 2º ANÁLISIS REAL DE VARIAS VARIABLES II: Tema 2 Parte I: Integrales dobles, Tª Fubini

Enunciados.pdf
Solucionario.pdf

ejercicios

-

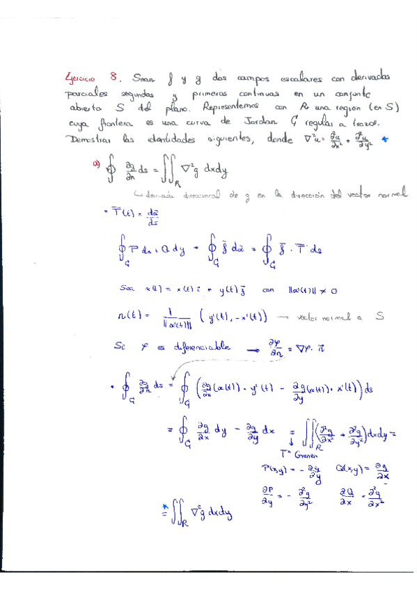
Demostraciones y ejemplos T2

He publicado nuevos ejercicios de 2º ANÁLISIS REAL DE VARIAS VARIABLES II: Demostraciones y ejemplos T2

Enunciados.pdf
Solucionario.pdf

ejercicios

-

Demostraciones y ejemplos Tema 1

He publicado nuevos ejercicios de 2º ANÁLISIS REAL DE VARIAS VARIABLES II: Demostraciones y ejemplos Tema 1

Enunciados.pdf
Solucionario.pdf

He publicado nuevos examenes de 2º ANÁLISIS REAL DE VARIAS VARIABLES II: Parcial2AVVRII24.pdf

7 páginas

He publicado nuevos examenes de 2º ANÁLISIS REAL DE VARIAS VARIABLES II: Parcial1ARVVII2324.pdf

3 páginas

ejercicios

-

Ejercicios Resueltos

He publicado nuevos ejercicios de 2º ANÁLISIS REAL DE VARIAS VARIABLES II: Ejercicios Resueltos

Teorema-Stokes-EHU.pdf
Green-Riemann-EHU.pdf
Gauss-Ostrogradsky-EHU.pdf
intmultiple-UPV.pdf
Tds.pdf
Resueltos-random-UPV.pdf

He publicado nuevos examenes de 2º ANÁLISIS REAL DE VARIAS VARIABLES II: Examen-Resuelto-Ordinaria23.pdf

2 páginas

apuntes

-

Apuntes Latex

Apuntes de Varias Variables II

Apuntes-Latex-Varias-II-2022-23-Eric-Dubon.pdf

He publicado nuevos examenes de 2º ANÁLISIS REAL DE VARIAS VARIABLES II: recuperacionvarias2223.pdf

1 página

He publicado nuevos examenes de 2º ANÁLISIS REAL DE VARIAS VARIABLES II: Segundo-parcial-22-23.pdf

1 página

apuntes

-

Clases Ángel

He publicado nuevos apuntes de 2º ANÁLISIS REAL DE VARIAS VARIABLES II: Clases Ángel

clase-1-AVVR-II.pdf
Clase-1-AVVRII.pdf
clase-2-AVVRII.pdf
Clase-3-AVVRII.pdf
Clase-4-AVVRII.pdf
Clase-5-AVVRII.pdf

examenes

-

Exámenes

He publicado nuevos examenes de 2º ANÁLISIS REAL DE VARIAS VARIABLES II: Exámenes

ExamenJunio.pdf
Control107042020.pdf
Control207052020.pdf

He publicado nuevos apuntes de 2º ANÁLISIS REAL DE VARIAS VARIABLES II: ARVVIIapuntes.pdf

36 páginas
Anónimo

@Anónimo

He publicado nuevos apuntes de 2º ANÁLISIS REAL DE VARIAS VARIABLES II: ApuntesVariasTemas1-3.pdf

28 páginas

He publicado nuevos apuntes de 2º ANÁLISIS REAL DE VARIAS VARIABLES II: ResumenGeneral-Varias2.pdf

12 páginas

Examen resuelto de la asignatura Análisis real de varias variables II

16 páginas
Anónimo

@Anónimo

apuntes

-

Ejercicios

He publicado nuevos apuntes de 2º ANÁLISIS REAL DE VARIAS VARIABLES II: Ejercicios

C2-Ejercicios-tema-2-parte-2.pdf
C2-Ejercicios-tema-1.pdf
C2-Ejercicios-tema-2-parte-1.pdf
Anónimo

@Anónimo

apuntes

-

Exámenes

He publicado nuevos apuntes de 2º ANÁLISIS REAL DE VARIAS VARIABLES II: Exámenes

C2-Examen-1.pdf
C2-Examen-2.pdf
Anónimo

@Anónimo

apuntes

-

Resumenes

He publicado nuevos apuntes de 2º ANÁLISIS REAL DE VARIAS VARIABLES II: Resumenes

C2-Resumen-tema-1.pdf
C2-Resumen-tema-2.pdf
C2-Resumen-tema-3.pdf
Anónimo

@Anónimo

apuntes

-

Temario

He publicado nuevos apuntes de 2º ANÁLISIS REAL DE VARIAS VARIABLES II: Temario

C2-Resto-de-temas-parte-5.pdf
C2-Resto-de-temas-parte-2.pdf
C2-Resto-de-temas-parte-10.pdf
C2-Resto-de-temas-parte-3.pdf
C2-Resto-de-temas-parte-7.pdf
C2-Resto-de-temas-parte-1.pdf
Anónimo

@Anónimo

apuntes

-

Ejercicios y exámenes

He publicado nuevos apuntes de 2º ANÁLISIS REAL DE VARIAS VARIABLES II: Ejercicios y exámenes

Ejercicios-hechos-hoja-3.pdf
Ejercicios-hechos-hoja-4.pdf
Ejercicios-hechos-examen-junio-2020.pdf
Ejercicios-hechos-primer-parcial-2020.pdf
Examen-convocatoria-ordinaria.pdf
Correccion-primer-parcial-2021.pdf
Anónimo

@Anónimo

apuntes

-

Teoría

He publicado nuevos apuntes de 2º ANÁLISIS REAL DE VARIAS VARIABLES II: Teoría

Tema-2-resumido.pdf
Tema-2-Integracion-en-R2-Parte-2.pdf
Tema-3-Integrales-triples-Parte-2.pdf
Tema-4-resumido.pdf
Tema-3-resumido.pdf
Tema-1-resumido.pdf
¡Estás al día!

¡Estás al día!

Has visto todos los archivos