Todo
Apuntes
Exámenes
Prácticas
chevron_left
chevron_right

examenes

-

EXAMENES RESUELTOS

He publicado nuevos examenes de 1º Análisis Vectorial y Estadístico: EXAMENES RESUELTOS

JUNIO-2014-RESUELTO.pdf
JUNIO-2015-RESUELTO.pdf
JUNIO-2016-RESUELTO.pdf
JUNIO-2017-RESUELTO.pdf
JUNIO-2018-RESUELTO.pdf
SEPTIEMBRE-2015-RESUELTO.pdf

practicas

-

Prácticas WxMáxima Resueltas

He publicado nuevos practicas de 1º Análisis Vectorial y Estadístico: Prácticas WxMáxima Resueltas

Practica-4-Variables-Aleatorias-e-Intervalos-de-Confianza.zip
Practica-2-Regresion.wxm
Practica-1-Curvas-y-Superficies.wxm
Practica-2-Estadistica-Descriptiva.wxm
Practica-3-Combinatoria-y-Probabilidad.wxm

He publicado nuevos examenes de 1º Análisis Vectorial y Estadístico: Examenes-Resueltos.pdf

41 páginas

He publicado nuevos apuntes de 1º Análisis Vectorial y Estadístico: Tema-3.pdf

56 páginas

apuntes

-

Asignatura Completa

He publicado nuevos apuntes de 1º Análisis Vectorial y Estadístico: Asignatura Completa

Tema1IntroduccionProbabilidad.pdf
Tema1CuestionesTeoricas.pdf
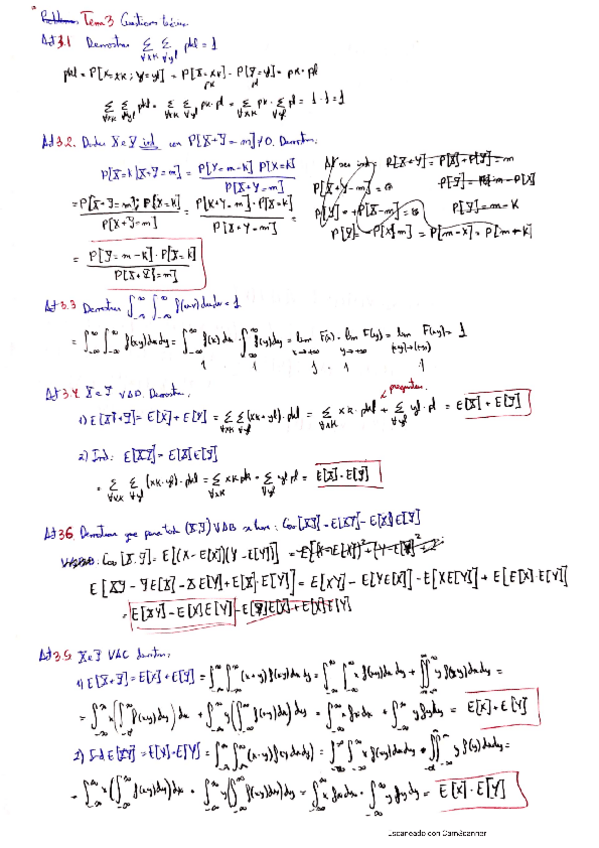
Tema3CuestionesTeoricas.pdf
Esquemas.pdf
ExamenesProblemasResueltos.pdf
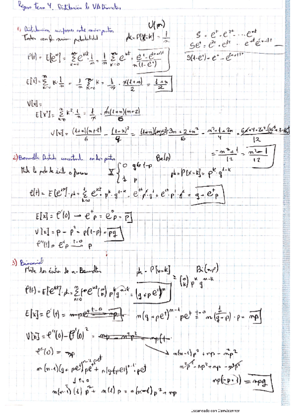
Tema2VariableAleatoriaUnidimensional.pdf

He publicado nuevos apuntes de 1º Análisis Vectorial y Estadístico: Libro-Estadistica-y-Analisis-Vectorial.pdf

26 páginas

examenes

-

EXÁMENES RESUELTOS

He publicado nuevos examenes de 1º Análisis Vectorial y Estadístico: EXÁMENES RESUELTOS

2013-JUNIO-RESUELTO.pdf
2013-EXTR.pdf
2012-ENERO-RESUELTO.pdf
2012-JUNIO.pdf
2014-JUNIO-RESUELTO.pdf
2011-SEPT-RESUELTO.pdf
¡Estás al día!

¡Estás al día!

Has visto todos los archivos