Análisis y control de gestión

chevron_left
chevron_right
Todo
Apuntes
Prácticas
chevron_left
chevron_right

apuntes

-

Supuestos resueltos

He publicado nuevos apuntes de 2º Análisis y control de gestión: Supuestos resueltos

01.1-Practica-Fundamentos-de-CG.pdf
02.1-Practica-Relacion-Microeconomia-y-Contabilidad-de-gestion.pdf
03.1-Matodos-y-costes.pdf
03.1.1-Ejemplo-practico.pdf
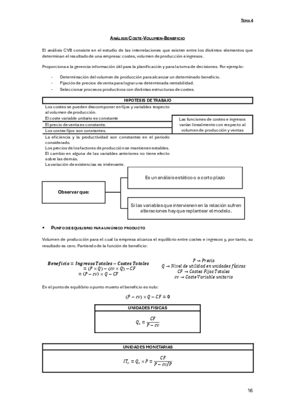
04.1-Analisis-Coste-Volumen-Beneficio.pdf
05.1-Cuentas-Anuales.pdf

apuntes

-

Análisis y control de gestión

He publicado nuevos apuntes de 2º Análisis y control de gestión: Análisis y control de gestión

01-Fundamentos-de-la-contabilidad-de-gestion.pdf
02-Relacion-entre-la-Microeconomia-y-la-Contabilidad-de-Gestion.pdf
03-Sistemas-de-calculo-de-costes.pdf
04-Analisis-Coste-Volumen-Beneficio.pdf
05-Cuentas-Anuales.pdf
06-Analisis-Financiero.-Solvencia-y-Liquidez.pdf

practicas

-

Prácticas análisis

He publicado nuevos practicas de 2º Análisis y control de gestión: Prácticas análisis

Caso-practico-individual-CMI.pdf
Ibanez-San-Jose-Cristina-Ajustes-plan-de-estudios-CMI.pdf
Ibanez-San-Jose-Cristina-Reflexion-analisis-balances.pdf
Ibanez-San-Jose-Cristina-Reflexion-presupuestos.pdf
Ibanez-San-Jose-Cristina.-Reflexion-CMI.pdf
Anónimo

@Anónimo

He publicado nuevos practicas de 2º Análisis y control de gestión: PRACTICA-TEMA-2.pdf

4 páginas
Anónimo

@Anónimo

He publicado nuevos practicas de 2º Análisis y control de gestión: PRACTICA-TEMA-1.pdf

7 páginas
Anónimo

@Anónimo

He publicado nuevos practicas de 2º Análisis y control de gestión: PRACTICA-TEMA-6.pdf

8 páginas
Anónimo

@Anónimo

He publicado nuevos practicas de 2º Análisis y control de gestión: PRACTICA-TEMA-5.pdf

1 página
Anónimo

@Anónimo

He publicado nuevos practicas de 2º Análisis y control de gestión: PRACTICA-TEMA-4.pdf

4 páginas
Anónimo

@Anónimo

He publicado nuevos practicas de 2º Análisis y control de gestión: PRACTICA-TEMA-3.pdf

6 páginas
Anónimo

@Anónimo

He publicado nuevos practicas de 2º Análisis y control de gestión: PRACTICA-TEMA-7.pdf

8 páginas
Anónimo

@Anónimo

He publicado nuevos apuntes de 2º Análisis y control de gestión: 05.-LECTURA-PLAN-ESTRAT.-E-IMPL.-CMI-C.-REAL.pdf

50 páginas
Anónimo

@Anónimo

He publicado nuevos apuntes de 2º Análisis y control de gestión: 07.-VIDEOS-CMI.pdf

1 página
Anónimo

@Anónimo

He publicado nuevos apuntes de 2º Análisis y control de gestión: 06.-LECTURA-TECNICAS-SMART-DAFO-Y-CAME.pdf

9 páginas
Anónimo

@Anónimo

He publicado nuevos apuntes de 2º Análisis y control de gestión: 04.-LECTURA-GENERALIDADES-DE-UN-CMI.pdf

3 páginas
Anónimo

@Anónimo

He publicado nuevos apuntes de 2º Análisis y control de gestión: 01.-LECTURA-ANALISIS-DAFO-Y-CAME.pdf

2 páginas
Anónimo

@Anónimo

He publicado nuevos apuntes de 2º Análisis y control de gestión: 02.-LECTURA-COMO-ELABORAR-UN-CMI-BIC-GALICIA.pdf

87 páginas
Anónimo

@Anónimo

He publicado nuevos apuntes de 2º Análisis y control de gestión: 03.-LECTURA-COMO-REALIZAR-UN-CMI-C.-REAL.pdf

38 páginas
Anónimo

@Anónimo

He publicado nuevos apuntes de 2º Análisis y control de gestión: METODOLOGIA-CMI.pdf

43 páginas
Anónimo

@Anónimo

He publicado nuevos apuntes de 2º Análisis y control de gestión: INDICE-CMI.pdf

2 páginas
Anónimo

@Anónimo

apuntes

-

Prácticas Análisis y Control de Gestion

Ejercicios de todos los temas

CamScanner-02-01-2022-17.pdf
ENUNCIADOS-TEMA-3.pdf
ENUNCIADOS-TEMA-1-.pdf
ENUNCIADOS-TEMA-2-.pdf
ENUNCIADOS-TEMA-5.pdf
ENUNCIADOS-TEMA-6.pdf

practicas

-

CASO PRACTICO INDIVIUAL CMI

He publicado nuevos practicas de 2º Análisis y control de gestión: CASO PRACTICO INDIVIUAL CMI

CASO-PRACTICO-INDIVIUAL-CMI.pdf

practicas

-

Practicas Margarida

He publicado nuevos practicas de 2º Análisis y control de gestión: Practicas Margarida

PLANIFICACION-PERSONAL-ESTUDIOS.docx
ANALISIS-Y-CONTROL-DE-GESTION.docx
REFLEXION-COSTES.docx
¡Estás al día!

¡Estás al día!

Has visto todos los archivos